| Συνδεθείτε στην Υπηρεσία Νομοσκόπιο | | | | | Νέοι χρήστες | | Εάν είστε νέος χρήστης, θα πρέπει να δημιουργήσετε ένα ΔΩΡΕΑΝ λογαριασμό προκειμένου να φύγει το παράθυρο αυτό και να αποκτήσετε πλήρη πρόσβαση στην υπηρεσία Νομοσκόπιο. | | Δημιουργία νέου λογαριασμού | | |
1. Διάκριση κτιρίων - Χρησιμοποιούμενα έντυπα.
Με τις διατάξεις των παραγράφων 1 και 2 του άρθρου 2 της παραπάνω απόφασης, προκειμένου να υπολογιστεί το ελάχιστο κόστος κατασκευής των οικοδομών, τα κτίρια διακρίνονται σε κατηγορίες.
Στις διάφορες κατηγορίες οικοδομών για τον υπολογισμό του Ελάχιστου Κόστους Κατασκευής της Οικοδομής (ΚΚΟ), καθώς και του ελάχιστου κόστους των επιμέρους εργασιών, χρησιμοποιούνται ξεχωριστά έντυπα.
Οι κατηγορίες των κτιρίων και τα έντυπα που χρησιμοποιούνται κατά περίπτωση έχουν ως κάτωθι:
α) Κτίρια με χρήση την κατοικία, πλην μονοκατοικιών. Για τα κτίρια αυτά χρησιμοποιείται το έντυπο Α.
β) Μονοκατοικίες. Χρησιμοποιείται το έντυπο Β.
γ) Κτίρια Γραφείων - Καταστημάτων. Χρησιμοποιείται το έντυπο Γ.
δ) Σταθμοί αυτοκινήτων - Βιομηχανικά και Βιοτεχνικά Κτίρια. Για τα κτίρια αυτά, καθώς και της επόμενης κατηγορίας, χρησιμοποιείται το έντυπο Δ.
ε) Γεωργικά και Κτηνοτροφικά Κτίρια Αποθήκες (έντυπο Δ).
στ) Ξενοδοχεία - Νοσηλευτήρια. Για τα κτίρια Ξενοδοχείων - Νοσηλευτηρίων χρησιμοποιείται το έντυπο Ε.
ζ) Εκπαιδευτήρια. Για τα κτίρια εκπαιδευτηρίων και τα κτίρια που αναφέρονται στην επόμενη κατηγορία κτιρίων (η) χρησιμοποιείται το έντυπο ΣΤ.
η) Μουσεία και λοιπά μη κατονομαζόμενα κτίρια που δεν μπορούν να υπαχθούν στις προηγούμενες κατηγορίες (έντυπο ΣΤ).
Διευκρινίζεται ότι για όσα από τα παραπάνω κτίρια α) αφορούν αυθαίρετες κατασκευές, νομιμοποιούμενες μεταγενέστερα με βάση τυχόν πολεοδομικές διατάξεις νόμων, καθώς και β) ανεγείρονται με βάση άδεια που εκδίδεται νόμιμα από αρμόδια αρχή Τοπικής Αυτοδιοίκησης, δεν εφαρμόζονται οι διατάξεις των άρθρων 35 και 36 του νόμου 2238/1994, δηλαδή δεν απαιτείται η υποβολή των σχετικών πινάκων. Ο χαρακτηρισμός μιας οικοδομής, ώστε αυτή να ενταχθεί σε κάποια από τις παραπάνω κατηγορίες, εξαρτάται από τη χρήση για την οποία προορίζεται η οικοδομή αυτή και η οποία προκύπτει από την αίτηση που υποβάλλεται για την έκδοση της οικοδομικής άδειας.
Όπως αναφέρουμε πιο πάνω για τον υπολογισμό του καθαρού κόστους κατασκευής της οικοδομής (ΚΚΟ) και του ελάχιστου κόστους κατασκευής των επιμέρους εργασιών στις διάφορες κατηγορίες κτιρίων χρησιμοποιούνται αντίστοιχα τα παραπάνω έντυπα.
Τα έντυπα μπορεί να είναι και μηχανογραφημένα, με την προϋπόθεση βέβαια ότι έχουν την αυτή γενική διάταξη των στοιχείων και το αυτό περιεχόμενο.
2. Έννοια Οικοδομών.
Διευκρινίζεται ότι για την εφαρμογή της απόφασης:
α) Ως μονοκατοικίες θεωρούνται οι οικοδομές που περιλαμβάνουν μια μόνο κατοικία και τα τυχόν παραρτήματά της, σε ένα ή περισσότερα επίπεδα, η οποία είναι μοναδική εντός του οικοπέδου ή γηπέδου ή εντός τμήματος του όλου οικοπέδου ή γηπέδου, που καθορίζεται με πράξη κάθετης ιδιοκτησίας.
Στην περίπτωση όμως που εντός του οικοπέδου υπάρχουν περισσότερες από μια κάθετες ιδιοκτησίες, τότε το κτίριο δεν χαρακτηρίζεται μονοκατοικία και συμπληρώνεται το ανάλογο έντυπο Α (για κτίρια κατοικίας πλην μονοκατοικίας). Επίσης στην περίπτωση που εντός του οικοπέδου υπάρχουν περισσότερες από μια οριζόντιες ιδιοκτησίες και το κτίριο αποτελείται από ισόγειο και 2 ορόφους και πάνω ή από πυλωτή και 3 ορόφους και πάνω, τότε το κτίριο χαρακτηρίζεται πολυκατοικία (κατ αναλογία με τις διατάξεις περί ΦΜΑ).
β) Εάν στην οικοδομή που ανεγείρεται περιλαμβάνονται κτίρια με διαφορετική χρήση (κτίρια μικτής χρήσης), όπως κατοικίες, γραφεία, καταστήματα κ.λ.π., το κάθε τμήμα κατατάσσεται χωριστά στην αντίστοιχη κατηγορία ανάλογα με τη χρήση και υποβάλλονται τα αντίστοιχα έντυπα που προβλέπονται γι αυτή.
Επισημαίνεται ότι σε αυτή την περίπτωση, προκειμένου να υπολογιστεί το ελάχιστο κόστος κατασκευής του κάθε κτιρίου χρησιμοποιείται ο ΣΜ. (συντελεστής μεγέθους) που προβλέπεται με βάση το ΜΟ (μέγεθος οικοδομής) ολόκληρου του κτιρίου και μετά την υπαγωγή σε κύριους χώρους, τυχόν, βοηθητικών χώρων.
Παράδειγμα
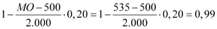
Έστω σύνολο ανεγειρόμενης οικοδομής μικτής χρήσης επιφάνειας 500 m2 με κτίρια κατοικίας επιφάνειας 300 m2 και γραφεία 200 m2, καθώς και βοηθητικούς χώρους επιφάνειας 100 m2, οι οποίοι μετά την αναγωγή τους σε κύριους χώρους υπολογίζονται σε 35 m2 (100 x 0,35 = 35 m2), οπότε και η συνολική επιφάνεια της οικοδομής (ΜΟ) ανέρχεται σε 535 m2. Στο έντυπο Α θα υπολογιστεί το ελάχιστο κόστος κατασκευής των κατοικιών με ΣΜ (συντελεστή μεγέθους), αυτόν που προβλέπεται για τα πάνω από 500 m2 κτίρια. Τούτο καθόσον το συνολικό μέγεθος της οικοδομής ανέρχεται σε 535 m2 (500+35). Ο συντελεστής μεγέθους που προβλέπεται στην περίπτωση αυτή, είναι από 1,00 έως 0,80 (γραμμικά μεταβαλλόμενος).
Δηλαδή ο συντελεστής μεγέθους θα ισούται με:

Με τον ίδιο ακριβώς συντελεστή μεγέθους θα υπολογισθεί στο έντυπο Γ το ελάχιστο κόστος κατασκευής των γραφείων.
3. Προσδιορισμός Ελάχιστου Κόστους Κατασκευής Οικοδομών,
Ακαθάριστων Εσόδων Εργολάβων, Υπεργολάβων κ.λ.π.
Σύμφωνα με την παράγραφο 3 του άρθρου 2 της κοινοποιούμενης κοινής υπουργικής απόφασης, για την εφαρμογή των άρθρων 35 και 36 του νόμου 2238/1994 που αναφέρονται: α) στον προσδιορισμό του ελάχιστου κόστους κατασκευής οικοδομών και β) στον προσδιορισμό των ακαθάριστων εσόδων των εργολάβων, υπεργολάβων και γενικά των επιτηδευματιών, που εκτελούν οποιαδήποτε επιμέρους εργασία σε ανεγειρόμενες οικοδομές, αντίστοιχα, οι διαδικασίες πραγματοποιούνται σε δύο στάδια:
Α. Στάδιο έκδοσης άδειας οικοδομής.
α. Ο προσδιορισμός του ελάχιστου κόστους κατασκευής οικοδομής (ΚΚΟ), σύμφωνα με τις διατάξεις αυτής της απόφασης εφαρμόζεται για νέες οικοδομές, των οποίων η άδεια της Πολεοδομίας εκδίδεται μετά την 31-12-1994. Οι διατάξεις αυτής της απόφασης εφαρμόζονται και για οικοδομές των οποίων η άδεια εκδόθηκε μέχρι 31-12-1994, αλλά αναθεωρείται μετά την 31-12-1994 με σκοπό την επέκταση - προσθήκη του ακινήτου. Δεν εφαρμόζονται για οικοδομές των οποίων η άδεια εκδόθηκε μέχρι 31-12-1994 και αναθεωρείται μόνο για συνέχιση και αποπεράτωση των εργασιών του ακινήτου.
Διευκρινίζεται ότι σε περίπτωση προσθήκης ή επέκτασης οικοδομής, οι διατάξεις της απόφασης εφαρμόζονται μόνο για το τμήμα της οικοδομής που φέρεται ως προσθήκη - επέκταση, είτε στη νέα άδεια που εκδίδεται γι αυτό, είτε στην αναθεώρηση παλαιότερης άδειας, ανεξάρτητα εάν η οικοδομή για την οποία προϋπήρχε άδεια έχει ολοκληρωθεί ή όχι.
Ο προσδιορισμός του ελάχιστου κόστους κατασκευής οικοδομής, για άδειες που εκδίδονται από 01-01-1995 και μετά πραγματοποιείται κατά την έκδοση της άδειας ανέγερσης της νέας οικοδομής, με την υποβολή, κατά περίπτωση, των σχετικών εντύπων που αναφέρουμε πιο πάνω. Έτσι με την υποβολή των δικαιολογητικών στοιχείων για την έκδοση της οικοδομικής άδειας στην Πολεοδομία συνυποβάλλονται, κατά περίπτωση, και τα έντυπα που προβλέπονται για την κάθε κατηγορία κτιρίου (Α - ΣΤ). Ταυτόχρονα με τον προσδιορισμό του ελάχιστου κόστους κατασκευής, κατά το πρώτο αυτό στάδιο, συνυποβάλλεται και ο αρχικός πίνακας ποσοστών συμμετοχής στο συνολικό κόστος των επιμέρους εργασιών, για τον προσδιορισμό των ελάχιστων ακαθάριστων εσόδων των εργολάβων, των υπεργολάβων και γενικά των επιτηδευματιών που εκτελούν οποιαδήποτε επιμέρους εργασία στην ανεγειρόμενη οικοδομή.
Υπόχρεοι για την υποβολή των ανωτέρω εντύπων είναι ο ιδιοκτήτης της οικοδομής ή η επιχείρηση κατασκευής και πώλησης οικοδομών οποιασδήποτε κατηγορίας οικοδομών, οι οποίοι ζητούν την έκδοση της σχετικής άδειας ανέγερσης της οικοδομής.
Τα έντυπα αυτά πρέπει να είναι συμπληρωμένα και υπογεγραμμένα κατά τα τεχνικά στοιχεία που περιλαμβάνουν, τα οποία αντλούνται από τα στοιχεία της μελέτης της οικοδομής από το μελετητή - μηχανικό του έργου και να προσυπογράφονται από τον ιδιοκτήτη της οικοδομής ή από την επιχείρηση κατασκευής και πώλησης οικοδομών, κατά περίπτωση.
Η υποβολή των παραπάνω στοιχείων (εντύπων) στις αρμόδιες πολεοδομικές υπηρεσίες είναι υποχρεωτική για την έκδοση της άδειας ανέγερσης της οικοδομής.
Δεν απαιτείται η υποβολή των παραπάνω εντύπων για έκδοση αδειών που εκδίδονται για κατασκευές ανοικτών χώρων, όπως υπόστεγα, υπαίθριοι χώροι στάθμευσης, περιφράξεις, τοποθετήσεις στέγης κ.λ.π.
β. Για τον καθορισμό του ελάχιστου κόστους κατασκευής συγκεκριμένης οικοδομής, υπολογίζεται το μέγεθος αυτής (ΜΟ) το οποίο αποτελείται από το άθροισμα των επιφανειών των κύριων χώρων, των βοηθητικών και λοιπών χώρων (πυλωτή, κλιμακοστάσιο, υπόγειες αποθήκες κ.λ.π.). Το μέγεθος της οικοδομής (ΜΟ), το οποίο αποτελείται από το σύνολο των επιφανειών αυτής (κύριων και βοηθητικών χώρων) πολλαπλασιάζεται με την τιμή του αντίστοιχου για το είδος αυτής κόστος εκκίνησης και επί τους αντίστοιχους στα χαρακτηριστικά της κάθε οικοδομής συντελεστές αυξομείωσης (ΣΑ). Διευκρινίζουμε ότι για το σωστό υπολογισμό του μεγέθους της Οικοδομής (ΜΟ) θα πρέπει από τις Πολεοδομικές Υπηρεσίες να σημειώνεται στο αντίγραφο της άδειας, το χορηγούμενο στον ιδιοκτήτη κ.λ.π. της οικοδομής για την ηλεκτροδότησή της, την επιφάνεια των κύριων χώρων που περιλαμβάνονται στο συντελεστή δόμησης και την επιφάνεια των βοηθητικών χώρων χωριστά.
γ. Για τον καθορισμό του κόστους των επιμέρους εργασιών συμπληρώνεται από το μελετητή μηχανικό ο αρχικός πίνακας ποσοστών (ΠΙΝΑΚΑΣ No 1, 2, 3, 4, ανάλογα με την κατηγορία του κτιρίου), στον οποίο και γίνεται ανάλυση του κόστους κατασκευής των επιμέρους εργασιών σύμφωνα με την κοινή απόφαση των υπουργών Οικονομικών και Περιβάλλοντος, Χωροταξίας και Δημοσίων Έργων.
Κατά τη συμπλήρωση του Αρχικού Πίνακα, τα αναγραφόμενα στο έντυπο ποσοστά επιμέρους εργασιών μπορούν να τροποποιηθούν κατά την εκτίμηση του μηχανικού για την προσαρμογή τους στις ανάγκες της οικοδομής. Σε κάθε περίπτωση όμως το σύνολο των ποσοστών πρέπει να είναι 1000.
Το κόστος των επιμέρους εργασιών προκύπτει από τον πολλαπλασιασμό των χιλιοστών για κάθε εργασία επί το ελάχιστο κόστος κατασκευής της οικοδομής.
δ. Εάν κατά τη διάρκεια της ανέγερσης της οικοδομής χρειαστεί να αναθεωρηθεί η αρχική άδεια, είτε λόγω αλλαγής χρήσης του ακινήτου, είτε λόγω αλλαγής σε ποσοτικά μεγέθη (m2 κ.λ.π.), υποβάλλεται από το μελετητή μηχανικό του έργου νέο έντυπο με το νέο υπολογισμό του ελάχιστου κόστους της οικοδομής (ΚΚΟ.) και αντίστοιχα νέος αρχικός πίνακας ανάλυσης του κόστους κατασκευής στις επιμέρους εργασίες.
Β. Τελικό στάδιο σύνδεσης με τη Δημόσια Επιχείριση Ηλεκτρισμού.
Κατά την αποπεράτωση της οικοδομής ή και αυτοτελούς οριζόντιας ή κάθετης ιδιοκτησίας που ανήκει σε αυτή ή καλύπτεται από την άδεια της οικοδομής, πριν από τη σύνδεσή της με το δίκτυο της Δημόσιας Επιχείρισης Ηλεκτρισμού, υποβάλλονται στην αρμόδια Δημόσια Οικονομική Υπηρεσία για τη φορολογία του εισοδήματος του ιδιοκτήτη της οικοδομής ή της επιχείρησης κατασκευής και πώλησης οικοδομών, κατά περίπτωση, τα προβλεπόμενα έντυπα, δηλαδή ο τελικός (προσωρινός) πίνακας ανάλυσης κόστους κατασκευής στις επιμέρους εργασίες (έντυπο Δ. 492), ο οποίος χρησιμοποιείται για τα κτίρια όλων των κατηγοριών (από α' έως και η') με συνημμένη τη δήλωση εργασιών που έγιναν στην οικοδομή (έντυπο Δ. 493) και επιπλέον αντίγραφα του εντύπου υπολογισμού του ελάχιστου κόστους κατασκευής της οικοδομής και του αρχικού πίνακα ανάλυσης κόστους κατασκευής που έχει κατατεθεί στην Πολεοδομία, θεωρημένα, από αυτήν.
Τη συμπλήρωση των τεχνικών στοιχείων του Τελικού (προσωρινού) πίνακα ανάλυσης του κόστους κατασκευής στις επιμέρους εργασίες, υποχρεούται να πραγματοποιήσει και να υπογράψει ο επιβλέπων μηχανικός του έργου.
Η Δημόσια Οικονομική Υπηρεσία, αφού προηγουμένως ελέγξει τα υποβαλλόμενα στοιχεία και υπολογίσει τους φόρους και τα πρόστιμα που τυχόν θα προκύψουν, χορηγεί βεβαίωση ότι υποβλήθηκαν τα στοιχεία που προβλέπονται από την απόφαση, προκειμένου να συνδεθεί το ακίνητο με το δίκτυο της Δημόσιας Επιχείρισης Ηλεκτρισμού. (υπόδειγμα βεβαίωσης επισυνάπτεται στο τέλος της παρούσας εγκυκλίου).
Οι επιχειρήσεις ανέγερσης και πώλησης οικοδομών υποχρεούνται, αφού προβούν στην παραπάνω διαδικασία, να παραδίδουν στον κάθε αγοραστή - ιδιοκτήτη διαμερίσματος κ.λ.π. φωτοαντίγραφο της βεβαίωσης που τους χορήγησε η αρμόδια Δημόσια Οικονομική Υπηρεσία, θεωρημένο από αυτήν, στην οποία θα αναφέρεται ρητά ότι υποβλήθηκαν τα αντίστοιχα στοιχεία που προβλέπονται από την απόφαση, για την οικοδομή, συμπεριλαμβανομένου και του πωλούμενου ακινήτου - διαμερίσματος κ.λ.π.
Η υποχρέωση υποβολής των πιο πάνω στοιχείων από τον ιδιοκτήτη της οικοδομής υπάρχει και όταν αποπερατώνεται προσθήκη της οικοδομής, ακόμη και αν δεν τίθεται θέμα ηλεκτροδότησης.
Για την παροχή σε οικοδομή ρεύματος εργοταξίου δεν απαιτείται η παραπάνω διαδικασία υποβολής δήλωσης και Τελικού Πίνακα.
Κατά το στάδιο σύνδεσης του ακινήτου με το δίκτυο της Δημόσιας Επιχείρισης Ηλεκτρισμού διακρίνονται οι ακόλουθες περιπτώσεις:
α. Αποπεράτωση της οικοδομής μέχρι την 31η Δεκεμβρίου του έτους εντός του οποίου συμπληρώνεται τριετία από την έκδοση της άδειας οικοδομής.
Κατά το στάδιο αυτό ο υπολογισμός του ελάχιστου κόστους κατασκευής της οικοδομής και η συμπλήρωση του τελικού πίνακα ποσοστών συμμετοχής των επιμέρους εργασιών διέπονται από κανόνες που αναφέρονται λεπτομερώς στις υποπεριπτώσεις α.1. έως και υποπεριπτώσεις α.4. της περίπτωσης α του σταδίου Β', τελικό στάδιο σύνδεσης με τη Δημόσια Επιχείριση Ηλεκτρισμού της υπόψη απόφασης.
Επισημαίνεται ότι στον τελικό πίνακα που υποβάλλεται στην αρμόδια Δημόσια Οικονομική Υπηρεσία, οι υπόχρεοι ιδιοκτήτες ή επιχειρήσεις κατασκευής των οικοδομών οφείλουν να αναγράψουν τους αριθμούς και τα ποσά των παραστατικών στοιχείων (τιμολογίων, αποδείξεων λιανικής πώλησης κ.λ.π.) που εκδόθηκαν ανά εργασία, καθώς και τα στοιχεία (ονοματεπώνυμο, διεύθυνση και Αριθμό Φορολογικού Μητρώου) των εργολάβων, υπεργολάβων, προμηθευτών και λοιπών επιτηδευματιών που εκτέλεσαν όλο ή μέρος του έργου κατασκευής της οικοδομής.
Επίσης, τονίζεται ότι στον Τελικό Πίνακα (ΤΠ) μπορεί να διαφοροποιηθούν τα χιλιοστά των επιμέρους εργασιών σε σχέση με αυτά που δηλώθηκαν στον αρχικό πίνακα, με την προϋπόθεση ότι το ελάχιστο κόστος κατασκευής της οικοδομής καλύπτεται πλήρως από παραστατικά στοιχεία και ότι τα χιλιοστά των επιμέρους εργασιών του τελικού πίνακα θα πρέπει να είναι 1000, οπότε και ο τελικός πίνακας θα εμφανίζεται ισοσκελισμένος, δηλαδή τα παραστατικά των δαπανών να καλύπτουν το συνολικό ελάχιστο κόστος κατασκευής της οικοδομής.
Εάν ο Τελικός Πίνακας δεν είναι ισοσκελισμένος και τα παραστατικά δεν καλύπτουν το ελάχιστο κόστος κατασκευής της οικοδομής, τα ποσοστά των επιμέρους εργασιών του αρχικού πίνακα είναι υποχρεωτικά, δηλαδή δεν μπορούν να μεταβληθούν.
Διαδικασία ρευματοδότησης αποπερατωμένου αυτοτελούς τμήματος οικοδομής.
Σε περίπτωση που επιδιώκεται να ρευματοδοτηθεί αποπερατωμένο αυτοτελές τμήμα της οικοδομής (οριζόντιας ή κάθετης ιδιοκτησίας), υποβάλλεται επιμέρους Τελικός Πίνακας. Ο υπολογισμός του ελάχιστου κόστους κατασκευής του συγκεκριμένου τμήματος (διαμερίσματος, γραφείου κ.λ.π.) υπολογίζεται ως ποσοστό του συνολικού κόστους, με βάση το επιμέρους τμήμα του μεγέθους της οικοδομής (ΜΟ), στο οποίο συνυπολογίζεται και το αναλογούν μέρος των τυχόν κοινόχρηστων και βοηθητικών χώρων.
Η ιδία αναλογία ισχύει και για το κόστος των επιμέρους εργασιών.
Σε περίπτωση που ο επιμέρους Τελικός Πίνακας εμφανίζεται ισοσκελισμένος από τα παραστατικά στοιχεία, επιτρέπεται η τροποποίηση των ποσοστών του Αρχικού Πίνακα, αλλά για το τμήμα του ελάχιστου κόστους κατασκευής της οικοδομής που αφορά το συγκεκριμένο αυτοτελές τμήμα μέρους της οικοδομής. Διαφορετικά εάν ο επιμέρους τελικός Πίνακας δεν είναι ισοσκελισμένος και τα παραστατικά δεν καλύπτουν το ελάχιστο κόστος κατασκευής (ΚΚΟ.), τα ποσοστά των επιμέρους εργασιών του Αρχικού Πίνακα είναι υποχρεωτικά.
Εάν τα παραστατικά του επιμέρους Τελικού Πίνακα αναφέρονται στο σύνολο κατασκευής της οικοδομής, ο Πίνακας Ποσοστών θεωρείται τελικός για το επιμέρους αποπερατωμένο τμήμα αυτής και για το μέρος του ελάχιστου κόστους κατασκευής της οικοδομής (ΚΚΟ) που αντιστοιχεί σε αυτό (έντυπο Δ.492), ο οποίος πρέπει να φέρει χειρόγραφα την ένδειξη ΕΠΙΜΕΡΟΥΣ. Στον πίνακα αυτόν γράφεται η επιφάνεια αυτού του συγκεκριμένου αυτοτελούς αποπερατωμένου μέρους της οικοδομής και τα παραστατικά στοιχεία (τιμολόγια παροχής υπηρεσιών, αγοράς υλικών κ.λ.π.), τα επιπλέον του συνολικού κόστους κατασκευής του αποπερατωμένου τμήματος, αναλογούν στο υπόλοιπο τμήμα της οικοδομής και αναφέρονται στον ίδιο πίνακα, ο οποίος θεωρείται προσωρινός για το μη αποπερατωμένο τμήμα αυτής.
Σημειώνεται ότι η διαπίστωση ότι τα προσκομιζόμενα παραστατικά αφορούν το συγκεκριμένο αυτοτελές τμήμα της οικοδομής, για το οποίο επιδιώκεται η ηλεκτροδότηση, είναι θέμα πραγματικό και εναπόκειται στην εξελεγκτική εξουσία του προϊσταμένου της αρμόδιας Δημόσιας Οικονομικής Υπηρεσίας.
Τονίζεται ότι ο ιδιοκτήτης της οικοδομής ή η επιχείρηση ανέγερσης και πώλησης οικοδομών, υποχρεούνται να προσκομίζουν προς επίδειξη κατά την υποβολή των παραπάνω εντύπων (τελικός - προσωρινός πίνακας και δήλωση εργασιών) και τα σχετικά φορολογικά στοιχεία (τιμολόγια εργολάβων, υλικών κ.λ.π.), τα οποία και υποχρεούνται να φυλάσσουν σε ειδικούς φακέλους.
Στην αρμόδια Δημόσια Οικονομική Υπηρεσία θα καταθέτονται φωτοαντίγραφα των παραπάνω παραστατικών, σε όσες περιπτώσεις και για όποια παραστατικά στοιχεία, ήθελε κριθεί σκόπιμη η υποβολή τους.
β. Εάν η οικοδομή δεν έχει αποπερατωθεί μέχρι την 31η Δεκεμβρίου του έτους, εντός του οποίου συμπληρώνεται τριετία από την έκδοση της άδειας οικοδομής. Για την περίπτωση αυτή προβλέπονται ειδικές διαδικασίες υποβολής των πινάκων, που πρέπει να τηρηθούν και οι οποίες αναφέρονται λεπτομερώς στην υπόψη απόφαση.
Επισημαίνεται ότι στην παραπάνω περίπτωση, η υποβολή από τον ιδιοκτήτη ή την επιχείρηση κατασκευής και πώλησης οικοδομών, του τελικού προσωρινού πίνακα ανάλυσης κόστους κατασκευής στις επιμέρους εργασίες, με συνημμένη τη δήλωση εργασιών που έγιναν στην οικοδομή, είναι υποχρεωτική και πραγματοποιείται εντός διμήνου από το τέλος του έτους που λήγει η τριετία, ακόμη και αν δεν απαιτείται η σύνδεση του ακινήτου με το δίκτυο της Δημόσιας Επιχείρισης Ηλεκτρισμού.
Ο πρώτος αυτός τελικός - προσωρινός πίνακας περιλαμβάνει τις επιμέρους εργασίες που πραγματοποιήθηκαν μέσα στην τριετία αυτή, το κόστος των οποίων υπολογίζεται με βάση το ελάχιστο κόστος κατασκευής (ΚΚΟ) που ισχύει στην αρχή της τριετίας, δηλαδή είναι το αυτό με το ελάχιστο κόστος κατασκευής του αρχικού που προσδιορίστηκε με την υποβολή των εντύπων για την έκδοση της οικοδομικής άδειας. Σε περίπτωση εκπρόθεσμης υποβολής του πίνακα αυτού, θεωρείται αυτός ως μη υποβληθείς.
Εάν παρέλθει και δεύτερη τριετία και η οικοδομή δεν έχει ακόμη αποπερατωθεί, υποβάλλεται υποχρεωτικά και δεύτερος τελικός - προσωρινός πίνακας εντός διμήνου από το τέλος αυτής της τριετίας, με το κόστος των εργασιών που εκτελέστηκαν στη δεύτερη αυτή τριετία και με βάση το ελάχιστο κόστος κατασκευής (ΚΚΟ) που ισχύει στην αρχή της δεύτερης αυτής τριετίας.
Εξυπακούεται ότι εάν η οικοδομή αποπερατωθεί εντός της δεύτερης ή τρίτης κ.λ.π. τριετίας, ως ελάχιστο κόστος κατασκευής θα ληφθεί υπόψη το κόστος που ισχύει κατά την έναρξη της συγκεκριμένης τριετίας.
Η υποβολή δήλωσης και των παραπάνω πινάκων κατά το χρόνο που ορίζεται ανωτέρω κατοχυρώνει το κόστος των εκτελεσθεισών εργασιών σε σχέση με το χρόνο εκτέλεσής τους.
Μετά την ολοκλήρωση των εργασιών της οικοδομής και κατά τη διαδικασία της ρευματοδότησης, υποβάλλεται ο Τελικός Πίνακας με το κόστος των υπολειπόμενων εργασιών, το οποίο υπολογίζεται με βάση την τιμή εκκίνησης κατά το χρόνο αυτό. Ο πίνακας μπορεί να εμφανισθεί με τροποποιημένα τα αρχικά ποσοστά συμμετοχής των επιμέρους εργασιών, με την προϋπόθεση όμως ότι ο τελικός πίνακας είναι ισοσκελισμένος, σε διαφορετική περίπτωση τα ποσοστά του αρχικού πίνακα είναι υποχρεωτικά.
Σε περίπτωση όμως που οι υπόχρεοι, ιδιώτες ιδιοκτήτες, επιχειρήσεις κατασκευής και πώλησης οικοδομών, δεν υποβάλουν τελικούς προσωρινούς πίνακες όταν δεν έχει αποπερατωθεί η ανέγερση της οικοδομής εντός της πρώτης κ.λ.π. τριετίας, τότε όταν υποβάλουν, προκειμένου να ρευματοδοτηθεί (ηλεκτροδότηση) το ακίνητο μετά την αποπεράτωσή του, τελικό πίνακα, το ελάχιστο κόστος της οικοδομής (ΚΚΟ) που θα γραφτεί στον τελικό αυτό πίνακα (έντυπο Δ.492),θα υπολογιστεί σύμφωνα με το ΚΚΟ που υπολογίζεται με βάση το κόστος εκκίνησης (ΚΕ) που ισχύει κατά το χρόνο αυτό της υποβολής του τελικού πίνακα και όχι το ελάχιστο κόστος οικοδομής (ΚΚΟ) του αρχικού πίνακα αν αυτό είναι διαφορετικό.
Για παράδειγμα, κόστος εκκίνησης (ΚΕ) την 10-10-1995 κατά την έκδοση της οικοδομικής άδειας π.χ. 70000 δραχμές ανά m2 και ελάχιστο κόστος οικοδομής (ΚΚΟ) αρχικού πίνακα π.χ. 14000000 δραχμές και κόστος εκκίνησης (ΚΕ) την 15-06-1999 ημερομηνία υποβολής τελικού πίνακα για τη ρευματοδότηση του ακινήτου π.χ. 90000 δραχμές και ελάχιστο κόστος οικοδομής (ΚΚΟ) τελικού πίνακα π.χ. 18000000 δραχμές. Για το σκοπό του υπολογισμού του νέου αυτού ελάχιστου κόστους οικοδομής που θα γραφτεί στον τελικό πίνακα, θα επισυναφθεί και θα χρησιμοποιηθεί νέο έντυπο υπολογισμού του ελάχιστου κόστους κατασκευής της οικοδομής.
Έτσι, στην περίπτωση αυτή, τα πρόστιμα κ.λ.π. που επιβάλλονται, αν ο τελικός αυτός πίνακας είναι μη ισοσκελισμένος για οποιονδήποτε λόγο, είτε στους ιδιώτες ιδιοκτήτες και τα οποία προβλέπονται από τις διατάξεις της παραγράφου 3 του άρθρου 35 και της παραγράφου 3 του άρθρου 36 του νόμου 2238/1994, είτε στις επιχειρήσεις κατασκευής και πώλησης οικοδομών και τα οποία προβλέπονται από τις διατάξεις της παραγράφου 3 του άρθρου 35, το οφειλόμενο ποσό Φόρου Προστιθέμενης Αξίας, καθώς και τα επιπλέον ακαθάριστα έσοδά τους για τον προσδιορισμό των υπαγομένων στη φορολογία εισοδήματος καθαρών κερδών τους, υπολογίζονται στη διαφορά που προκύπτει κατά τον παραπάνω τρόπο που αναφέρθηκε.
Περαιτέρω όσον αφορά τον προσδιορισμό του κόστους των επιμέρους εργασιών, προκειμένου να εξευρεθούν τα ακαθάριστα έσοδα των εργολάβων, υπεργολάβων κ.λ.π. στην περίπτωση αυτή, δηλαδή όταν δεν έχει υποβληθεί προσωρινός τελικός πίνακας λόγω παρόδου της τριετίας, αλλά υποβάλλεται απευθείας τελικός πίνακας, μετά την αποπεράτωση για τη ρευματοδότηση του ακινήτου, η τυχούσα διαφορά δεν υπολογίζεται με τον τρόπο που αναφέρθηκε αμέσως παραπάνω.
Δηλαδή, το κόστος καθεμιάς από αυτές τις επιμέρους εργασίες δεν υπολογίζεται σύμφωνα με το ελάχιστο κόστος οικοδομής που προκύπτει με βάση το κόστος εκκίνησης που ισχύει κατά το χρόνο υποβολής του τελικού πίνακα, αλλά με βάση το ελάχιστο κόστος οικοδομής που προκύπτει με βάση το κόστος εκκίνησης που ισχύει κατά το χρόνο έκδοσης του πρώτου φορολογικού στοιχείου για τη συγκεκριμένη εργασία και το οποίο ενδεχόμενα να είναι διαφορετικό. Επί της διαφοράς που προκύπτει με τον τρόπο αυτό, υπολογίζεται οφειλόμενος Φόρος Προστιθέμενης Αξίας της παραγράφου 2 του άρθρου 36 του νόμου 2238/1994 και αυτή θεωρείται ως επιπλέον ακαθάριστο έσοδο για τη φορολογία του εισοδήματος των εργολάβων, υπεργολάβων και γενικά των επιτηδευματιών που εκτελούν οποιαδήποτε εργασία σε οικοδομή.
Για παράδειγμα, έκδοση οικοδομικής άδειας τον Ιούλιο του 1995 με ισχύον κόστος εκκίνησης π.χ. 70000 δραχμές ανά m2. Η εργασία τοίχων πληρώσεως γίνεται τον Αύγουστο του έτους 1999, με έκδοση τότε του σχετικού φορολογικού στοιχείου και με ισχύον κόστος εκκίνησης π.χ. 90000 δραχμές ανά m2 και η αποπεράτωση της οικοδομής και η υποβολή του τελικού πίνακα για ρευματοδότηση, γίνεται τον Αύγουστο του έτους 2002 με ισχύον κόστος εκκίνησης, π.χ. 100000 δραχμές.
Στην περίπτωση αυτή, το επιμέρους κόστος της εργασίας αυτής, θα υπολογιστεί με τιμή εκκίνησης τις 90000 δραχμές που ίσχυε κατά το χρόνο έκδοσης του συγκεκριμένου φορολογικού στοιχείου.
Στην ίδια περίπτωση, όταν το υπάρχον φορολογικό στοιχείο της εργασίας πληρώσεως της τοιχοποιίας υπολείπεται του επιμέρους κόστους της εργασίας αυτής, που υπολογίσθηκε με τιμή εκκίνησης τις 90000 δραχμές, επί της προκύπτουσας διαφοράς θα υπολογισθεί το οφειλόμενο από τον εργολάβο ή υπεργολάβο ποσό Φόρου Προστιθέμενης Αξίας που προβλέπεται από την παράγραφο 2 του άρθρου 36 του νόμου 2238/1994, και η προκύπτουσα, κατά τον παραπάνω τρόπο, διαφορά θα θεωρηθεί επιπλέον ακαθάριστο έσοδό του, για τον προσδιορισμό των υπαγομένων στη φορολογία εισοδήματος καθαρών κερδών του.
γ. Ειδικές περιπτώσεις
Κατ' εξαίρεση επιτρέπεται η υποβολή δήλωσης και του Τελικού Πίνακα για μη πλήρως αποπερατωμένη οικοδομή ή για αυτοτελές τμήμα αυτής (οριζόντιας ή κάθετης) ώστε, εφόσον διαπιστώνεται, με οποιονδήποτε τρόπο, η ακρίβεια του πίνακα σχετικά με το στάδιο των εργασιών, να είναι δυνατή η σύνδεσή της με τη Δημόσια Επιχείριση Ηλεκτρισμού. Η διαδικασία υποβολής των ανωτέρω στοιχείων αναφέρεται λεπτομερώς στην περίπτωση γ του Κεφαλαίου Β της παραγράφου 3 του άρθρου 2 της απόφασης.
3. Ποινές σε περίπτωση ανακρίβειας
α. Ποινές της παραγράφου 3 του άρθρου 35 του νόμου 2238/1994
Σύμφωνα με τις διατάξεις της παραγράφου 4 του άρθρου 2 της απόφασης σε περίπτωση που υποβάλλεται τελικός πίνακας ο οποίος περιέχει ανακριβή στοιχεία ως προς τα μεγέθη του έργου, τα στοιχεία των εργολάβων, υπεργολάβων και προμηθευτών, καθώς και ως προς την αξία των εκδοθέντων και δηλωθέντων φορολογικών στοιχείων, εφαρμόζονται σε βάρος του υπόχρεου ιδιοκτήτου ή επιχειρήσεως κατασκευής και πώλησης οικοδομών ή του εκδότη αυτών, κατά περίπτωση οι διατάξεις της παραγράφου 3 του άρθρου 35 του νόμου 2238/1994. Βάσει των διατάξεων αυτών επιβάλλεται πρόστιμο ίσο με το 50% της διαφοράς φόρου προστιθέμενης αξίας που προκύπτει από την ανακρίβεια, στον υπόχρεο ιδιοκτήτη της οικοδομής ή την επιχείρηση κατασκευής και πώλησης της οικοδομής ή τον εκδότη των στοιχείων, κατά περίπτωση.
Ειδικά, όταν ο τελικός πίνακας περιέχει ανακρίβεια που αναφέρεται στα ατομικά στοιχεία των εργολάβων, υπεργολάβων και προμηθευτών (π.χ. λάθος Αριθμό Φορολογικού Μητρώου, διεύθυνσης κ.λ.π.) από την οποία δεν προκύπτει διαφορά φόρου, επιβάλλεται πρόστιμο μέχρι 100000 δραχμές σε βάρος του εκδότη αυτών, εφόσον η ανακρίβεια οφείλεται σε δική του υπαιτιότητα ή σε βάρος του ιδιοκτήτη ή της επιχείρησης κατασκευής και πώλησης οικοδομών, εφόσον η ανακρίβεια οφείλεται σε δική τους υπαιτιότητα.
Για τη διαδικασία επιβολής, βεβαίωσης και είσπραξης του προστίμου αυτού, εφαρμόζονται ανάλογα οι διατάξεις του νόμου 2238/1994, όπως ισχύουν κάθε φορά.
β. Ποινές των παραγράφων 2 και 3 του άρθρου 36 του νόμου 2238/1994
Στην περίπτωση υποβολής μη ισοσκελισμένου πίνακα επιβάλλεται στις υπόχρεες επιχειρήσεις ανέγερσης και πώλησης οικοδομών ως πρόστιμο, φόρος προστιθέμενης αξίας που αναλογεί στη διαφορά του μη ισοσκελισμένου τελικού πίνακα, ο οποίος υπολογίζεται ως φόρος εκροών της φορολογικής περιόδου που υποβάλλεται ο τελικός πίνακας.
Για τον ίδιο λόγο επιβάλλεται πρόστιμο ισόποσο με το Φόρο Προστιθέμενης Αξίας που αναλογεί επί της διαφοράς, στον υπόχρεο ιδιώτη ιδιοκτήτη της οικοδομής.
Σημειώνεται ότι για τις ανωτέρω 2 περιπτώσεις επιβολής προστίμων θα σας παρασχεθούν ιδιαίτερες οδηγίες από την αρμόδια Διεύθυνση του Φόρου Προστιθέμενης Αξίας.
Παράδειγμα
Έστω οικοδομή επιφάνειας 100 m2, το ελάχιστο κόστος αυτής είναι 10000000 δραχμές. Υποβάλλεται τελικός πίνακας με λανθασμένη επιφάνεια έστω 80 m2, στην οποία αντιστοιχεί ελάχιστο κόστος 8000000 δραχμές, υποβάλλονται δε αντίστοιχα παραστατικά αξίας 8000000 δραχμών. Ο πίνακας όμως, ο οποίος περιέχει ανακριβές στοιχείο ως προς το μέγεθος του έργου δεν είναι ισοσκελισμένος.
Ο ΦΠΑ. που οφείλεται υπολογίζεται επί της διαφοράς των 10000000 - 8000000 = 2000000 δραχμές
δηλαδή 2000000 x 18% = 360000 δραχμές
Το δε πρόστιμο της παραγράφου 3 του άρθρου 35 επιβάλλεται επί των 360000 δραχμών δηλαδή 360000 x 50% = 180000 δραχμές
Άρα σύνολο οφειλής 360000 + 180000 = 540000 δραχμές.