| Συνδεθείτε στην Υπηρεσία Νομοσκόπιο | | | | | Νέοι χρήστες | | Εάν είστε νέος χρήστης, θα πρέπει να δημιουργήσετε ένα ΔΩΡΕΑΝ λογαριασμό προκειμένου να φύγει το παράθυρο αυτό και να αποκτήσετε πλήρη πρόσβαση στην υπηρεσία Νομοσκόπιο. | | Δημιουργία νέου λογαριασμού | | |
Ισοδύναμες στατικές εκκεντρότητες
1. Οι ισοδύναμες στατικές εκκεντρότητες των σεισμικών δυνάμεων Fi,x και Fi,y σε ένα κανονικό κατά το ύψος κτίριο υπολογίζονται από τις παρακάτω σχέσεις (στις οποίες για λόγους απλότητας έχει παραλειφθεί ο δείκτης (i) του διαφράγματος) :



Σχήμα ΣΤ.1: Ισοδύναμες στατικές εκκεντρότητες
όπου:



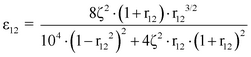
γωνία θ, ε0 = e0 / r, μ = p / r, A1 = 1 - ε0 x tan(θ), A2 = 1 + ε0 x cot(θ), r = ακτίνα αδράνειας, δr,1 = cot(θ) - lr, δr,2 = tan(θ) + lr, lr = Lr / r,


Για τον προσδιορισμό της γωνίας θ υπολογίζεται πρώτα η οξεία γωνία α0 (θετική ή αρνητική) από τη σχέση tan(α0) = 2 ε0/(ε02 +μ2 -1) και στη συνέχεια λαμβάνεται θ = α0/2 για α0 > 0 ή θ = 90° -| α0/2 | για α0 < 0. Η εκκεντρότητα e0 λαμβάνεται πάντοτε με θετικό πρόσημο και οι θετικές τιμές των ef, er μετρώνται από το Ρ0 προς τις κατευθύνσεις
ή
των προβολών του κέντρου μάζας Μi επάνω στους κύριους άξονες x ή y. Επίσης τα Lr,x, Lr,y, (θετικά πάντοτε) μετρώνται από την περίμετρο που ορίζουν τα κατακόρυφα φέροντα στοιχεία.
Ειδικότερα, οι τύποι εφαρμόζονται χωριστά για κάθε κύρια διεύθυνση x ή y του κτιρίου και για κάθε διάφραγμα (i) (βλέπε Σχήμα ΣΤ.1) εισάγεται:
| • | Η στατική εκκεντρότητα eo,i κατά την θεωρούμενη κύρια διεύθυνση x ή y (δηλαδή eo,x,i ή eo,y,i). |
| • | Η ακτίνα αδράνειας ri του διαφράγματος (i). |
| • | H ακτίνα δυστρεψίας ρ του κτιρίου κατά την κύρια διεύθυνση x ή y (δηλαδή ρx ή ρy). |
| • | Οι λόγοι εo,i = eo,i/ri, μi = ρ/ri, lri = Lri/ri, κατά την θεωρούμενη κύρια διεύθυνση x ή y (δηλαδή εox,i = eox,i/ri, μx,i = ρx/ri, lr,x,i = Lr,x,i/ri κ.λ.π.). |
| • | Η παράμετρος n = 1 για Τ ≤ Τ2 και n = 2/3 για Τ > Τ2, όπου Τ η θεμελιώδης ασύζευκτη ιδιοπερίοδος του κτιρίου κατά την θεωρούμενη κύρια διεύθυνση x ή y (δηλαδή Τx ή Τy). |
| • | Το ποσοστό κρίσιμης απόσβεσης ζ (σε %). |
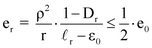
Η εκκεντρότητα er είναι δυνατόν να πάρει και αρνητικές τιμές σε στρεπτικά ευαίσθητα συστήματα. Οι περιορισμοί ef ≥ eo και er ≤ 1/2 eo αποβλέπουν στη μείωση των ανελαστικών μετατοπίσεων της εύκαμπτης πλευράς και των απαιτήσεων πλαστιμότητας της δύσκαμπτης πλευράς του κτιρίου.