14

Κεφάλαιο 14: Οριακή κατάσταση αστοχίας από παραμορφώσεις του φορέα (λυγισμός)


Συνδεθείτε στην Υπηρεσία Νομοσκόπιο
Είσοδος στην υπηρεσία Νομοσκόπιο.
   
Χρήστης
Κωδικός
  Υπενθύμιση στοιχείων λογαριασμού
   
 
Νέοι χρήστες
Εάν είστε νέος χρήστης, θα πρέπει να δημιουργήσετε ένα ΔΩΡΕΑΝ λογαριασμό προκειμένου να φύγει το παράθυρο αυτό και να αποκτήσετε πλήρη πρόσβαση στην υπηρεσία Νομοσκόπιο.
Δημιουργία νέου λογαριασμού

 

 

1. Γενικά

 

Η εξασφάλιση της αντοχής και της ευστάθειας των κατασκευών επιβάλλει την εξέταση της επιρροής των παραμορφώσεων στην εντατική κατάσταση (θεωρία 2ας τάξης). Η φέρουσα ικανότητα ευλύγιστων κατασκευών ή ευλύγιστων μελών υπό θλίψη ενδέχεται να μειώνεται σημαντικά λόγω των φαινομένων 2ας τάξεως.

 

Η επιρροή των φαινομένων 2ας τάξεως θα αγνοείται εάν η σχετική αύξηση των καμπτικών ροπών 1ης τάξεως λόγω των παραμορφώσεων δεν είναι μεγαλύτερη του 10%.

 

Η εφαρμογή του Κεφαλαίου αυτού περιορίζεται σε μέλη από οπλισμένο σκυρόδεμα υπό τη δράση αξονικού θλιπτικού φορτίου, με ή χωρίς κάμψη, όπου οι επιρροές της στρέψης είναι αμελητέες.

 

2. Διαδικασία ελέγχου

 

Ο έλεγχος έναντι φαινομένων 2ας τάξεως πρέπει να εξασφαλίζει ότι, για τους πιο δυσμενείς συνδυασμούς των δράσεων στην οριακή κατάσταση αστοχίας, αφενός δεν θα υπάρξει υπέρβαση της αντοχής μεμονωμένων διατομών υπό τη δράση κάμψεως και αξονικής θλιπτικής δύναμης και αφετέρου δεν θα υπάρξει απώλεια ευστάθειας (τοπική ή στο σύνολο της κατασκευής).

 

Ο έλεγχος θα γίνεται προς κάθε διεύθυνση στην οποία ενδέχεται να υπάρξει αστοχία λόγω των φαινομένων της 2ας τάξεως.

 

Ο ακριβής έλεγχος των φαινομένων 2ας τάξεως απαιτεί ανάλυση της κατασκευής με στατική 2ας τάξεως και εν συνεχεία έλεγχο έναντι μεγεθών ορθής εντάσεως των κρίσιμων διατομών των μελών της κατασκευής. Η ανάλυση αυτή είναι όμως δυσχερής λόγω της γεωμετρικής μη-γραμμικότητας και της μη-γραμμικότητας των καταστατικών νόμων των υλικών (σκυροδέματος και χάλυβα). Γενικώς επιτρέπεται έλεγχος μεμονωμένων υποστυλωμάτων και πλαισίων με προσεγγιστικές μεθόδους, λεπτομέρειες των οποίων δίνονται στις επόμενες παραγράφους του Κεφαλαίου αυτού.

 

Η προσεγγιστική μεθοδολογία ελέγχου μεμονωμένων υποστυλωμάτων έναντι φαινομένων 2ας τάξεως συνοψίζεται στα εξής:

 

Προσδιορισμός εάν το υποστύλωμα είναι ευλύγιστο ή μη (βλέπε παράγραφο 4.6.β)). Μόνο τα ευλύγιστα υποστυλώματα χρειάζεται να ελεγχθούν έναντι των φαινομένων 2ας τάξεως.

 

Επιλογή μεθοδολογίας ελέγχου των ευλύγιστων υποστυλωμάτων.

 

Η προσεγγιστική μεθοδολογία ελέγχου πλαισίων έναντι φαινομένων 2ας τάξεως συνοψίζεται στα εξής:

 

Προσδιορισμός εάν το πλαίσιο είναι αμετάθετο ή μεταθετό (βλέπε παράγραφο 3.1). Ο σχεδιασμός κτιρίων με μεταθετά πλαίσια δέον να αποφεύγεται για λόγους αντισεισμικής συμπεριφοράς.

 

Τα αμετάθετα πλαίσια επιτρέπεται να αναλύονται με στατική 1ης τάξεως, δηλαδή αγνοώντας τα φαινόμενα 2ας τάξεως στην ανάλυση, αλλά εν συνεχεία επιβάλλεται κάθε υποστύλωμα να ελέγχεται μεμονωμένα, με τα εντατικά μεγέθη που προέκυψαν από την ανάλυση, έναντι των φαινομένων 2ας τάξεως.

 

3. Αμετάθετα πλαίσια

 

Αμετάθετα είναι τα πλαίσια των οποίων οι κόμβοι παρουσιάζουν πολύ μικρές μετατοπίσεις υπό τις δράσεις σχεδιασμού.

 

Συγκεκριμένα, αμετάθετα είναι τα πλαίσια στα οποία η σχετική αύξηση των καμπτικών ροπών λόγω των παραμορφώσεων δεν είναι μεγαλύτερη από 10%. Θεωρείται ότι ο έλεγχος αυτός εξασφαλίζεται μέσω των πρακτικών κριτηρίων αμεταθετότητας που δίνονται παρακάτω.

 

Για λόγους αντισεισμικής συμπεριφοράς συνιστάται εν γένει ο σχεδιασμός αμετάθετων πλαισίων.

 

3.1. Ορισμός αμεταθετότητας πλαισίων

 

Τα πλαίσια μπορούν να θεωρηθούν ως αμετάθετα όταν ικανοποιούνται οι προϋποθέσεις των παραγράφων α ή β που ακολουθούν:

 

α) Γενικώς εάν σε κάθε όροφο ικανοποιείται η σχέση

 

 

Ecos069 (14.1)

 

όπου:

Νολ, Vολ είναι αντίστοιχα η συνολική αξονική και τέμνουσα δύναμη των κατακόρυφων στοιχείων του ορόφου,

h είναι το ύψος του ορόφου,

Δ είναι η υπολογιστική σχετική μετακίνηση των πλακών του ορόφου. Η τιμή του Δ θα λαμβάνεται από τη σχέση:

 

Δ = q Δελ

 

όπου:

 

q είναι ο συντελεστής συμπεριφοράς που χρησιμοποιήθηκε στην ανάλυση,

Δελ είναι η σχετική μετακίνηση των πλακών του ορόφου, μετρούμενη στο επίπεδο του δυσμενέστερου περιμετρικού πλαισίου, όπως προκύπτει από ελαστική ανάλυση είτε με την ισοδύναμη στατική μέθοδο είτε με τη δυναμική μέθοδο.

 

Ο περιορισμός του θ πρέπει να ελέγχεται ξεχωριστά σε δυο ορθογώνιες διευθύνσεις Χ και Υ.

 

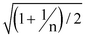
β) Για συνήθη οικοδομικά έργα, εάν τα κατακόρυφα στοιχεία ακαμψίας είναι επαρκώς ομοιόμορφα κατανεμημένα μέσα στο κτίριο και στη βάση του κτιρίου ικανοποιείται η ακόλουθη σχέση:

 

Ecos070 (14.2)

 

Ecos071 (14.3)

 

όπου:

 

n αριθμός ορόφων,

htot ολικό ύψος κατασκευής μετρούμενο από την υποτιθέμενη πάκτωση (δηλαδή άνω στάθμη θεμελίων ή στάθμη οροφής πρακτικά απαραμόρφωτων υπογείων),

Ecm I συνολική ακαμψία των κατακόρυφων στοιχείων (π.χ. τοιχώματα ή υποστυλώματα μη διακοπτόμενα καθ' ύψος) που εξασφαλίζουν το αμετάθετο των κόμβων κατά την υπόψη διεύθυνση (βλέπε παράγραφο 2.5.2 για το Ecm). Τα κατακόρυφα αυτά στοιχεία πρέπει να έχουν σταθερή διατομή σε όλο το ύψος του κτιρίου, διαφορετικά θα υπολογίζεται μία ισοδύναμη ακαμψία.

Fv άθροισμα όλων των κατακόρυφων φορτίων λειτουργίας (Gk + Qk), δηλαδή για γf = 1.

 

3.2. Πρόσθετη κλίση

 

Για κάλυψη διαφόρων επιρροών, πρέπει στον υπολογισμό (κατά την παράγραφο 3.1.α) να λαμβάνεται υπόψη μια πρόσθετη κλίση α όλων των κατακόρυφων στοιχείων (υποστυλώματα, τοιχώματα κ.λ.π.) ως προς την κατακόρυφο με τιμή

 

Ecos072 (14.4)

 

htot ολικό ύψος της κατασκευής (σε m).

 

όταν τα φαινόμενα 2ας τάξης δεν είναι αμελητέα α ≥ 1/200, ενώ όταν είναι αμελητέα α ≥ 1/400.

 

Επιπρόσθετα επιτρέπεται για την περίπτωση κτιρίων με υποστυλώματα, που σε όλους τους ορόφους συντρέχουν σε κόμβους με δοκούς, ώστε να μορφώνεται πλαίσιο στη δεδομένη διεύθυνση, να πολλαπλασιάζεται η παραπάνω τιμή του α επί τον μειωτικό συντελεστή

 

Ecos073

 

όπου:

 

n ο αριθμός των στηλών υποστυλωμάτων.

 

4. Μεμονωμένα θλιβόμενα στοιχεία

 

4.1. Γενικά

 

Μεμονωμένα θλιβόμενα στοιχεία μπορεί να είναι:

 

Μεμονωμένα υποστυλώματα (Σχήμα 14.1)α) και β))

 

Θλιβόμενα στοιχεία τμήματα φέροντα οργανισμού, τα οποία για τους σκοπούς της μελέτης θεωρούνται ως μεμονωμένα υποστυλώματα (Σχήμα 14.1 γ) και δ)) με μήκος λυγισμού l0 κατά την παράγραφο 4.2.

 

ekos2000.19

 

Σχήμα 14.1:Τύποι μεμονωμένων υποστυλωμάτων

 

 

4.2. Μήκος λυγισμού

 

Για συνήθη κτίρια, το ισοδύναμο μήκος ενός υποστυλώματος l0 = β lcol μπορεί να προσδιοριστεί με βάση το Νομογράφημα του Σχήματος 14.2, που δίνεται παρακάτω, όπου οι συντελεστές KA και KB συμβολίζουν τις δυσκαμψίες πακτώσεως στα άκρα του υποστυλώματος:

 

ekos2000.20

 

Σχήμα 14.2: Νομογράφημα για τον υπολογισμό του ισοδύναμου μήκους υποστυλωμάτων σε αμετάθετα πλαίσια

 

 

 

Ecos074 (14.5)

 

όπου:

 

Ecm μέτρο ελαστικότητας του σκυροδέματος (παράγραφος 2.5.2),

Icol, Ib ροπή αδράνειας (της πλήρους διατομής) του υποστυλώματος ή της δοκού αντιστοίχως,

lcol ύψος του υποστυλώματος μεταξύ των κέντρων των δεσμεύσεων στα άκρα,

leff μήκος δοκού, μετρούμενο μεταξύ των κέντρων των πακτώσεων,

α συντελεστής που λαμβάνει υπόψη τις συνθήκες πακτώσεως της δοκού στο απέναντι της άκρο,

 

α = 1.00 για απέναντι άκρο ελαστικά ή πλήρως πακτωμένο,

α = 0.50 για απέναντι άκρο ελεύθερα στρεπτό,

α = 0 για δοκό πρόβολο.

 

Τιμές του KA ή KB μικρότερες του 0.40 δεν συνιστώνται να χρησιμοποιούνται.

 

4.3. Πρόσθετη εκκεντρότητα

 

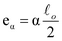
Για την κάλυψη ατελειών και αβεβαιοτήτων που δεν λαμβάνονται υπόψη στον υπολογισμό, πρέπει να λαμβάνεται υπόψη μια πρόσθετη εκκεντρότητα, ea , του σημείου εφαρμογής της συνισταμένης των εξωτερικών αξονικών δυνάμεων, κατά την περισσότερο δυσμενή διεύθυνση, που δίνεται από τη σχέση:

 

Ecos075 (14.6)

 

όπου:

 

α απόκλιση του υποστυλώματος από την κατακόρυφο ίση με

 

Ecos076 (14.7)

 

lo μήκος λυγισμού του μεμονωμένου θλιβόμενου στοιχείου (βλέπε παραγράφους 4.1 και 4.2),

lcol ύψος υποστυλώματος (σε m).

 

όταν τα φαινόμενα 2ας τάξης δεν είναι αμελητέα α ≥ 1/200 ενώ όταν είναι αμελητέα α ≥ 1/400.

 

4.4. Εκκεντρότητες υπολογισμού

 

Η ολική εκκεντρότητα που πρέπει να λαμβάνεται υπόψη κατά τον υπολογισμό υποστυλώματος σταθερής διατομής (σκυροδέματος και οπλισμού) στην πλέον εντεινόμενη διατομή (κρίσιμη διατομή) είναι:

 

etot = e0 + ea + e2                (14.8)

 

όπου:

 

e0 εκκεντρότητα 1ης τάξεως = MSd1 / NSd,

MSd1 δρώσα ροπή σχεδιασμού 1ης τάξεως,

NSd δρώσα αξονική δύναμη σχεδιασμού,

ea πρόσθετη εκκεντρότητα σύμφωνα με την εξίσωση (14.6),

e2 εκκεντρότητα 2ας τάξεως, χρησιμοποιώντας τις προσεγγιστικές μεθόδους της παραγράφου 4.7.1.

 

Στα υποστυλώματα σταθερής διατομής (σκυροδέματος και οπλισμού) που καταπονούνται με ροπές των οποίων το διάγραμμα μεταβάλλεται γραμμικά και οι εκκεντρότητες τους στα άκρα έχουν διαφορετικές τιμές ή / και πρόσημα (βλέπε Σχήμα 14.3), λαμβάνεται ως e0 στην κρίσιμη διατομή η μεγαλύτερη από τις ακόλουθες τιμές:

 

e0 = 0.6 e02 + 0.4 e01                (14.9)

 

e0 = 0.4 e01, για |e02|≥|e01|        (14.10)

 

 

ekos2000.21

 

Σχήμα 14.3: Εκκεντρότητες στα άκρα του υποστυλώματος

 

 

4.5. Επιρροή του ερπυσμού

 

Η επιρροή του ερπυσμού πρέπει εν γένει να λαμβάνεται υπόψη εάν οδηγεί σε σημαντική αύξηση των φαινομένων 2ας τάξεως.

 

Στα αμετάθετα πλαίσια οι ερπυστικές παραμορφώσεις επιτρέπεται να παραλείπονται όταν τα λυγηρά θλιβόμενα στοιχεία συνδέονται μονολιθικά στα άκρα τους με πλάκες, δοκούς ή θεμέλια.

 

4.6. Έλεγχος λυγηρότητας

 

α) Η λυγηρότητα λ ισούται με

 

Ecos077 (14.11)

 

όπου:

 

lo ισοδύναμο μήκος, το οποίο υπολογίζεται με βάση την παράγραφο 4.2,

i ακτίνα αδράνειας του υποστυλώματος κατά την εξεταζόμενη διεύθυνση

 

Ecos078 (14.12)

 

β) Ένα μεμονωμένο υποστύλωμα θεωρείται ευλύγιστο εάν ικανοποιείται η ακόλουθη συνθήκη:

 

Ecos079 (14.13)

 

όπου vd ανηγμένη αξονική δύναμη σχεδιασμού υπό το βασικό συνδυασμό οριακής κατάστασης αστοχίας.

 

Ecos080 (14.14)

 

γ) Υποστυλώματα σε αμετάθετα συστήματα χωρίς εγκάρσια φορτία μεταξύ των ακρών των δεν απαιτείται να υπολογιστούν κατά την θεωρία 2ας τάξεως και όταν ακόμη δεν ικανοποιούν τη συνθήκη (14.13) εφόσον η λυγηρότητάς τους είναι μικρότερη ή ίση με την τιμή κατά την εξίσωση (14.15).

 

Ecos081 (14.15)

 

Τα άκρα του υποστυλώματος πρέπει να διαστασιολογηθούν για τα ακόλουθα εντατικά μεγέθη σχεδιασμού αντοχής:

 

Ecos082 (14.16)

 

Ecos083 (14.17)

 

4.7. Έλεγχος μεμονωμένων θλιβόμενων στοιχείων

 

4.7.1. Γενικά

 

Για τον έλεγχο μεμονωμένων θλιβόμενων στοιχείων εφαρμόζεται η μέθοδος πρότυπου υποστυλώματος όταν λ ≤ 140 και σε ορθογωνικές ή κυκλικές διατομές στις οποίες η εκκεντρότητα 1ης τάξεως ικανοποιεί τη συνθήκη eo ≥ 0.10 h (h = ύψος της διατομής στο επίπεδο υπό έλεγχο).

 

ekos2000.22

 

Σχήμα 14.4: Πρότυπο υποστύλωμα

 

Πρότυπο υποστύλωμα είναι ένα κατακόρυφο στοιχείο που:

 

είναι πακτωμένο στη βάση και ελεύθερο στην κορυφή (Σχήμα 14.4),
κάμπτεται με απλή καμπυλότητα λόγω φορτίων (αξονικών ή συγκεντρωμένων / κατανεμημένων οριζόντιων) ή / και ροπής στην κορυφή,
έχει πρακτικώς σταθερές διαστάσεις διατομής και σταθερούς οπλισμούς καθ' ύψος,
το μέγιστο βέλος e2 (εκκεντρότητα 2ας τάξεως) και η καμπυλότητα, 1/r, στη βάση του υποστυλώματος μπορεί να θεωρηθεί ότι συνδέονται μέσω της προσεγγιστικής σχέσης.

 

Ecos084 (14.18)

 

όπου:

 

lo = 2 l μήκος λυγισμού

1/r καμπυλότητα στην βάση

Κ1 = λ/10-2.5 για 25 ≤ λ ≤ 35

Κ1 = 1 για λ > 35.

 

Σε περιπτώσεις όπου δεν χρειάζεται μεγαλύτερη ακρίβεια, η καμπυλότητα 1/r μπορεί να υπολογιστεί απλοποιητικά από τη σχέση:

 

Ecos085 (14.19)

 

όπου:

 

εyd ανηγμένη παραμόρφωση στο όριο διαρροής του οπλισμού = fyd / Es

d στατικό ύψος της διατομής στο επίπεδο υπό έλεγχο

 

Ecos086 (14.20)

 

όπου:

 

NRd αξονικό φορτίο αντοχής σχεδιασμού σε κεντρική θλίψη = 0.85 fcd Ac + fyd As

NSd δρον αξονικό φορτίο σχεδιασμού

Nbal φορτίο, το οποίο όταν ασκείται στη διατομή μεγιστοποιείται η ροπή αντοχής. Για συμμετρικά οπλισμένες ορθογωνικές διατομές, μπορεί να ληφθεί προσεγγιστικά ίσο με 0.40 fcd Ac.

 

4.7.2. Διαξονική κάμψη

 

Ο έλεγχος υποστυλωμάτων υπό διαξονική κάμψη με αξονική θλιπτική δύναμη έναντι φαινομένων 2ας τάξεως πρέπει εν γένει να γίνει με κατάλληλες ακριβείς μεθόδους.

 

Σε υποστυλώματα ορθογωνικής διατομής, επιτρέπεται χάριν απλοποιήσεως να γίνουν χωριστοί έλεγχοι έναντι φαινομένων 2ας τάξεως στα δύο κύρια επίπεδα y και z (δηλαδή δύο έλεγχοι μονοαξονικής κάμψεως και θλιπτικής δύναμης) υπό την προϋπόθεση ότι οι λόγοι των αντίστοιχων εκκεντρότητων ey / b και ez / h ικανοποιούν μία από τις παρακάτω συνθήκες:

 

 

Ecos087 (14.21)

 

Ecos088 (14.22)

 

Οι εκκεντρότητες ey και ez είναι οι εκκεντρότητες 1ης τάξεως στην κατεύθυνση των διαστάσεων b και h της διατομής αντιστοίχως. Οι γεωμετρικές ατέλειες της παραγράφου 4.3 θα πρέπει να λαμβάνονται υπόψη στα επίπεδα των δύο χωριστών ελέγχων.

 

ekos2000.23

 

Σχήμα 14.5: Παραδοχή για χωριστούς ελέγχους στα δύο κύρια επίπεδα

 

 

ekos2000.23

 

Σχήμα 14.6: Χωριστός έλεγχος περί τον δευτερεύοντα άξονα όταν ez ≤ 0.20 h

 

Εάν ez > 0.20 h, στους παραπάνω χωριστούς ελέγχους πρέπει ο έλεγχος για κάμψη περί τον δευτερεύοντα άξονα της διατομής (z στο παραπάνω σχήμα) να βασίζεται στο μειωμένο πλάτος h' όπως δίνεται στο σχήμα 14.6. Η τιμή του h' μπορεί να προσδιοριστεί με την παραδοχή της γραμμικής κατανομής των τάσεων, δηλαδή από τη σχέση:

 

Ecos089 (14.22)

 

όπου:

 

Wcz ροπή αντιστάσεως της διατομής σκυροδέματος μόνο,

eaz πρόσθετη εκκεντρότητα λόγω γεωμετρικών ατελειών (παράγραφος 4.3) στη διεύθυνση z.

 



Copyright © 2017 TechnoLogismiki. Με την επιφύλαξη παντός δικαιώματος.