Ευρωπαϊκή Οδηγία 2010/75 - Άρθρο p6

Παράρτημα VI: Τεχνικές διατάξεις για τις μονάδες αποτέφρωσης και συναποτέφρωσης αποβλήτων


Συνδεθείτε στην Υπηρεσία Νομοσκόπιο
Είσοδος στην υπηρεσία Νομοσκόπιο.
   
Χρήστης
Κωδικός
  Υπενθύμιση στοιχείων λογαριασμού
   
 
Νέοι χρήστες
Εάν είστε νέος χρήστης, θα πρέπει να δημιουργήσετε ένα ΔΩΡΕΑΝ λογαριασμό προκειμένου να φύγει το παράθυρο αυτό και να αποκτήσετε πλήρη πρόσβαση στην υπηρεσία Νομοσκόπιο.
Δημιουργία νέου λογαριασμού

 

 

ΜΕΡΟΣ 1: Ορισμοί

 

Για τους σκοπούς του παρόντος Παραρτήματος, ισχύουν οι ακόλουθοι ορισμοί:

 

α) υφιστάμενη μονάδα αποτέφρωσης αποβλήτων: μια από τις ακόλουθες μονάδες αποτέφρωσης αποβλήτων:

 

i) η οποία λειτουργούσε και είχε λάβει άδεια σύμφωνα με το ισχύον δίκαιο της Ένωσης πριν από τις 28-12-2002,

 

ii) η οποία είχε λάβει άδεια ή καταχωρισθεί σε μητρώο ως μονάδα αποτέφρωσης αποβλήτων και η άδεια είχε χορηγηθεί πριν τις 28-12-2002 σύμφωνα με το ισχύον δίκαιο της Ένωσης, υπό τον όρο ότι η μονάδα είχε αρχίσει να λειτουργεί το αργότερο την 28-12-2003,

 

iii) για την οποία, κατά την άποψη της αρμόδιας αρχής, είχε υποβληθεί πλήρης αίτηση χορήγησης άδειας, πριν τις 28-12-2002, υπό τον όρο ότι η μονάδα είχε αρχίσει να λειτουργεί το αργότερο στις 28-12-2004,

 

β) νέα μονάδα αποτέφρωσης αποβλήτων: κάθε μονάδα αποτέφρωσης αποβλήτων που δεν καλύπτεται από το στοιχείο α).

 

ΜΕΡΟΣ 2: Συντελεστές ισοδυναμίας για τις διβενζο-π-διοξίνες και τα διβενζοφουράνια

 

Για τον προσδιορισμό της συνολικής συγκέντρωσης διοξινών και φουρανίων, οι κατά μάζα συγκεντρώσεις των ακόλουθων διβενζο-π-διοξινών και διβενζοφουρανίων πολλαπλασιάζονται επί τους ακόλουθους συντελεστές ισοδυναμίας πριν από την άθροισή τους:

 

 

Συντελεστής τοξικής ισοδυναμίας

2,3,7,8 - Τετραχλωροδιβενζοδιοξίνη (TCDD)

1

1,2,3,7,8 - Πενταχλωροδιβενζοδιοξίνη (PeCDD)

0,5

1,2,3,4,7,8 - Εξαχλωροδιβενζοδιοξίνη (HxCDD)

0,1

1,2,3,6,7,8 - Εξαχλωροδιβενζοδιοξίνη (HxCDD)

0,1

1,2,3,7,8,9 - Εξαχλωροδιβενζοδιοξίνη (HxCDD)

0,1

1,2,3,4,6,7,8 - Επταχλωροδιβενζοδιοξίνη (HpCDD)

0,01

Οκταχλωροδιβενζοδιοξίνη (OCDD)

0,001

2,3,7,8 - Τετραχλωροδιβενζοφουράνιο (TCDF)

0,1

2,3,4,7,8 - Πενταχλωροδιβενζοφουράνιο (PeCDF)

0,5

1,2,3,7,8 - Πενταχλωροδιβενζοφουράνιο (PeCDF)

0,05

1,2,3,4,7,8 - Εξαχλωροδιβενζοφουράνιο (HxCDF)

0,1

1,2,3,6,7,8 - Εξαχλωροδιβενζοφουράνιο (HxCDF)

0,1

1,2,3,7,8,9 - Εξαχλωροδιβενζοφουράνιο (HxCDF)

0,1

2,3,4,6,7,8 - Εξαχλωροδιβενζοφουράνιο (HxCDF)

0,1

1,2,3,4,6,7,8 - Επταχλωροδιβενζοφουράνιο (HpCDF)

0,01

1,2,3,4,7,8,9 - Επταχλωροδιβενζοφουράνιο (HpCDF)

0,01

Οκταχλωροδιβενζοφουράνιο (OCDF)

0,001

 

ΜΕΡΟΣ 3: Οριακές τιμές ατμοσφαιρικών εκπομπών για μονάδες αποτέφρωσης αποβλήτων

 

1. Όλες οι οριακές τιμές εκπομπών υπολογίζονται σε θερμοκρασία 273,15 K, πίεση 101,3 kPa, και αφού διορθωθούν για τους περιεχόμενους στα απαέρια υδρατμούς.

 

Ανάγονται σε εκατοστιαία αναλογία οξυγόνου στα απαέρια 11 % εκτός από την περίπτωση της αποτέφρωσης χρησιμοποιημένων ορυκτελαίων, όπως ορίζονται στο άρθρο 3 παράγραφος 3 της οδηγίας 2008/98/ΕΚ, οπότε ανάγονται σε αναλογία οξυγόνου 3 % εκτός από τις περιπτώσεις που αναφέρονται στο σημείο 2.7 του μέρους 6.

 

1.1. Ημερήσιες μέσες οριακές τιμές εκπομπών για τις ακόλουθες ρυπαντικές ουσίες (mg/Nm3)

 

Ολική σκόνη

10

Οργανικές ουσίες υπό μορφή αερίων και ατμών, εκφραζόμενες σε ολικό οργανικό άνθρακα (ΈΩΣC)

10

Υδροχλώριο (HCl)

10

Υδροφθόριο (HF)

1

Διοξείδιο του θείου (SΟ2)

50

Υποξείδιο του αζώτου (NO) και οξείδιο του αζώτου (NO2), εκφραζόμενα σε NO2, για υφιστάμενες μονάδες αποτέφρωσης αποβλήτων ονομαστικής ωριαίας δυναμικότητας άνω των 6 τόνων ή νέες μονάδες αποτέφρωσης αποβλήτων

200

Υποξείδιο του αζώτου (NO) και οξείδιο του αζώτου (NO2), εκφραζόμενα σε NO2, για υφιστάμενες μονάδες αποτέφρωσης αποβλήτων ονομαστικής ωριαίας δυναμικότητας 6 τόνων ή μικρότερης

400

 

1.2. Μέσες οριακές τιμές εκπομπών ημιώρου για τις ακόλουθες ρυπαντικές ουσίες (mg/Nm3)

 

 

(100 %) A

(97 %) B

Ολική σκόνη

30

10

Οργανικές ουσίες υπό μορφή αερίων και ατμών, εκφραζόμενες σε ολικό οργανικό άνθρακα (ΈΩΣC)

20

10

Υδροχλώριο (HCl)

60

10

Υδροφθόριο (HF)

4

2

Διοξείδιο του θείου (SΟ2)

200

50

Υποξείδιο του αζώτου (NO) και οξείδιο του αζώτου (NO2), εκφραζόμενα σε NO2, για υφιστάμενες μονάδες αποτέφρωσης αποβλήτων ονομαστικής ωριαίας δυναμικότητας άνω των 6 τόνων ή νέες μονάδες αποτέφρωσης αποβλήτων

400

200

 

1.3. Μέσες οριακές τιμές εκπομπών (mg/Nm3) για τα ακόλουθα βαρέα μέταλλα περιόδου δειγματοληψίας ελάχιστης διάρκειας 30 λεπτών και μέγιστης διάρκειας 8 ωρών

 

Κάδμιο και οι ενώσεις του, ως κάδμιο (Cd)

Σύνολο: 0,05

Θάλλιο και οι ενώσεις του, ως θάλλιο (Tl)

Υδράργυρος και οι ενώσεις του, ως υδράργυρος (Hg)

0,05

Αντιμόνιο και οι ενώσεις του, ως αντιμόνιο (Sb)

Σύνολο: 0,5 mg

Αρσενικό και οι ενώσεις του, ως αρσενικό (As)

Μόλυβδος και οι ενώσεις του, ως μόλυβδος (Pb)

Χρώμιο και οι ενώσεις του, ως χρώμιο (Cr)

Κοβάλτιο και οι ενώσεις του, ως κοβάλτιο (Co)

Χαλκός και οι ενώσεις του, ως χαλκός (Cu)

Μαγγάνιο και οι ενώσεις του, ως μαγγάνιο (Mn)

Νικέλιο και οι ενώσεις του, ως νικέλιο (Ni)

Βανάδιο και οι ενώσεις του, ως βανάδιο (V)

 

Αυτές οι μέσες τιμές καλύπτουν επίσης, υπό μορφή αερίων και ατμών, τις εκπομπές των σχετικών βαρέων μετάλλων και των ενώσεών τους.

 

1.4. Μέση οριακή τιμή εκπομπών (ng/Nm3) διοξινών και φουρανίων περιόδου δειγματοληψίας ελάχιστης διάρκειας 6 ωρών και μέγιστης διάρκειας 8 ωρών. Η οριακή τιμή εκπομπών αναφέρεται στη συνολική συγκέντρωση διοξινών και φουρανίων, υπολογιζόμενη σύμφωνα με το μέρος 2.

 

Διοξίνες και φουράνια

0,1

 

1.5. Οριακές τιμές εκπομπών (mg/Nm3) μονοξειδίου του άνθρακα (CO) στα απαέρια:

 

α) 50 ως ημερήσια μέση τιμή,

 

β) 100 ως μέση τιμή ημιώρου,

 

γ) 150 ως μέση τιμή, δεκαλέπτου.

 

Η αρμόδια αρχή μπορεί να εγκρίνει εξαιρέσεις από τις οριακές τιμές εκπομπών που καθορίζονται στο παρόν σημείο για μονάδες αποτέφρωσης αποβλήτων στις οποίες χρησιμοποιείται τεχνολογία ρευστοστερεάς κλίνης, με την προϋπόθεση ότι στη σχετική άδεια ορίζεται οριακή τιμή εκπομπών για το μονοξείδιο του άνθρακα (CO) 100 mg/Nm3 κατ' ανώτατο όριο, ως ωριαία μέση τιμή.

 

2. Οριακές τιμές εκπομπών που ισχύουν στις περιπτώσεις που περιγράφονται στο άρθρο 46 παράγραφος 6 και στο άρθρο 47.

 

Η συνολική συγκέντρωση σκόνης στις ατμοσφαιρικές εκπομπές των μονάδων αποτέφρωσης αποβλήτων δεν υπερβαίνει σε καμία περίπτωση τα 150 mg/Nm3, ως μέση τιμή ημιώρου. Για τις ατμοσφαιρικές εκπομπές ΈΩΣC και CO δεν πρέπει να σημειώνεται υπέρβαση των οριακών τιμών που καθορίζονται στο σημείο 1.2 και στο σημείο 1.5 στοιχείο β).

 

3. Τα κράτη μέλη μπορούν να θεσπίζουν κανόνες που διέπουν τις εξαιρέσεις οι οποίες προβλέπονται στο παρόν Μέρος.

 

ΜΕΡΟΣ 4: Προσδιορισμός των οριακών τιμών ατμοσφαιρικών εκπομπών για τη συναποτέφρωση αποβλήτων

 

1. Αν στον πίνακα του παρόντος μέρους δεν προβλέπεται ειδική οριακή τιμή συνολικών εκπομπών C, εφαρμόζεται ο ακόλουθος τύπος (κανόνας ανάμειξης).

 

Η οριακή τιμή εκπομπών για την εκάστοτε ρυπαντική ουσία και το CO στα απαέρια που παράγονται από τη συναποτέφρωση αποβλήτων υπολογίζεται ως εξής:

 

eu.2010.75.2

 

VΑΠΟΒΛΗΤΑ: ο όγκος των απαερίων μόνο από την αποτέφρωση αποβλήτων, ο οποίος προσδιορίζεται από τα απόβλητα με τη χαμηλότερη θερμιδογόνο δύναμη που ορίζεται στην άδεια λειτουργίας και ανάγεται στις συνθήκες που καθορίζονται στην παρούσα οδηγία.

 

Αν η παραγόμενη θερμότητα από την καύση επικινδύνων αποβλήτων είναι μικρότερη του 10 % της ολικής θερμότητας που εκλύεται στη μονάδα, το VΑΠΟΒΛΗΤΑ υπολογίζεται από μια (πλασματική) ποσότητα αποβλήτων, η οποία, όταν αποτεφρωθεί θα παράγει 10 % της καθορισμένης συνολικής θερμότητας.

 

CΑΠΟΒΛΗΤΑ: οι οριακές τιμές εκπομπών που καθορίζονται στο μέρος 3 για τις μονάδες αποτέφρωσης αποβλήτων.

 

VΔΙΕΡΓΑΣΙΑ: ο όγκος των απαερίων από τη διεργασία της μονάδας καθώς και από την καύση των εγκεκριμένων καυσίμων που χρησιμοποιούνται συνήθως στη μονάδα (εξαιρουμένων των αποβλήτων), προσδιοριζόμενος βάσει της περιεκτικότητας σε οξυγόνο στην οποία πρέπει να ανάγονται οι εκπομπές, όπως καθορίζεται στο ενωσιακό και το εθνικό δίκαιο. Ελλείψει νομοθεσίας για τις μονάδες αυτού του είδους, πρέπει να χρησιμοποιείται η πραγματική περιεκτικότητα των απαερίων σε οξυγόνο, χωρίς να αραιώνονται με αέρα που δεν είναι απαραίτητος για τη διεργασία.

 

CΔΙΕΡΓΑΣΙΑ: οι οριακές τιμές εκπομπών που καθορίζονται στο παρόν μέρος για ορισμένες βιομηχανικές δραστηριότητες ή, ελλείψει τέτοιων τιμών, οι οριακές τιμές εκπομπών των μονάδων στις οποίες τηρούνται οι εθνικές νομοθετικές, κανονιστικές και διοικητικές διατάξεις που ισχύουν για την καύση στις εν λόγω μονάδες των συνήθως εγκρινόμενων καυσίμων (εξαιρουμένων των αποβλήτων). Ελλείψει τέτοιων διατάξεων, χρησιμοποιούνται οι οριακές τιμές εκπομπών που καθορίζονται στην άδεια λειτουργίας. Ελλείψει σχετικών τιμών στην άδεια, χρησιμοποιούνται οι πραγματικές συγκεντρώσεις κατά μάζα.

 

C: οι οριακές τιμές συνολικών εκπομπών για συγκεκριμένη περιεκτικότητα σε οξυγόνο που καθορίζονται στο παρόν μέρος για ορισμένες βιομηχανικές δραστηριότητες και ορισμένες ρυπαντικές ουσίες ή, ελλείψει τέτοιων τιμών, οι οριακές τιμές συνολικών εκπομπών οι οποίες αντικαθιστούν τις οριακές τιμές εκπομπών που καθορίζονται στα αντίστοιχα παραρτήματα της παρούσας οδηγίας. Η συνολική περιεκτικότητα σε οξυγόνο, που χρησιμοποιείται αντί της περιεκτικότητας σε οξυγόνο για την αναγωγή, υπολογίζεται βάσει της παραπάνω περιεκτικότητας, τηρουμένων των μερικών όγκων.

 

Όλες οι οριακές τιμές εκπομπών υπολογίζονται σε θερμοκρασία 273,15 K, πίεση 101,3 kPa και αφού διορθωθούν για τους περιεχόμενους στα απαέρια υδρατμούς.

 

Τα κράτη μέλη μπορούν να θεσπίζουν κανόνες που διέπουν τις εξαιρέσεις οι οποίες προβλέπονται στο παρόν μέρος.

 

2. Ειδικές διατάξεις για τις τσιμεντοκαμίνους που συναποτεφρώνουν απόβλητα

 

2.1. Οι οριακές τιμές εκπομπών που καθορίζονται στα σημεία 2.2 και 2.3 ισχύουν ως ημερήσιες μέσες τιμές για ολική σκόνη, HCI, HF, Nox, SO2 και ΈΩΣC (για συνεχείς μετρήσεις), ως μέσες τιμές περιόδου δειγματοληψίας ελάχιστης διάρκειας 6 ωρών και μέγιστης διάρκειας 8 ωρών για τα βαρέα μέταλλα και ως μέσες τιμές περιόδου δειγματοληψίας ελάχιστης διάρκειας 6 ωρών και μέγιστης διάρκειας 8 ωρών για διοξίνες και φουράνια.

 

Όλες οι τιμές ανάγονται για: περιεκτικότητα σε οξυγόνο 10 %.

 

Οι μέσες τιμές ημιώρου απαιτούνται μόνο για τον υπολογισμό των ημερήσιων μέσων τιμών.

 

2.2. C - οριακές τιμές συνολικών εκπομπών (mg/Nm3 πλην διοξινών και φουρανίων) για τις ακόλουθες ρυπαντικές ουσίες

 

Ρυπαντική ουσία

C

Ολική σκόνη

30

HCl

10

HF

1

NOX

500 (1)

Cd + Tl

0,05

Hg

0,05

Sb + As + Pb + Cr + Co + Cu + Mn + Ni + V

0,5

Διοξίνες και φουράνια (ng/Nm3)

0,1

 

(1) Μέχρι την 01-01-2016, η αρμόδια αρχή μπορεί να εγκρίνει εξαιρέσεις από την οριακή τιμή του NOX για τα Lepol kilns και τα long rotary kilns, υπό την προϋπόθεση ότι η άδεια ορίζει οριακή τιμή συνολικών εκπομπών για το NOX όχι μεγαλύτερη από 800 mg/Nm3

 

2.3. C - οριακές τιμές συνολικών εκπομπών (mg/Nm3) για το SO2 και τον ΈΩΣC

 

Ρύπος

C

SO2

50

ΈΩΣC

10

 

Η αρμόδια αρχή μπορεί να χορηγεί παρεκκλίσεις για τις οριακές τιμές εκπομπών που καθορίζονται στο παρόν σημείο σε περιπτώσεις όπου ο ΈΩΣC και το SO2 δεν προέρχονται από τη συναποτέφρωση αποβλήτων.

 

2.4. C - Συνολικές οριακές τιμές εκπομπών CO

 

H αρμόδια αρχή δύναται να ορίσει οριακές τιμές εκπομπών CO.

 

3. Ειδικές διατάξεις για μονάδες καύσης που συναποτεφρώνουν απόβλητα

 

3.1. CΔΙΕΡΓΑΣΙΑ εκφραζόμενη σε ημερήσιες μέσες τιμές (mg/Nm3) ισχύουσες μέχρι την ημερομηνία που αναφέρεται στο άρθρο 82 παράγραφος 5.

 

Για τον καθορισμό της συνολικής ονομαστικής θερμικής ισχύος, εφαρμόζονται οι κανόνες συνυπολογισμού που ορίζονται στο άρθρο 29. Οι μέσες τιμές ημιώρου απαιτούνται μόνο για τον υπολογισμό των ημερήσιων μέσων τιμών.

 

CΔΙΕΡΓΑΣΙΑ για στερεά καύσιμα εξαιρουμένης της βιομάζας (περιεκτικότητα σε O2 6 %):

 

Ρυπαντικές ουσίες

< 50 MWth

50 - 100 MWth

100 έως 300 MWth

> 300 MWth

SO2

-

850

200

200

NOX

-

400

200

200

Σκόνη

50

50

30

30

 

CΔΙΕΡΓΑΣΙΑ για βιομάζα (περιεκτικότητα σε O2 6 %):

 

Ρυπαντικές ουσίες

< 50 MWth

50 - 100 MWth

100 έως 300 MWth

> 300 MWth

SO2

-

200

200

200

NOX

-

350

300

200

Σκόνη

50

50

30

30

 

CΔΙΕΡΓΑΣΙΑ για υγρά καύσιμα (περιεκτικότητα σε Ο2 3 %):

 

Ρυπαντικές ουσίες

< 50 MWth

50 - 100 MWth

100 έως 300 MWth

> 300 MWth

SO2

-

850

400 έως 200 (γραμμική ελάττωση μεταξύ 100 και 300 MWth)

200

NOX

-

400

200

200

Σκόνη

50

50

30

30

 

3.2. Η CΔΙΕΡΓΑΣΙΑ εκφράζεται σε ημερήσιες μέσες τιμές (mg/Nm3) ισχύουσες από την ημερομηνία που αναφέρεται στο άρθρο 82 παράγραφος 6.

 

Για τον καθορισμό της συνολικής ονομαστικής θερμικής ισχύος μονάδων καύσης, εφαρμόζονται οι κανόνες συνυπολογισμού που ορίζονται στο άρθρο 29. Οι μέσες τιμές ημιώρου απαιτούνται μόνο για τον υπολογισμό των ημερήσιων μέσων τιμών.

 

3.2.1. CΔΙΕΡΓΑΣΙΑ για τις μονάδες καύσης που αναφέρονται στο άρθρο 30 παράγραφος 2, εξαιρουμένων των αεροστρόβιλων και των αεριοκίνητων μηχανών.

 

CΔΙΕΡΓΑΣΙΑ για στερεά καύσιμα εξαιρουμένης της βιομάζας (περιεκτικότητα σε O2 6 %):

 

Ρυπαντικές ουσίες

< 50 MWth

50 - 100 MWth

100 έως 300 MWth

> 300 MWth

SO2

-

400 για τύρφη: 300

200

200

NOX

-

300 για κονιοποιημένο λιγνίτη: 400

200

200

Σκόνη

50

30

25 για τύρφη: 20

20

 

CΔΙΕΡΓΑΣΙΑ για βιομάζα (περιεκτικότητα σε O2 6 %):

 

Ρυπαντικές ουσίες

< 50 MWth

50 - 100 MWth

100 έως 300 MWth

> 300 MWth

SO2

-

200

200

200

NOX

-

300

250

200

Σκόνη

50

30

20

20

 

CΔΙΕΡΓΑΣΙΑ για υγρά καύσιμα (περιεκτικότητα σε O2 3 %):

 

Ρυπαντικές ουσίες

< 50 MWth

50 - 100 MWth

100 έως 300 MWth

> 300 MWth

SO2

-

350

250

200

NOX

-

400

200

150

Σκόνη

50

30

25

20

 

3.2.2. CΔΙΕΡΓΑΣΙΑ για τις μονάδες καύσης που αναφέρονται στο άρθρο 30 παράγραφος 3, εξαιρουμένων των αεροστρόβιλων και των αεριοκίνητων μηχανών:

 

CΔΙΕΡΓΑΣΙΑ για στερεά καύσιμα εξαιρουμένης της βιομάζας (περιεκτικότητα σε O2 6 %):

 

Ρυπαντικές ουσίες

< 50 MWth

50 - 100 MWth

100 έως 300 MWth

> 300 MWth

SO2

-

400 για τύρφη: 300

200 για τύρφη: 300, εξαιρουμένων των περιπτώσεων καύσης σε ρευστοστερεά κλίνη: 250

150 για καύση σε κυκλοφορούσα ή υπό πίεση ρευστοστερεά κλίνη ή, στην περίπτωση καύσης τύρφης, για όλες τις καύσεις σε ρευστοστερεά κλίνη: 200

NOX

-

300 για τύρφη: 250

200

150 για κονιοποιημένο λιγνίτη 200

Σκόνη

50

20

20

10 για τύρφη: 20

 

CΔΙΕΡΓΑΣΙΑ για βιομάζα (περιεκτικότητα σε O2 6 %):

 

Ρυπαντικές ουσίες

< 50 MWth

50 - 100 MWth

100 έως 300 MWth

> 300 MWth

SO2

-

200

200

150

NOX

-

250

200

150

Σκόνη

50

20

20

20

 

CΔΙΕΡΓΑΣΙΑ για υγρά καύσιμα (περιεκτικότητα σε O2 3 %):

 

Ρυπαντικές ουσίες

< 50 MWth

50 - 100 MWth

100 έως 300 MWth

> 300 MWth

SO2

-

350

200

150

NOX

-

300

150

100

Σκόνη

50

20

20

10

 

3.3. C - οριακές τιμές συνολικών εκπομπών για βαρέα μέταλλα (mg/Nm3) εκφρασμένες σε μέσες τιμές περιόδου δειγματοληψίας ελάχιστης διάρκειας 30 λεπτών και μέγιστης διάρκειας 8 ωρών (περιεκτικότητα σε O2 6 % για στερεά καύσιμα και 3 % για υγρά καύσιμα).

 

Ρυπαντικές ουσίες

C

Cd + Tl

0,05

Hg

0,05

Sb + As + Pb + Cr + Co + Cu + Mn + Ni + V

0,5

 

3.4. C – οριακή τιμή συνολικών εκπομπών (ng/Nm3) για διοξίνες και φουράνια εκφρασμένη σε μέσες τιμές περιόδου δειγματοληψίας ελάχιστης διάρκειας 6 ωρών και μέγιστης διάρκειας 8 ωρών (περιεκτικότητα σε O2 6 % για στερεά καύσιμα και 3 % για υγρά καύσιμα).

 

Ρυπαντική ουσία

C

Διοξίνες και φουράνια

0,1

 

4. Ειδικές διατάξεις για μονάδες συναποτέφρωσης αποβλήτων σε βιομηχανικούς κλάδους μη καλυπτόμενους από τα σημεία 2 και 3 του παρόντος μέρους

 

4.1. C - οριακή τιμή συνολικών εκπομπών (ng/Nm3) για διοξίνες και φουράνια εκφρασμένη σε μέσες τιμές περιόδου δειγματοληψίας ελάχιστης διάρκειας 6 ωρών και μέγιστης διάρκειας 8 ωρών:

 

Ρυπαντική ουσία

C

Διοξίνες και φουράνια

0,1

 

4.2. C - οριακές τιμές συνολικών εκπομπών για βαρέα μέταλλα (mg/Nm3) εκφρασμένες σε. μέσες τιμές περιόδου δειγματοληψίας ελάχιστης διάρκειας 30 λεπτών και μέγιστης διάρκειας 8 ωρών:

 

Ρυπαντικές ουσίες

C

Cd + Tl

0,05

Hg

0,05

 

ΜΕΡΟΣ 5: Οριακές τιμές εκπομπών για τις απορρίψεις λυμάτων προερχόμενων από τον καθαρισμό των απαερίων

 

Ρυπαντικές ουσίες

Οριακές τιμές εκπομπών για αδιήθητα δείγματα (mg/l πλην διοξινών και φουρανίων)

1. Ολικά αιωρούμενα στερεά, όπως ορίζονται στο παράρτημα I της οδηγίας 1991/271/ΕΟΚ

(95 %)

30

(100 %)

45

2. Υδράργυρος και οι ενώσεις του, ως υδράργυρος (Hg)

0,03

3. Κάδμιο και οι ενώσεις του, ως κάδμιο (Cd)

0,05

4. Θάλλιο και οι ενώσεις του, ως θάλλιο (Tl)

0,05

5. Αρσενικό και οι ενώσεις του, ως αρσενικό (As)

0,15

6. Μόλυβδος και οι ενώσεις του, ως μόλυβδος (Pb)

0,2

7. Χρώμιο και οι ενώσεις του, ως χρώμιο (Cr)

0,5

8. Χαλκός και οι ενώσεις του, ως χαλκός (Cu)

0,5

9. Νικέλιο και οι ενώσεις του, ως νικέλιο (Ni)

0,5

10. Ψευδάργυρος και οι ενώσεις του, ως ψευδάργυρος (Zn)

1,5

11. Διοξίνες και φουράνια

0,3 ng/l

 

ΜΕΡΟΣ 6: Παρακολούθηση των εκπομπών

 

1. Τεχνικές μετρήσεων

 

1.1. Οι μετρήσεις για τον προσδιορισμό των συγκεντρώσεων ρυπαντικών ουσιών του ατμοσφαιρικού αέρα και των υδάτων εκτελούνται κατά αντιπροσωπευτικό τρόπο.

 

1.2. Η δειγματοληψία και η ανάλυση όλων των ρυπαντικών ουσιών, συμπεριλαμβανομένων των διοξινών και των φουρανίων, καθώς και η διασφάλιση της ποιότητας των αυτόματων συστημάτων μέτρησης και των μεθόδων αναφοράς για τις μετρήσεις με σκοπό τη βαθμονόμηση τους, εκτελούνται σύμφωνα με τα πρότυπα CEN. Εάν δεν υπάρχουν πρότυπα CEN, εφαρμόζονται τα πρότυπα ISO ή τα εθνικά ή άλλα διεθνή πρότυπα που εξασφαλίζουν την παροχή δεδομένων ισοδύναμης επιστημονικής ποιότητας. Τα αυτόματα συστήματα μέτρησης ελέγχονται με παράλληλες μετρήσεις με τις μεθόδους αναφοράς τουλάχιστον μία φορά ετησίως.

 

1.3. Οι τιμές των διαστημάτων εμπιστοσύνης 95 % ενός μεμονωμένου αποτελέσματος μέτρησης, που προσδιορίζονται επί της ημερήσιας οριακής τιμής εκπομπών, δεν υπερβαίνουν τα ακόλουθα ποσοστά επί τοις εκατό των οριακών τιμών εκπομπών:

 

Μονοξείδιο του άνθρακα

10 %

Διοξείδιο του θείου

20 %

Διοξείδιο του αζώτου

20 %

Ολική σκόνη

30 %

Ολικός οργανικός άνθρακας

30 %

Υδροχλώριο

40 %

Υδροφθόριο

40 %

 

Εκτελούνται περιοδικές μετρήσεις των εκπομπών στην ατμόσφαιρα και στα ύδατα σύμφωνα με τα σημεία 1.1 και 1.2.

 

2. Μετρήσεις που αφορούν ατμοσφαιρικές ρυπαντικές ουσίες

 

2.1. Εκτελούνται οι κατωτέρω μετρήσεις που αφορούν ατμοσφαιρικές ρυπαντικές ουσίες:

 

α) συνεχείς μετρήσεις των ακόλουθων ουσιών: NOX, εφόσον έχουν οριστεί οριακές τιμές εκπομπών, CO, ολική σκόνη, ΈΩΣC, HCl, HF, SO2,

 

β) συνεχείς μετρήσεις των ακόλουθων παραμέτρων λειτουργίας: θερμοκρασία κοντά στο εσωτερικό τοίχωμα ή σε άλλο αντιπροσωπευτικό σημείο του θαλάμου καύσης που επιτρέπει η αρμόδια αρχή, συγκέντρωση οξυγόνου, πίεση, θερμοκρασία και περιεκτικότητα σε υδρατμούς των απαερίων,

 

γ) τουλάχιστον δύο μετρήσεις ετησίως των βαρέων μετάλλων και των διοξινών και των φουρανίων, κατά το πρώτο όμως δωδεκάμηνο λειτουργίας, εκτελείται μία μέτρηση τουλάχιστον ανά τρίμηνο.

 

2.2. Ο χρόνος παραμονής καθώς και η ελάχιστη θερμοκρασία και η περιεκτικότητα σε οξυγόνο των απαερίων εξακριβώνονται κατάλληλα, τουλάχιστον μία φορά κατά την έναρξη της λειτουργίας της μονάδας αποτέφρωσης ή συναποτέφρωσης αποβλήτων και στις δυσμενέστερες προβλεπόμενες συνθήκες λειτουργίας.

 

2.3. Η συνεχής μέτρηση του HF επιτρέπεται να παραλείπεται, εάν χρησιμοποιούνται για το HCl στάδια επεξεργασίας που εξασφαλίζουν ότι δεν σημειώνεται υπέρβαση της οριακής τιμής εκπομπών HCl. Στην περίπτωση αυτή, οι εκπομπές HF υπόκεινται σε περιοδικές μετρήσεις, όπως καθορίζεται στο σημείο 2.1 στοιχείο γ).

 

2.4. Η συνεχής μέτρηση της περιεκτικότητας σε υδρατμούς δεν είναι απαραίτητη, με την προϋπόθεση ότι το δείγμα απαερίων ξηραίνεται πριν από την ανάλυση των εκπομπών.

 

2.5. Η αρμόδια αρχή μπορεί να αποφασίσει ότι δεν απαιτούνται συνεχείς μετρήσεις των HCI, HF και SO2 στις μονάδες αποτέφρωσης ή συναποτέφρωσης αποβλήτων, και ότι απαιτούνται περιοδικές μετρήσεις, όπως καθορίζεται στο σημείο 2.1, στοιχείο γ), ή και καθόλου μετρήσεις, εάν ο φορέας εκμετάλλευσης είναι σε θέση να αποδείξει ότι οι εκπομπές των ρύπων αυτών δεν υπάρχει περίπτωση να υπερβούν τις καθορισμένες οριακές τιμές εκπομπών.

 

Η αρμόδια αρχή μπορεί να αποφασίσει ότι δεν απαιτούνται συνεχείς μετρήσεις των NOX σε υφιστάμενες μονάδες αποτέφρωσης ή συναποτέφρωσης αποβλήτων ονομαστικής ωριαίας δυναμικότητας κάτω των 6 τόνων και να απαιτήσει περιοδικές μετρήσεις, όπως καθορίζεται στο σημείο 2.1, στοιχείο γ), εάν ο φορέας εκμετάλλευσης είναι σε θέση να αποδείξει βάσει στοιχείων για την ποιότητα των οικείων αποβλήτων, των χρησιμοποιούμενων τεχνολογιών και των αποτελεσμάτων της παρακολούθησης των εκπομπών, ότι οι εκπομπές των NOX δεν υπάρχει περίπτωση να υπερβούν τις καθορισμένες οριακές τιμές εκπομπών.

 

2.6. Η αρμόδια αρχή μπορεί να αποφασίσει να απαιτήσει μία μέτρηση ανά δύο έτη για βαρέα μέταλλα και μία μέτρηση ανά έτος για διοξίνες και φουράνια στις εξής περιπτώσεις:

 

α) οι εκπομπές που προέρχονται από την αποτέφρωση ή τη συναποτέφρωση αποβλήτων είναι σε κάθε περίπτωση χαμηλότερες από το 50 % των οριακών τιμών εκπομπών,

 

β) τα προς συναποτέφρωση ή αποτέφρωση απόβλητα αποτελούνται μόνον από ορισμένα διαλεγμένα καύσιμα κλάσματα μη επικινδύνων αποβλήτων τα οποία είναι ακατάλληλα για ανακύκλωση και παρουσιάζουν συγκεκριμένα χαρακτηριστικά, τα οποία προσέτι προσδιορίζονται βάσει της εκτίμησης που αναφέρεται στο σημείο γ),

 

γ) ο φορέας εκμετάλλευσης μπορεί να αποδείξει ότι με βάση πληροφορίες για την ποιότητα των σχετικών αποβλήτων και την παρακολούθηση των εκπομπών ότι οι εκπομπές είναι σε όλες τις περιπτώσεις σημαντικά χαμηλότερες των οριακών τιμών εκπομπών για τα βαρέα μέταλλα και τις διοξίνες και τα φουράνια.

 

2.7. Τα αποτελέσματα των μετρήσεων ανάγονται με τη χρήση των τυπικών συγκεντρώσεων οξυγόνου που αναφέρονται στο μέρος 3 ή που υπολογίζονται σύμφωνα με το μέρος 4 και με την εφαρμογή του τύπου που δίδεται στο μέρος 7.

 

Σε περίπτωση αποτέφρωσης ή συναποτέφρωσης των αποβλήτων σε ατμόσφαιρα εμπλουτισμένη με οξυγόνο, τα αποτελέσματα των μετρήσεων μπορούν να ανάγονται σε περιεκτικότητα σε οξυγόνο, την οποία καθορίζει η αρμόδια αρχή ανάλογα με τις εκάστοτε ειδικές συνθήκες.

 

Όταν οι εκπομπές των ρυπαντικών ουσιών μειώνονται με επεξεργασία των απαερίων σε μονάδα αποτέφρωσης ή συναποτέφρωσης αποβλήτων που επεξεργάζεται επικίνδυνα απόβλητα, η αναγωγή όσον αφορά τις περιεκτικότητες σε οξυγόνο που προβλέπεται στο πρώτο εδάφιο γίνεται μόνον εφόσον η μετρούμενη περιεκτικότητα σε οξυγόνο κατά την ίδια περίοδο όπως και για την εξεταζόμενη ρυπαντική ουσία υπερβαίνει τη σχετική τυπική περιεκτικότητα σε οξυγόνο.

 

3. Μετρήσεις που αφορούν ρυπαντικές ουσίες στα ύδατα

 

3.1. Εκτελούνται οι κατωτέρω μετρήσεις στο σημείο απόρριψης των λυμάτων:

 

α) συνεχείς μετρήσεις του pH, της θερμοκρασίας και της παροχής,

 

β) δειγματοληπτικές ημερήσιες μετρήσεις των ολικών αιωρούμενων στερεών ή μετρήσεις αντιπροσωπευτικού δείγματος ανάλογου προς τη ροή επί περίοδο 24 ωρών,

 

γ) τουλάχιστον μηνιαίες μετρήσεις, με αντιπροσωπευτικά και ανάλογα με τη ροή δείγματα της απόρριψης εικοσιτετραώρου, Hg, Cd, TI, As, Pb, Cr, Cu Ni και Zn,

 

δ) τουλάχιστον μετρήσεις ανά εξάμηνο των διοξινών και των φουρανίων, κατά το πρώτο όμως δωδεκάμηνο λειτουργίας, εκτελείται μία μέτρηση τουλάχιστον ανά τρίμηνο.

 

3.2. Εάν τα λύματα του καθαρισμού των απαερίων υποβάλλονται σε επιτόπου ομαδική επεξεργασία μαζί με λύματα από άλλες πηγές της μονάδας, ο φορέας εκμετάλλευσης εκτελεί τις μετρήσεις:

 

α) στη ροή λυμάτων των διεργασιών καθαρισμού των απαερίων, πριν από την είσοδό της στην εγκατάσταση ομαδικής επεξεργασίας λυμάτων,

 

β) στην ή στις ροές λυμάτων από άλλες πηγές, πριν από την είσοδό τους στην εγκατάσταση ομαδικής επεξεργασίας λυμάτων,

 

γ) στο σημείο τελικής απόρριψης των λυμάτων από τη μονάδα αποτέφρωσης ή συναποτέφρωσης αποβλήτων, μετά την επεξεργασία τους.

 

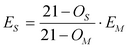
ΜΕΡΟΣ 7: Τύπος υπολογισμού της συγκέντρωσης των εκπομπών

 

eu.2010.75.3

 

ES = υπολογιζόμενη συγκέντρωση εκπομπών στην τυπική εκατοστιαία συγκέντρωση οξυγόνου.

EM = μετρούμενη συγκέντρωση εκπομπών

OS = τυπική συγκέντρωση οξυγόνου

OM = μετρούμενη συγκέντρωση οξυγόνου

 

ΜΕΡΟΣ 8: Αξιολόγηση της τήρησης των οριακών τιμών εκπομπών

 

1. Οριακές τιμές εκπομπών στον ατμοσφαιρικό αέρα

 

1.1. Οι οριακές τιμές εκπομπών στον ατμοσφαιρικό αέρα θεωρείται ότι τηρούνται, εάν:

 

α) καμία από τις ημερήσιες μέσες τιμές δεν υπερβαίνει τις οριακές τιμές εκπομπών που καθορίζονται στο σημείο 1.1 του μέρους 3 ή στο μέρος 4 ή που υπολογίζονται σύμφωνα με το μέρος 4,

 

β) είτε καμία από τις μέσες τιμές ημιώρου δεν υπερβαίνει τις οριακές τιμές εκπομπών που καθορίζονται στη στήλη Α του πίνακα του σημείου 1.2 του μέρους 3, είτε εφόσον συντρέχει λόγος, το 97 % των μέσων τιμών ημιώρου κατά τη διάρκεια του έτους δεν υπερβαίνει τις οριακές τιμές εκπομπών που καθορίζονται στη στήλη Β του πίνακα του σημείου 1.2 του μέρους 3,

 

γ) καμία από τις μέσες τιμές της περιόδου δειγματοληψίας που καθορίζεται για τα βαρέα μέταλλα και τις διοξίνες και τα φουράνια δεν υπερβαίνει τις οριακές τιμές εκπομπών που καθορίζονται στα σημεία 1.3 και 1.4 του μέρους 3 ή στο μέρος 4 ή που υπολογίζονται σύμφωνα με το μέρος 4,

 

δ) για το μονοξείδιο του άνθρακα (CO):

 

i) στην περίπτωση μονάδων αποτέφρωσης αποβλήτων:

 

τουλάχιστον το 97 % των ημερήσιων μέσων τιμών κατά τη διάρκεια του έτους δεν υπερβαίνει την οριακή τιμή εκπομπών που καθορίζεται στο σημείο 1.5 στοιχείο α) του μέρους 3, και
τουλάχιστον το 95 % των μέσων τιμών δεκαλέπτου κατά τη διάρκεια ενός οποιουδήποτε 24ώρου ή όλων των μέσων τιμών ημιώρου κατά τη διάρκεια της ίδιας περιόδου δεν υπερβαίνει τις οριακές τιμές εκπομπών που καθορίζονται στο σημείο 1.5 στοιχεία β) και γ) του μέρους 3,όσον αφορά τις μονάδες καύσης στις οποίες η θερμοκρασία των αερίων που παράγονται από τη διαδικασία αποτέφρωσης ανέρχεται σε τουλάχιστον 1100 οC για τουλάχιστον 2 δευτερόλεπτα, τα κράτη μέλη μπορούν να εφαρμόζουν περίοδο αξιολόγησης 7 ημερών για τις μέσες τιμές δεκαλέπτου,

 

ii) στην περίπτωση μονάδων συναποτέφρωσης αποβλήτων: τηρούνται οι διατάξεις του μέρους 4.

 

1.2. Οι μέσες τιμές ημιώρου και οι μέσες τιμές δεκαλέπτου προσδιορίζονται εντός του πραγματικού χρόνου λειτουργίας (εξαιρουμένων των φάσεων εκκίνησης και διακοπής, εάν δεν αποτεφρώνονται απόβλητα) από τις τιμές που έχουν προκύψει από τις μετρήσεις, αφού αφαιρεθεί η τιμή του διαστήματος εμπιστοσύνης που ορίζεται στο σημείο 1.3 του μέρους 6. Οι ημερήσιες μέσες τιμές προσδιορίζονται από τις ανωτέρω επικυρωμένες μέσες τιμές.

 

Για να ληφθεί έγκυρη ημερήσια μέση τιμή, δεν απορρίπτονται περισσότερες από πέντε μέσες τιμές ημιώρου στη διάρκεια μιας ημέρας για λόγους ελαττωματικής λειτουργίας ή συντήρησης του συστήματος συνεχών μετρήσεων. Στη διάρκεια ενός έτους δεν απορρίπτονται περισσότερες από δέκα ημερήσιες μέσες τιμές για λόγους ελαττωματικής λειτουργίας ή συντήρησης του συστήματος συνεχών μετρήσεων.

 

1.3. Οι μέσες τιμές της περιόδου δειγματοληψίας και οι μέσες τιμές στην περίπτωση περιοδικών μετρήσεων του HF, HCI και SO2 προσδιορίζονται σύμφωνα με τις απαιτήσεις του άρθρου 45 παράγραφος 1 στοιχείο ε), του άρθρου 48, παράγραφος 3 και του σημείου 1 του μέρους 6.

 

2. Οριακές τιμές εκπομπών στα ύδατα

 

Οι οριακές τιμές για τις εκπομπές στα ύδατα θεωρείται ότι τηρούνται, εάν:

 

α) για τα ολικά αιωρούμενα στερεά, το 95 % και το 100 % των μετρούμενων τιμών δεν υπερβαίνει τις αντίστοιχες οριακές τιμές εκπομπών που καθορίζονται στο μέρος 5,

 

β) για τα βαρέα μέταλλα (Hg, Cd, TI, As, Pb, Cr, Cu, Ni και Zn), μία και μόνη μέτρηση κατ' έτος υπερβαίνει τις οριακές τιμές εκπομπών που καθορίζονται στο μέρος 5 ή, εάν το κράτος μέλος προβλέπει περισσότερα από 20 δείγματα κατ' έτος, τις οριακές τιμές εκπομπών που καθορίζονται στο μέρος 5 υπερβαίνει ένα ποσοστό των δειγμάτων αυτών όχι ανώτερο του 5 %,

 

γ) για τις διοξίνες και τα φουράνια, τα αποτελέσματα των μετρήσεων δεν υπερβαίνουν την οριακή τιμή εκπομπών που καθορίζεται στο μέρος 5.

 



Copyright © 2017 TechnoLogismiki. Με την επιφύλαξη παντός δικαιώματος.