| Συνδεθείτε στην Υπηρεσία Νομοσκόπιο | | | | | Νέοι χρήστες | | Εάν είστε νέος χρήστης, θα πρέπει να δημιουργήσετε ένα ΔΩΡΕΑΝ λογαριασμό προκειμένου να φύγει το παράθυρο αυτό και να αποκτήσετε πλήρη πρόσβαση στην υπηρεσία Νομοσκόπιο. | | Δημιουργία νέου λογαριασμού | | |
1. Οι συμβατικές τιμές κάθε σύμβασης δημόσιου έργου αναθεωρούνται ενιαία για όλη τη χώρα κατά ημερολογιακό τρίμηνο (αναθεωρητική περίοδος) και με βάση τα στοιχεία και δεδομένα της εικοστής ημέρας του πρώτου μήνα της περιόδου αυτής. Σε όλη τη διάρκεια της κάθε αναθεωρητικής περιόδου οι αναθεωρημένες συμβατικές τιμές παραμένουν σταθερές.
2. Η αναθεώρηση υπολογίζεται για τις εργασίες που πραγματικά εκτελέστηκαν μέσα στο προβλεπόμενο από το άρθρο 46 χρονοδιάγραμμα. Εργασίες που, για οποιονδήποτε λόγο, εκτελέστηκαν σε αναθεωρητική περίοδο μεταγενέστερη της προβλεπόμενης από το χρονοδιάγραμμα, θεωρούνται για τον υπολογισμό της αναθεώρησης ότι εκτελέστηκαν στην αναθεωρητική περίοδο κατά την οποία έπρεπε να εκτελεστούν. Για τις εργασίες που εκτελέστηκαν πριν από την προβλεπόμενη από το χρονοδιάγραμμα αναθεωρητική περίοδο, η αναθεώρηση υπολογίζεται με βάση το χρόνο της πραγματικής εκτέλεσης τους. Για τις εργασίες που εκτελέστηκαν μετά την πάροδο της αρχικής συμβατικής Προθεσμίας, η αναθεώρηση υπολογίζεται με βάση τους συντελεστές που ίσχυαν κατά την τελευταία αναθεωρητική περίοδο του αρχικού χρονοδιαγράμματος κατασκευής του έργου, εφόσον η καθυστέρηση οφείλεται σε υπαιτιότητα του αναδόχου. Στην περίπτωση αυτή επιβάλλονται οι διοικητικές και οι παρεπόμενες χρηματικές κυρώσεις, που προβλέπονται στις παραγράφους 3 και 4 του άρθρου 82, καθώς και οι προβλεπόμενες από το άρθρο 49 του παρόντος.
3. Για την εφαρμογή της προηγούμενης παραγράφου κατά την έγκριση παρατάσεων της συνολικής ή των τμηματικών προθεσμιών των συμβάσεων των δημόσιων έργων εκτιμάται και προσδιορίζεται πάντοτε το υπαίτιο για την επιμήκυνση του χρόνου συμβαλλόμενο μέρος για το σύνολο ή για μέρος των έργων ή κατά κονδύλια εργασιών. Οι διατάξεις της παραγράφου αυτής δεν επηρεάζουν την κατάπτωση των ποινικών ρητρών, αν συντρέχουν οι προϋποθέσεις της.
4. Ως χρόνος εκκίνησης για τον υπολογισμό της αναθεώρησης κάθε εργολαβικής σύμβασης ορίζεται το ημερολογιακό τρίμηνο μέσα στο οποίο:
α) υποβλήθηκε η προσφορά, αν πρόκειται για σύμβαση, που καταρτίσθηκε ύστερα από δημοπρασία ή
β) εκδόθηκε η σχετική εγκριτική απόφαση, αν πρόκειται για σύμβαση που καταρτίσθηκε χωρίς δημοπρασία, και υπό τον όρο ότι η εγκριτική αυτή απόφαση δεν ορίζει άλλο χρόνο.
Οι τιμές της σύμβασης παραμένουν σταθερές για τις εργασίες που εκτελούνται ή που έπρεπε να εκτελεστούν μέσα στο τρίμηνο που θεωρείται χρόνος εκκίνησης και στο αμέσως επόμενο ημερολογιακό τρίμηνο. Κατ' εξαίρεση η σταθερότητα των τιμών περιορίζεται μόνο στο ημερολογιακό τρίμηνο εκκίνησης όταν πρόκειται για έργα οποιασδήποτε κατηγορίας συνολικού αρχικού προϋπολογισμού δημοπρατούμενου ή ανατιθέμενου έργου, χωρίς αναθεώρηση, μέχρι το ανώτερο όριο της δεύτερης τάξης εργοληπτικών επιχειρήσεων, όπως ορίζεται, σύμφωνα με την παράγραφο 1 του άρθρου 102 του παρόντος.
5. Η αναθεώρηση (αύξηση ή μείωση) για κάθε αναθεωρητική περίοδο υπολογίζεται με βάση τον τύπο:
ΔΤV=T x ((AV/A0) -1) x (1-σ)
όπου είναι:
Τ: η υπόψη τιμή της σύμβασης,
ΔΤV: η αναθεώρηση της παραπάνω τιμής στην υπόψη αναθεωρητική περίοδο ν,
Α0: τιμή που προκύπτει αφού συμπληρωθεί με βασικές τιμές του χρόνου εκκίνησης το οριζόμενο για την τιμή Τ άρθρο ανάλυσης τιμών ή συνδυασμός άρθρων με τα βάρη τους, όπως προσδιορίζονται από τη σύμβαση σύμφωνα με την παράγραφο 7,
ΑV: τιμή που προκύπτει όπως παραπάνω με τις βασικές τιμές της αναθεωρητικής περιόδου ν,
σ: σταθερός συντελεστής που αντιπροσωπεύει το μη αναθεωρούμενο μέρος της τιμής και που προσδιορίζεται με απόφαση του Υπουργού Περιβάλλοντος, Χωροταξίας και Δημόσιων Έργων μεταξύ του 0.07 και 0.20 κατά κατηγορίες ή μέγεθος έργων και ανάλογα με τον αριθμό των αναθεωρητικών περιόδων, που μεσολαβούν μεταξύ του χρόνου εκκίνησης και της συγκεκριμένης κάθε φορά αναθεωρητικής περιόδου.
6. Ο σταθερός συντελεστής σ στον τύπο της αναθεώρησης της παραγράφου 5 ορίζεται από τη σχέση:
σ=σ1 +0.01 ν,
όπου σ1 είναι συντελεστής που καθορίζεται ενιαία για όλες τις κατηγορίες ή και χωριστά για καθεμία από τις κατηγορίες των δημόσιων έργων και ανέρχεται σε σ1=0.12 για όλες τις κατηγορίες έργων και
ν είναι ακέραιος αριθμός ίσος με τη μονάδα για την πρώτη αναθεωρητική περίοδο που υπολογίζεται αναθεώρηση για τη συγκεκριμένη σε κάθε περίπτωση εργολαβία και που αυξάνεται κατά μία μονάδα για καθεμιά από τις επόμενες αναθεωρητικές περιόδους της συγκεκριμένης εργολαβίας. Ο ν παύει να αυξάνει όταν το σ γίνει 0.20. Ο συντελεστής σ1 μπορεί να αναπροσαρμόζεται με απόφαση του Υπουργού Περιβάλλοντος, Χωροταξίας και Δημόσιων Έργων.
7. Η αναθεώρηση της τιμής κάθε συμβατικού κονδυλίου γίνεται με βάση τα αντίστοιχα άρθρα εγκεκριμένων αναλύσεων τιμών που ορίζονται με τα συμβατικά τεύχη. Όταν πρόκειται για κονδύλια που δεν ταυτίζονται με άρθρα εγκεκριμένων αναλύσεων ή σε περιπτώσεις κατ' αποκοπή τιμών ή σύνθετων τιμών τα συμβατικά τεύχη ή τα πρωτόκολλα νέων τιμών καθορίζουν για την αναθεώρηση τους παρεμφερή άρθρα εγκεκριμένων αναλύσεων ή ομάδα τέτοιων κονδυλίων με τα αντίστοιχα βάρη καθενός άρθρου.
8. Οι διατάξεις του άρθρου αυτού δεν εφαρμόζονται στις συμβάσεις με εργολαβικό αντάλλαγμα άλλο εκτός από χρηματική καταβολή και στις απολογιστικές εργασίες.
Στις συμβάσεις, που καταρτίζονται με τον τρόπο που προβλέπουν οι περιπτώσεις γ' και δ' του άρθρου 4 του παρόντος ή που το αντάλλαγμα συνομολογείται σε ξένο νόμισμα, καθορίζεται με τη διακήρυξη αναθεώρησης και προσδιορίζεται ο τρόπος υπολογισμού της, ο οποίος μπορεί να είναι ίδιος ή διαφορετικός από τον ισχύοντα τρόπο αναθεώρησης.
9. Τα περιλαμβανόμενα στις πιστοποιήσεις υλικά θεωρούνται ως μερική εκτέλεση των εργασιών, για τις οποίες προορίζονται και η αναθεώρηση της πιστοποιούμενης αξίας τους γίνεται, όταν πιστοποιούνται, με τους συντελεστές των κονδυλίων στα οποία προβλέπεται να χρησιμοποιηθούν. Όταν εκτελεσθούν οι εργασίες, η αναθεώρηση υπολογίζεται μόνο στο υπόλοιπο μέρος της αξίας τους, ύστερα από αφαίρεση της αξίας των υλικών που είχαν πιστοποιηθεί σε προηγούμενη αναθεωρητική περίοδο.
10. Η προηγούμενη παράγραφος εφαρμόζεται ανάλογα και στις εργασίες που μένουν ημιτελείς σε μια αναθεωρητική περίοδο.
11. Η αξία των υλικών που χορηγούνται από τον φορέα κατασκευής του έργου δεν υπόκειται σε καμιά αναθεώρηση. Για την αναθεώρηση των τιμών των εργασιών που ορίζονται στη σύμβαση χωρίς την αξία των υλικών τα αντίστοιχα ποσά ΑV και Α0 που περιέχονται στον τύπο του παρόντος άρθρου υπολογίζονται αφού η σχετική ανάλυση συμπληρωθεί με μηδενική την αξία του υλικού.
Αν οι τιμές περιλαμβάνουν την αξία των υλικών, τότε εφαρμόζεται ο ίδιος συντελεστής και στην εκπιπτόμενη αξία του υλικού, εκτός αν ρητά ορίζεται στη σύμβαση άλλος τρόπος υπολογισμού της αναθεώρησης στην εκπιπτόμενη αξία του υλικού.
12. Στις περιπτώσεις που στη σύμβαση προβλέπεται η προμήθεια εξοπλισμού ή σημαντικής αξίας μηχανημάτων για τη λειτουργία ή εγκατάσταση στο έργο και προσδιορίζεται χωριστά το αντάλλαγμα για την προμήθεια, μπορεί για το αντάλλαγμα αυτό να οριστεί με τη σύμβαση άλλος τρόπος αναθεώρησης.
13. Η αναθεώρηση δεν εφαρμόζεται στα ποσά αποζημιώσεων που αναγνωρίζονται διοικητικά ή δικαστικά, εκτός αν τα ποσά αυτά είναι συνάρτηση τιμών για τις οποίες προβλέπεται στη συγκεκριμένη περίπτωση αναθεώρηση, σύμφωνα με ό,τι προκύπτει από τη σχετική δικαστική απόφαση ή διοικητική πράξη.
14. Το ποσό της αναθεώρησης καταβάλλεται από τις πιστώσεις του έργου.
15. Πέρα από την προβλεπόμενη στις διατάξεις του άρθρου αυτού αναθεώρηση τιμών αποκλείεται η αναπροσαρμογή του εργολαβικού ανταλλάγματος ή η διάλυση των συμβάσεων δημόσιων έργων, κατ' εφαρμογή των διατάξεων των άρθρων 288 ή 388 του Αστικού Κώδικα ένεκα της αυξομείωσης των τιμών.
16. Η διαπίστωση των βασικών τιμών ημερομισθίων, υλικών και μισθωμάτων, μηχανημάτων όπως και των εργοδοτικών επιβαρύνσεων στα ημερομίσθια γίνεται από την Επιτροπή Διαπίστωσης Τιμών Δημόσιων Έργων (ΕΔΤΔΕ), που προβλέπεται από το άρθρο 9 της κοινής απόφασης των Υπουργών Προεδρίας της Κυβέρνησης και Περιβάλλοντος, Χωροταξίας και Δημόσιων Έργων υπ' αριθμόν 80885/5439/1992 (ΦΕΚ 573/Β/1992).
17. Οι τιμές που διαπιστώνονται από την επιτροπή είναι οι μέσες τιμές που διαμορφώνονται στην αγορά της περιοχής της πρωτεύουσας και οι τιμές αυτές χρησιμοποιούνται σε όλη τη χώρα, όχι μόνο για την αναθεώρηση αλλά και για οποιαδήποτε άλλη συμπλήρωση αναλύσεων τιμών, όπου προβλέπουν τη χρήση των αναλύσεων οι σχετικές διατάξεις. Οι τιμές των ημερομισθίων αναφέρονται στον μέσης απόδοσης εργαζόμενο της αντίστοιχης ειδικότητας. Οι τιμές υλικών είναι οι τιμές που διαμορφώνονται για τη χονδρική πώληση των υλικών ως ελεύθερων εμπορευμάτων και περιλαμβάνουν κάθε σχετική επιβάρυνση που περιλαμβάνεται στις τιμές αυτές, σύμφωνα με τις ισχύουσες διατάξεις και τα συναλλακτικά ήθη (όπως πάγια συνυπολογιζόμενες συσκευασίες ή μεταφορές, φόρος προστιθέμενης αξίας τιμολογίων). Οι τιμές μισθωμάτων μηχανημάτων και αυτοκινήτων διαπιστώνονται για μηχανήματα σε καλή κατάσταση λειτουργίας. Όταν διατίθενται από φορέα του δημόσιου τομέα τέτοια μηχανήματα, λαμβάνονται υπόψη και οι τιμές των μισθωμάτων αυτών. Σε εξαιρετικές περιπτώσεις μηχανημάτων που δεν υπάρχουν στην αγορά επαρκή στοιχεία για τη διαμόρφωση της τιμής τους η Επιτροπή λαμβάνει υπόψη της τα χαρακτηριστικά του μηχανήματος (όπως κόστος, απόδοση, διάρκεια ζωής, κατανάλωση ενέργειας), σε σύγκριση με άλλα ανάλογα μηχανήματα για τα οποία διαμορφώνεται αγοραίο μίσθωμα. Για τη διαπίστωση των τιμών γενικά η επιτροπή λαμβάνει υπόψη της κάθε πρόσφορο στοιχείο και ιδιαίτερα τα στοιχεία που συγκεντρώνονται συνεχώς από την αρμόδια υπηρεσία της Γενικής Γραμματείας Δημοσίων Έργων, η οποία και παρέχει γραμματειακή και διοικητική εξυπηρέτηση στην επιτροπή. Οι τιμές που διαπιστώνονται από την Επιτροπή ισχύουν για όλες τις εργολαβίες.
18. Απόσπασμα των πρακτικών της επιτροπής, που περιλαμβάνει τις τιμές που διαπιστώνονται, κοινοποιείται στο Τεχνικό Επιμελητήριο Ελλάδος και στις πανελλήνιες επαγγελματικές εργοληπτικές ενώσεις, που δίνουν κάθε δυνατή δημοσιότητα στις τιμές. Οι πιο πάνω πανελλήνιες εργοληπτικές ενώσεις μπορούν να ασκήσουν ένσταση κατά των πρακτικών για ορισμένες τιμές, σε ανατρεπτική προθεσμία 15 ημερών από την κοινοποίηση των πρακτικών στο Τεχνικό Επιμελητήριο Ελλάδος. Η ένσταση κατατίθεται στη γραμματεία της Επιτροπής και σε αυτή αποφασίζει ο Υπουργός Περιβάλλοντος, Χωροταξίας και Δημόσιων Έργων μετά από γνώμη της ίδιας επιτροπής της παραγράφου 16. Η απόφαση κοινοποιείται όπως και το απόσπασμα του πρακτικού της επιτροπής και ενεργεί έναντι πάντων.
19. Η αναθεώρηση υπολογίζεται με βάση συντελεστές που κοινοποιούνται μηχανογραφικά. Στην περίπτωση της παραγράφου 11, αν δεν δίνονται μηχανογραφικά οι συντελεστές με μηδενική την αξία των υλικών, συντάσσεται ειδικό φύλλο υπολογισμού του συντελεστή. Το ίδιο εφαρμόζεται και σε κάθε περίπτωση που ο σχετικός συντελεστής δεν δίνεται μηχανογραφικά. Στις περιπτώσεις κονδυλίων αναλύσεων με πληθώρα εξειδικευμένων παραμέτρων ή ποιοτήτων υλικών διαφόρων προελεύσεων ή κυμαινόμενων μέσα στο αυτό άρθρο συντελεστών μεταφοράς, η αναθεώρηση γίνεται με το μηχανογραφικά κοινοποιούμενο συντελεστή της αντιπροσωπευτικότερης σχετικής περίπτωσης.
20. Στις πιστοποιήσεις εμφανίζονται συνολικά τα ποσά αναθεώρησης κάθε αναθεωρητικής περιόδου, όπως προκύπτουν από το σχετικό πίνακα. Οι ποσότητες εργασιών που έχουν εκτελεσθεί ή έπρεπε να εκτελεσθούν μέσα σε κάθε αναθεωρητική περίοδο προκύπτουν από σχετικούς πίνακες κατανομής των εργασιών που απαιτούνται για τον υπολογισμό της αναθεώρησης. Με τους πίνακες αυτούς γίνεται και η εφαρμογή της παραγράφου 2 βάσει του χρονοδιαγράμματος του έργου, όπως αυτό οριστικοποιήθηκε ως εγκεκριμένο πρόγραμμα κατασκευής και με ανοχή εκτιμήσεων 10% προς τα πάνω ή προς τα κάτω από τη συνολική αξία εκτελεστέων εργασιών κατά αναθεωρητική περίοδο όπως προκύπτει από το πρόγραμμα αυτό.
21. Η αναθεώρηση κάθε αναθεωρητικής περιόδου περιλαμβάνεται στην πρώτη πιστοποίηση μετά την κοινοποίηση των συντελεστών της περιόδου αυτής. Μέχρι τότε υπολογίζεται η αναθεώρηση προσωρινά με τους συντελεστές της τελευταίας αναθεωρητικής περιόδου για την οποία έχουν κοινοποιηθεί οι συντελεστές αναθεώρησης. Για να περιληφθεί σε πιστοποίηση η αναθεώρηση δεν απαιτείται να έχει εγκριθεί ειδικό κονδύλιο για την αναθεώρηση και η πληρωμή γίνεται από τις εγκεκριμένες για το έργο πιστώσεις.
22. Κατ' εξαίρεση, για την περίοδο μετά την 01-01-2013 και εφεξής για την οποία δεν έχουν συνταχθεί και εγκριθεί τα σχετικά Πρακτικά Διαπίστωσης Τιμών, μέχρι τη σύσταση και λειτουργία του Εθνικού Συστήματος Τεχνικών Προδιαγραφών και Τιμολόγησης Τεχνικών Έργων (ΕΣ ΤΠ & ΤΙΜ ΤΕ), κατά τα οριζόμενα στη συνέχεια του παρόντος άρθρου, η αναθεώρηση (αύξηση ή μείωση) για κάθε αναθεωρητική περίοδο υπολογίζεται με τον ακόλουθο τρόπο:
α) Για τις συβάσεις, που έχουν δημοπρατηθεί πριν την 01-01-2013 και διατίθενται κατά την υλοποίησή τους εγκεκριμένα Πρακτικά Διαπίστωσης Τιμών, η αναθεώρηση για τα τρίμηνα για τα οποία δεν υφίστανται εγκεκριμένα Πρακτικά Διαπίστωσης Τιμών θα υπολογίζεται με βάση τον ακόλουθο τύπο:

Όπου:
ν = Η εξεταζόμενη αναθεωρητική περίοδος.
ΔΤV = Η αναθεώρηση της εξεταζόμενης τιμής μονάδος Τ, κατά την περίοδο ν.
Τo = Η εξεταζόμενη τιμή μονάδος της σύμβασης κατά το χρόνο υποβολής της προσφοράς.
ΑΤ0 = Η τιμή που προκύπτει αφού συμπληρωθεί με βασικές τιμές του χρόνου εκκίνησης της σύμβασης το οριζόμενο για την εξεταζόμενη τιμή Τ, άρθρο ανάλυσης τιμών (ή συνδυασμός άρθρων με τα βάρη τους), όπως αυτό (ή αυτά) προσδιορίζονται από τη σύμβαση, σύμφωνα με την παράγραφο 7 του παρόντος άρθρου.
ΑΤα = H τιμή που προκύπτει όπως παραπάνω, αλλά με βασικές τιμές του τελευταίου εγκεκριμένου Πρακτικού Διαπίστωσης.
ΓΔΤΚV = Ο μέσος όρος του μηνιαίου Γενικού Δείκτη Τιμών Καταναλωτή της Ελληνικής Στατιστικής Αρχής (ΓΔΤΚΑ) για την εξεταζόμενη αναθεωρητική περίοδο (ημερολογιακό τρίμηνο).
Η τιμή αυτή διαπιστώνεται και υπολογίζεται από την Επιτροπή Διαπιστώσεως Τιμών Δημοσίων Έργων με βάση τη σχετική δημοσιευομένη χρονοσειρά μηνιαίων δεικτών της Ελληνικής Στατιστικής Αρχής.
ΓΔΤΚα = Ο μέσος όρος του μηνιαίου Γενικού Δείκτη Τιμών Καταναλωτή της Ελληνικής Στατιστικής Αρχής (ΓΔΤΚΑ) για το ημερολογιακό τρίμηνο που αντιστοιχεί στο τελευταίο εγκεκριμένο Πρακτικό Διαπίστωσης. Η τιμή αυτή διαπιστώνεται και υπολογίζεται από την Επιτροπή Διαπιστώσεως Τιμών Δημοσίων Έργων με βάση τη σχετική δημοσιευομένη χρονοσειρά μηνιαίων δεικτών της Ελληνικής Στατιστικής Αρχής.
σ = σταθερός συντελεστής που αντιπροσωπεύει το μη αναθεωρούμενο μέρος της εξεταζόμενης τιμής Τ, όπως αυτός υπολογίζεται κατά τα αναφερόμενα παραπάνω στο παρόν άρθρο.
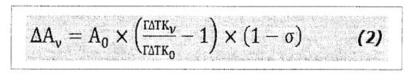
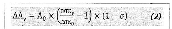
β) Για τις συμβάσεις, που έχουν δημοπρατηθεί μετά την 01-01-2013 και δεν υπάρχουν εγκεκριμένα Πρακτικά Διαπίστωσης Τιμών κατά την υλοποίησή τους, η αναθεώρηση υπολογίζεται με βάση τον ακόλουθο τύπο:

Όπου:
ν = Η εξεταζόμενη αναθεωρητική περίοδος.
ΔΑV = Η αναθεώρηση των εργασιών για την εξεταζόμενη περίοδο ν.
Α0 = η αξία των εργασιών, που υπόκεινται σε αναθεώρηση κατά την εξεταζόμενη αναθεωρητική περίοδο, σύμφωνα με τα οριζόμενα ανωτέρω στο παρόν άρθρο, με βάση τις τιμές της αρχικής προσφοράς.
ΓΔΤΚV = Ο μέσος όρος του μηνιαίου Γενικού Δείκτη Τιμών Καταναλωτή της Ελληνικής Στατιστικής Αρχής (ΓΔΤΚΑ) για την εξεταζόμενη αναθεωρητική περίοδο (ημερολογιακό τρίμηνο).
Η τιμή αυτή διαπιστώνεται και υπολογίζεται από την Επιτροπή Διαπιστώσεως Τιμών Δημοσίων Έργων με βάση τη σχετική δημοσιευομένη χρονοσειρά μηνιαίων δεικτών της Ελληνικής Στατιστικής Αρχής.
ΓΔΤΚ0 = Ο μέσος όρος του μηνιαίου Γενικού Δείκτη Τιμών Καταναλωτή της Ελληνικής Στατιστικής Αρχής (ΓΔΤΚΑ) για το ημερολογιακό τρίμηνο, που λαμβάνεται ως χρόνος εκκίνησης για τον υπολογισμό της αναθεώρησης, κατά τα αναφερόμενα στο παρόν άρθρο. Η τιμή αυτή διαπιστώνεται και υπολογίζεται από την Επιτροπή Διαπιστώσεως Τιμών Δημοσίων Έργων με βάση τη σχετική δημοσιευομένη χρονοσειρά μηνιαίων δεικτών της Ελληνικής Στατιστικής Αρχής.
σ = σταθερός συντελεστής που αντιπροσωπεύει το μη αναθεωρούμενο μέρος των συμβατικών τιμών, όπως αυτός υπολογίζεται κατά τα αναφερόμενα παραπάνω στο παρόν άρθρο.
22.Α. Για δημόσια έργα που εκτελούνται από ημεδαπές Αναθέτουσες Αρχές, εκτός Ελλάδας, σε χώρα της Ευρωπαϊκής Ένωσης η αναθεώρηση τιμών υπολογίζεται με βάση τον ισχύοντα τύπο:

όπου ο Γενικός Δείκτης Τιμών Καταναλωτή (ΓΔΤΚ) διαπιστώνεται και υπολογίζεται για την εξεταζόμενη αναθεωρητική περίοδο (ημερολογιακό τρίμηνο) από την Επιτροπή Διαπιστώσεως Τιμών Δημοσίων Έργων (ΕΔΤΔΕ) με βάση τη σχετική δημοσιευόμενη χρονοσειρά μηνιαίων δεικτών της Στατιστικής Υπηρεσίας της χώρας που κατασκευάζεται το έργο.
Οι διατάξεις αυτές εφαρμόζονται και στις συμβάσεις των παραπάνω έργων, που βρίσκονται σε εξέλιξη, ανεξαρτήτως του χρόνου δημοπράτησής τους.
23. Μέχρι τη σύσταση και λειτουργία του Εθνικού Συστήματος Τεχνικών Προδιαγραφών και Τιμολόγησης Τεχνικών Έργων, αναστέλλεται η έκδοση Πρακτικών Διαπίστωσης βασικών τιμών υλικών, εργατικών και μισθωμάτων μηχανημάτων από τη Γενική Γραμματεία Δημοσίων Έργων. Η λειτουργία της Επιτροπής Διαπιστώσεως Τιμών Δημοσίων Έργων αφορά μόνο στη διαπίστωση του Γενικού Δείκτη Τιμών Καταναλωτή της Ελληνικής Στατιστικής Αρχής και στον υπολογισμό του μέσου όρου του δείκτη αυτού για κάθε ημερολογιακό τρίμηνο (ΓΔΤΚ) για την εφαρμογή των τύπων (1) και (2) της παραγράφου 22 του παρόντος άρθρου.
24. Το Εθνικό Σύστημα Τεχνικών Προδιαγραφών και Τιμολόγησης Τεχνικών Έργων τελεί υπό την εποπτεία του Υπουργείου Υποδομών, Μεταφορών και Δικτύων και αποτελεί ένα συνεκτικό σύνολο τυποποιημένων και εναρμονισμένων αρχών, κανόνων και μεθόδων που υποστηρίζουν μέσω του διαδικτύου, κατά τρόπο έγκυρο, αξιόπιστο και δυναμικά εξελισσόμενο, τον προγραμματισμό, το σχεδιασμό, την κατασκευή και τη λειτουργία των τεχνικών έργων, σε θέματα όπως:
α) Η στατιστική αποτύπωση των βασικών τιμών των συντελεστών παραγωγής (παρατηρητήριο τιμών για εργατικά, υλικά, μηχανικό εξοπλισμό, κ.λ.π.), που συμμετέχουν στην εκτέλεση κάθε επιμέρους εργασίας και η παρακολούθηση σε εθνικό επίπεδο της γεωγραφικής διαφοροποίησής τους, καθώς και της διαχρονικής μεταβολής τους, με δόκιμες στατιστικά μεθοδολογίες.
β) Η κατάρτιση και διαρκής ενημέρωση σύγχρονων τυποποιημένων περιγραφικών άρθρων τιμολογίων και αντιστοίχων αναλύσεων τιμών, για τη μονοσήμαντη περιγραφή, την ανάλυση της δαπάνης και την τιμολόγηση των εργασιών κατασκευής των πάσης φύσεως νέων έργων ή άλλων τεχνικών εργασιών όπως ενδεικτικά συντήρησης, αποκατάστασης βλαβών, ενεργειακών παρεμβάσεων σε υφιστάμενα έργα.
γ) Η διαμόρφωση και εφαρμογή ενός αντικειμενικού εξειδικευμένου συστήματος αναθεώρησης / αναπροσαρμογής των συμβατικών τιμών των συμβάσεων έργων, καθώς και των συμβάσεων μελετών και υπηρεσιών του νόμου 3316/2005 κατά την εκτέλεσή τους, εφόσον προβλέπεται από τις σχετικές συμβάσεις.
δ) Η κατάρτιση και διαρκής ενημέρωση σύγχρονων εθνικών τεχνικών προδιαγραφών (ΕΤΕΠ) για τον τομέα του σχεδιασμού, του υπολογισμού, της εκτέλεσης, της λειτουργίας, της συντήρησης και της επίβλεψης των τεχνικών έργων λαμβανομένης υπόψη της χρήσης δομικών προϊόντων εναρμονισμένων με τα ισχύοντα κάθε φορά ευρωπαϊκά πρότυπα, των ευρωπαϊκών τεχνικών εγκρίσεων, των κοινών τεχνικών προδιαγραφών και των διεθνών πρότυπων.
ε) Η κατάρτιση και τήρηση ενός εθνικού μητρώου παραγωγών και προμηθευτών πάσης φύσεως υλικών και ειδών εξοπλισμού, που ενσωματώνονται σε δημόσια έργα και διαδικτυακής βάσης δεδομένων των υλικών και εξοπλισμού που κυκλοφορούν στην εγχώρια αγορά και διαθέτουν τις απαιτούμενες πιστοποιήσεις (CE, εθνική τεχνική έγκριση, περιβαλλοντική δήλωση προϊόντος, κ.λ.π.).
στ) Η αποδελτίωση και στατιστική επεξεργασία του τελικού κόστους κατασκευής των διαφόρων τύπων τεχνικών έργων για τη διαμόρφωση αξιόπιστων δεικτών και ιστορικών στοιχείων κόστους, με βάση τα σχετικά στοιχεία που τηρούνται στα πληροφοριακά συστήματα του Δημοσίου για την παρακολούθηση της πορείας ανάθεσης και εκτέλεσης των δημοσίων συμβάσεων για ελεγκτικούς, δημοσιονομικούς, στατιστικούς και λοιπούς σκοπούς.
ζ) Η ανάπτυξη και διαρκής ενημέρωση βάσεων δεδομένων με οποιαδήποτε άλλα στοιχεία / πληροφορίες απαιτούνται για την απρόσκοπτη λειτουργία του Εθνικού Συστήματος Τεχνικών Προδιαγραφών και Τιμολόγησης Τεχνικών Έργων.
25. Το Εθνικό Σύστημα Τεχνικών Προδιαγραφών και Τιμολόγησης Τεχνικών Έργων καλύπτει υποχρεωτικά τις συμβάσεις μελέτης και κατασκευής τεχνικών έργων, που ανατίθενται από αρχές ή φορείς του δημόσιου τομέα και των οργανισμών τοπικής αυτοδιοίκησης κάθε βαθμού και προαιρετικά τις συμβάσεις που ανατίθενται από φορείς του ιδιωτικού τομέα. Η έναρξη λειτουργίας του Εθνικού Συστήματος Τεχνικών Προδιαγραφών και Τιμολόγησης Τεχνικών Έργων καθορίζεται με κοινή απόφαση του Υπουργού Ανάπτυξης και Ανταγωνιστικότητας και Υποδομών, Μεταφορών και Δικτύων. Η ένταξη των ιδιωτικών έργων στο Εθνικό Σύστημα Τεχνικών Προδιαγραφών και Τιμολόγησης Τεχνικών Έργων μπορεί να γίνει με κοινή απόφαση των Υπουργών Ανάπτυξης και Ανταγωνιστικότητας και Υποδομών, Μεταφορών και Δικτύων.
26. Για την ανάπτυξη, λειτουργία, διαρκή ενημέρωση και υποστήριξη του Εθνικού Συστήματος Τεχνικών Προδιαγραφών και Τιμολόγησης Τεχνικών Έργων συστήνεται ειδικός Φορέας (Φορέας) με την επωνυμία Εταιρία Προδιαγραφών και Τιμολόγησης Τεχνικών Έργων. Η Εταιρία αυτή θα έχει τη μορφή νομικού προσώπου ιδιωτικού δικαίου, μη - κερδοσκοπικού χαρακτήρα, και θα λειτουργεί σε ανταποδοτική βάση. Στη διοίκηση της Εταιρίας θα εκπροσωπούνται ισότιμα όλα τα ενδιαφερόμενα μέρη που εμπλέκονται στην παραγωγή των τεχνικών έργων περιλαμβανομένων και των μελετών και υπηρεσιών του νόμου 3316/2005 (ΦΕΚ 42/Α/2005) ή στην προαγωγή της τεχνολογίας των έργων αυτών, σύμφωνα και με τις διατάξεις του άρθρου 87 του νόμου [Ν] 1943/1991 (ΦΕΚ 50/Α/1991). Η Εταιρία θα τελεί υπό την εποπτεία του Υπουργείου Υποδομών, Μεταφορών και Δικτύων.
27. Η ανάπτυξη του Εθνικού Συστήματος Τεχνικών Προδιαγραφών και Τιμολόγησης Τεχνικών Έργων θα συγχρηματοδοτηθεί με πόρους του Κοινοτικού Πλαισίου Στήριξης μέσω αρμόδιων Διευθύνσεων του Υπουργείου Υποδομών, Μεταφορών και Δικτύων. Για τη μεταφορά τεχνογνωσίας, βάσεων δεδομένων, τεχνικών προδιαγραφών, μεθόδων και διαδικασιών, ο Φορέας μπορεί να συμβάλλεται με Φορείς που λειτουργούν αντίστοιχα συστήματα σε άλλες χώρες της Ευρωπαϊκής Ένωσης ή άλλους σχετικούς φορείς διεθνώς. Τα ιδρυτικά μέλη του Φορέα, στελέχη και εκπρόσωποι περιλαμβανομένων και αυτών, που προσφέρουν υπηρεσίες για την αρχική ανάπτυξη του συστήματος δεν μπορεί να χρηματοδοτούνται από τους πόρους αυτούς.
28. Με κοινή απόφαση των Υπουργών Οικονομικών, Ανάπτυξης και Ανταγωνιστικότητας, Υποδομών, Μεταφορών και Δικτύων ρυθμίζονται τα ειδικότερα θέματα που αφορούν στη συγκρότηση της Εταιρίας και στη λειτουργία και διαχείριση του Εθνικού Συστήματος Τεχνικών Προδιαγραφών και Τιμολόγησης Τεχνικών Έργων, στο δικτυακό τόπο τήρησής του, στη δομή, στο περιεχόμενο και στην πρόσβαση σε αυτό, στα θέματα της οργάνωσης και διοίκησης της Εταιρίας, της εκπροσώπησης των ενδιαφερομένων μερών στη Διοίκηση της Εταιρίας, των συμπράξεων της Εταιρίας με άλλους φορείς του εξωτερικού, των παρεχόμενων υπηρεσιών και στοιχείων, της τιμολόγησης και χρησιμοποίησης των εσόδων της Εταιρίας, καθώς και κάθε άλλο σχετικό θέμα.