| Συνδεθείτε στην Υπηρεσία Νομοσκόπιο | | | | | Νέοι χρήστες | | Εάν είστε νέος χρήστης, θα πρέπει να δημιουργήσετε ένα ΔΩΡΕΑΝ λογαριασμό προκειμένου να φύγει το παράθυρο αυτό και να αποκτήσετε πλήρη πρόσβαση στην υπηρεσία Νομοσκόπιο. | | Δημιουργία νέου λογαριασμού | | |
1. Δια την διάνοιξη οδών εκτός Σχεδίου πόλεων, πλάτους μείζονος των 30 m, δια μεν τα τριάκοντα μέτρα του πλάτους αυτής εφαρμόζονται οι διατάξεις του προηγουμένου άρθρου δια δε το πέραν του ορίου τούτου πλάτους και μέχρις 80 m, οι κύριοι ή συγκύριοι των ακινήτων των κειμένων, εντός των κατά τη επομένη παράγραφο λωρίδων επιρροής συμμετέχουν εις την δαπάνη αποκτήσεως του δια την οδόν απαιτουμένου εδάφους κατά τις διατάξεις του παρόντος άρθρου. Την δαπάνη καλύψεως εδάφους πέραν του πλάτους των 80 m, φέρει εν τω συνόλω της το Δημόσιον.
2. Παραλλήλως προς τον άξονα της οδού και εκατέρωθεν ταύτης χαράσσονται ανά δέκα ίχνη που προσδιορίζουν ισάριθμες λωρίδες επιρροής. Οι λωρίδες αυτές έχουν εκάστη πλάτος 100 m εκτός της πρώτης η οποία ορίζεται εφ' ενός μεν από την προς το μέρος της λωρίδας οριογραμμή καταλήψεως εδάφους δια την οδόν αφ' ετέρου δε από τον πρώτον παράλληλων προς τον άξονα της οδού, ίχνος, το αγόμενο εις απόσταση απ' αυτού ίση προς τα 100 m προσαυξημένα κατά το, ήμισυ του, ως ορίζεται εις την παράγραφο 4 του παρόντος άρθρου, μέσου πλάτους της οδού. Τα πλάτη των λωρίδων μετρούνται πάντοτε κατά την κάθετο επί την εφαπτομένη του άξονα της οδού εις έκαστον σημείον τούτου. Εις την κάθετο ταύτη περατώνονται και τα τμήματα των λωρίδων τα αντιστοιχούντα εις τα κατά την παράγραφο 4 τμήματα της οδού. Εις την συμβολή εθνικών οδών, οι λωρίδες περιορίζονται μέχρι της γραμμής συμμετρίας της αγομένης μεταξύ των αξόνων των δύο οδών. Εάν η μία εκ των οδών έχει κατασκευασθεί προ της ισχύος του παρόντος, δεν έχει εφαρμογήν το προηγούμενον εδάφιον αλλά οι δια την νέα οδόν λωρίδες επιρροής εκτείνονται μέχρι της οριογραμμής καταλήψεως της παλαιάς οδού. Επί οδού κατασκευαζόμενης ίνα συναντήσει ετέρα οδόν δι' ην εγένετο πρότερον η κατά τις διατάξεις του παρόντος επιβάρυνσις των παρόδιων, οι δια την νέα οδόν λωρίδες περατώνονται εις την ακραία λωρίδα επιρροής της παλαιάς οδού. Επίσης οι λωρίδες περατώνονται εις τα όρια περιοχής εγκεκριμένου σχεδίου πόλεως.
3. Τα ποσοστά επιβαρύνσεως των κατά τη προηγούμενη παράγραφο οριζομένων λωρίδων επιρροής ορίζονται εις μονάδας επί τοις χιλίοις 105 δια τις δύο εγγύτατες προς την οδόν και εκατέρωθεν ταύτης λωρίδας και εν συνεχεία δια τις επόμενες λωρίδας από της δευτέρας μέχρι της δεκάτης τοιαύτης εις 86, 73, 60, 50, 40, 32, 24, 18 και 12 αντιστοίχως.
4. Προς εφαρμογήν των διατάξεων του παρόντος η οδός βάσει της μελέτης ή προμελέτης ταύτης, διαχωρίζεται δι' αποφάσεως του Υπουργού Δημοσίων Έργων εις κατά μήκος του άξονος ταύτης τμήματα. Δύναται να ορισθεί και η όλη οδός ως εν και μόνον τμήμα. Δια της αυτής αποφάσεως καθορίζεται επίσης και το μέσον πλάτος καταλήψεως της οδού, κατά τμήματα ή και ενιαίως. Η δαπάνη αποκτήσεως του δι' έκαστον των τμημάτων τούτων εδάφους, περιλαμβανομένου τόσον του πλάτους των 30 m όσον και του τυχόν υπέρ τα 80 m πλάτους αυτών διαιρείται δια του εμβαδού του δια το τμήμα τούτο συνολικώς προσκτώμενου εδάφους και ο προκύπτων αριθμός αποτελεί την μέση ανά m2 δαπάνη αποκτήσεως του εδάφους, του υπ' όψει τμήματος. Ως δαπάνη νοείται η δαπάνη απαλλοτριώσεως ή άλλως πως προσκτήσεως ολοκλήρου της δια την διάνοιξη ή διαπλάτυνση της οδού ζώνης περιλαμβανομένων και των τυχών παραπλεύρων οδών εξυπηρετήσεως (SERVICE ROADS) ως και των εκτάκτων δια τις εξυπηρετικές των οδών εγκαταστάσεις. Εις την κατά τα ανωτέρω δαπάνη δεν περιλαμβάνεται η δαπάνη των τυχόν επί του εδάφους φυτειών, κτισμάτων ή οιωνδήποτε ετέρων κατά τις διατάξεις των άρθρων 953 και επόμενα του Αστικού Κώδικα συστατικών του πράγματος, η οποία βαρύνει το Δημόσιον.
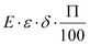
5. Οι κύριοι ή συγκύριοι ακινήτου ή τμήματος αυτού, κειμένου εντός εκάστης των κατά την παράγραφο 2 λωρίδων επιρροής βαρύνονται με ποσόν δραχμών προκύπτον βάσει του τύπου:

όπου:
Ε, Είναι εις m2 το εμβαδόν του εντός εκάστης λωρίδας επιρροής, τμήματος του ακινήτου των. Δι' ακίνητα αποκτώντα πρόσωπον επί της οδού και ως εκ τούτου υπαγόμενα εις το άρθρο 1 του παρόντος, αφαιρείται το εμβαδόν το ληφθέν υπ' όψει προς προσδιορισμό της κατά το εν λόγω άρθρο 1 υποχρεώσεως του ακινήτου. Εάν το κατά το άρθρο 1 ληφθέν υπ' όψει εμβαδόν είναι μείζον του Ε του αντιστοιχούντος εις την πρώτην λωρίδα επιρροής, το υπόλοιπον μεταφέρεται εις την δευτέρα και ούτω καθ' εξής πάντως η κατά το άρθρο 1 επιβάρυνσις δεν δύναται να μειωθεί ένεκα της επιβαρύνσεως του παρόντος άρθρου.
ε, Είναι τα κατά την παράγραφο 3 του παρόντος άρθρου εις χιλιοστά εκπεφρασμένα ποσοστά επιβαρύνσεως εκάστης λωρίδας επιρροής.
δ, Είναι η κατά τη προηγούμενη παράγραφο μέση ανά m2 δαπάνη αποκτήσεως του εδάφους του αντιστοίχου τμήματος της οδού εις δραχμάς και
Π, είναι αριθμός ίσος προς το εις μέτρα ή και κλάσμα τούτων κατά την παράγραφο 4 του παρόντος μέσον πλάτος της οδού δια το υπ' όψει τμήμα, μη δυνάμενος όμως να υπερβεί τον αριθμό 80.
6. Της κατά το παρόν άρθρο και το άρθρο 1 του παρόντος νόμου επιβαρύνσεως απαλλάσσονται τα κατά την τελευταία πενταετία υπό γεωργική εκμετάλλευση ακίνητα ή τμήματα τούτων. Ο τρόπος προσδιορισμού των ακινήτων τούτων και πάσα λεπτομέρεια αναγόμενη εις την έννοια της γεωργικής εκμεταλλεύσεως και την διαπίστωσιν ταύτης κανονίζεται δια Προεδρικών Διαταγμάτων εκδιδομένων με πρόταση των Υπουργών Γεωργίας και Δημοσίων Έργων. Η απαλλαγή αίρεται εάν εντός πενταετίας από της διανοίξεως της οδού μεταβληθεί καθ' οιονδήποτε τρόπον ή χρήσις του ακινήτου από γεωργικής εις ετέρα τοιαύτη.
ΣΗΜΕΙΩΣΗ: Η παράγραφος 6 τίθεται όπως τροποποιήθηκε με την παράγραφο 4 του άρθρου 9 του νόμου 960/1979 (ΦΕΚ 194/Α/1979).
|
ΣΗΜΕΙΩΣΗ: Η παράγραφος 6 καταργήθηκε το εδάφιο δ' της παραγράφου 14 του άρθρου 6 του νόμου 2052/1992 (ΦΕΚ 94/Α/1992).
|
7. Η κατά τις διατάξεις του παρόντος άρθρου επιβάρυνσις των ακινήτων βεβαιώνεται εις το Δημόσιον Ταμείον και εισπράττεται ως δημόσιον έσοδον αποδιδόμενο εις το Ταμείο Εθνικής Οδοποιίας. Ο τρόπος και η διαδικασία βεβαιώσεως της επιβαρύνσεως, ως και πάσα αναγκαία λεπτομέρεια κανονίζεται δια προεδρικών διαταγμάτων εκδιδομένων με πρόταση του Υπουργού Δημοσίων Έργων. Οι παράγραφοι 4 και 6 του προηγουμένου άρθρου εφαρμόζονται αναλόγως και δια την επιβάρυνση του παρόντος άρθρου.