| Συνδεθείτε στην Υπηρεσία Νομοσκόπιο | | | | | Νέοι χρήστες | | Εάν είστε νέος χρήστης, θα πρέπει να δημιουργήσετε ένα ΔΩΡΕΑΝ λογαριασμό προκειμένου να φύγει το παράθυρο αυτό και να αποκτήσετε πλήρη πρόσβαση στην υπηρεσία Νομοσκόπιο. | | Δημιουργία νέου λογαριασμού | | |
1. Η μεγίστη καλυπτόμενη υπό κτιρίου επιφάνεια οικοπέδου τινός ισούται προς την εις τις επόμενες παραγράφους 2 έως και 10 οριζόμενη τοιαύτη σε συνδυασμό πάντοτε προς τα στο άρθρο 18 του παρόντος ειδικότερα καθοριζόμενα.
2. Η μεγίστη καλυπτόμενη υπό κτιρίου επιφάνεια (Κ) μεσαίου οικοπέδου ισούται προς τα 0,70 της όλης επιφανείας (Ε) του οικοπέδου:

3. Η μεγίστη καλυπτόμενη υπό κτιρίου επιφάνεια γωνιαίου οικοπέδου ισούται προς το 0,80 της όλης επιφάνειας αυτού εφ' όσον αυτή δεν υπερβαίνει τα 200 m2:

4. Η μεγίστη καλυπτόμενη υπό κτιρίου επιφάνεια γωνιαίου οικοπέδου συνολικής επιφανείας μεγαλύτερης των 200 m2 ισούται προς το άθροισμα των 0,80 των 200 m2 και των 0,70 της πέραν των 200 m2 υπολοίπου επιφανείας του οικοπέδου:

5. Η μεγίστη καλυπτόμενη υπό κτιρίου επιφάνεια δις, τρις, ..., ν φορές γωνιαίου οικοπέδου ισούται προς το άθροισμα των 0,80 * 200 δι' εκάστην γωνία και των 0,70 της υπολοίπου επιφανείας του οικοπέδου:

6. Η μεγίστη καλυπτόμενη υπό του κτιρίου επιφάνεια μεσαίου διαμπερούς οικοπέδου υπολογίζεται βάσει της παραγράφου 2.
Εις περίπτωσιν καθ' ην το διαμπερές οικόπεδον τυγχάνει και γωνιαίο ή δις γωνιαίο κ.λ.π. η καλυπτόμενη επιφάνεια υπολογίζεται βάσει μιας των διατάξεων των παραγράφων 3, 4 και 5.
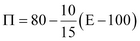
7. Η μεγίστη καλυπτόμενη επιφάνεια οικοπέδου επιφανείας μικροτέρας των 100 m2 ισούται προς τα 0,80 της όλης επιφανείας αυτού, προκειμένου περί μεσαίου οικοπέδου και προς τα 0,85 της όλης επιφανείας αυτού, προκειμένου περί γωνιαίου οικοπέδου. Εις αμφοτέρας τις περιπτώσεις αυτές η μεγίστη καλυπτόμενη επιφάνεια του οικοπέδου δύναται να μη υπολείπεται των 50 m2 υπό τον όρον τηρήσεως της ελαχίστης αποστάσεως του 1,00 m της οπίσθιας όψεως του κτιρίου και του έναντι ταύτης ορίου του οικοπέδου. Το ποσοστόν καλύψεως μεσαίου οικοπέδου επιφανείας μεγαλύτερες των 100 m και μέχρι 115 m2 υπολογίζεται υπό της σχέσεως:

ένθα Ε η επιφάνεια του θεωρούμενου οικοπέδου.
Το ποσοστό καλύψεως γωνιαίου οικοπέδου επιφανείας μεγαλύτερες των 100 m2 και μέχρι και 106 m2 υπολογίζεται υπό της σχέσεως:

ένθα Ε η επιφάνεια του θεωρουμένου οικοπέδου.
8. Κατά την έγκριση νέων ρυμοτομικών σχεδίων ή επεκτάσεων υφισταμένων σχεδίων, δεν επιτρέπεται η θέσπισις ποσοστού καλύψεως μεγαλυτέρου του δια του παρόντος άρθρου καθοριζομένου, τα δε κατά τις παραγράφους 2, 3, 4 και 5 ποσοστά καλύψεως είναι τα ανώτατα όρια της παρεκκλίσεως όταν δια του κανόνος καθορίζονται μικρότερα τούτων.
9. Ειδικές διατάξεις που καθορίζουν αμέσως ή εμμέσως εις οιανδήποτε περιοχήν του συνεχούς συστήματος ποσοστά καλύψεως μικρότερα των δια του παρόντος καθοριζομένων εξακολουθούν να ισχύουν.
Ειδικές διατάξεις που καθορίζουν αμέσως ή εμμέσως εις οιανδήποτε περιοχήν του συνεχούς συστήματος ποσοστά καλύψεως μεγαλύτερα των δια του παρόντος καθοριζομένων παύουν να ισχύουν από της ισχύος του παρόντος.
10. Οσάκις κατά την έγκριση νέων σχεδίων ή επεκτάσεων υφισταμένων σχεδίων θεσπίζεται ποσοστόν καλύψεως Π κατά τον κανόνα ή την παρέκκλιση μικρότερο του ποσοστού 0,70, η καλυπτόμενη επιφάνεια Κ γωνιαίου οικοπέδου δίδεται υπό των σχέσεων:

και

και δια περίπτωσιν δις, τρις...ν γωνιαίου οικοπέδου:

Η καλυπτόμενη επιφάνεια διαμπερούς οικοπέδου δίδεται υπό της σχέσεως Κ=Π x Ε. Εις περίπτωσιν καθ' ην το διαμπερές οικόπεδον τυγχάνει και γωνιαίο ή δις γωνιαίο τυγχάνει και γωνιαίο ή δις γωνιαίο κ.λ.π. η καλυπτόμενη επιφάνεια υπολογίζεται βάσει των σχέσεων της παρούσης παραγράφου κατά περίπτωσιν.
Τα ανωτέρω ισχύουν και δια περιοχές περί ων το πρώτον εδάφιον της προηγουμένης παραγράφου 9.
11. Όταν κατά το πρόσωπον ή τα πρόσωπα του οικοπέδου κατασκευάζεται εξωτερική στοά επιτρέπεται αύξησις της καλύψεως του οικοπέδου κατ' επιφάνεια ίση το πολύ προς την επιφάνεια που καταλαμβάνεται υπό της στοάς, μόνον κατά το ισόγειο και κατά το υπόγειον του κτιρίου μη απαιτουμένης της εφαρμογής των σχετικών διατάξεων του άρθρου 18 του παρόντος κατά το ισόγειο του κτιρίου.
12. Οικόπεδα κείμενα εντός του εγκεκριμένου ρυμοτομικού σχεδίου δύνανται να οικοδομηθούν μέχρι βάθους 5 m από της γραμμής δομήσεως, ανεξαρτήτως ποσοστού καλύψεως μη εφαρμοζομένων των διατάξεων της παραγράφου 2 του άρθρου 18 του παρόντος εν τη περιπτώσει ταύτη.
Εις περίπτωσιν καθ' ην μετά τα ως άνω 5,00 m απομένει απόστασις από του οπισθίου ορίου του οικοπέδου, μικρότερα του 1,00 m, η επιφάνεια του ακαλύπτου τμήματος μετασχηματίζεται κατά την κρίσιν του ιδιοκτήτου εις τρόπον ώστε η απόστασις του κτιρίου από του οπισθίου ορίου να μην είναι μικρότερα του 1,00 επιτρεπομένης της επαφής του κτιρίου εν μέρει εις το όριον τούτο.