| Συνδεθείτε στην Υπηρεσία Νομοσκόπιο | | | | | Νέοι χρήστες | | Εάν είστε νέος χρήστης, θα πρέπει να δημιουργήσετε ένα ΔΩΡΕΑΝ λογαριασμό προκειμένου να φύγει το παράθυρο αυτό και να αποκτήσετε πλήρη πρόσβαση στην υπηρεσία Νομοσκόπιο. | | Δημιουργία νέου λογαριασμού | | |
1. Τηρουμένων των διατάξεων των άρθρων 45 και 46 του παρόντος, οι ελάχιστες αποστάσεις μεταξύ των κτιρίων ορίζονται ως κατωτέρω:
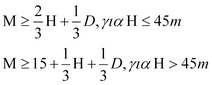
Το μήκος Μ της ευθείας της αγομένης καθέτως επί το επίπεδον του εξεταζομένου ανοίγματος και εις την θέσιν του ανοίγματος μέχρι της συναντήσεως της προσόψεως ετέρου κτιρίου δίδεται υπό της σχέσεως:

ένθα Η το ύψος του χαμηλότερου μεταξύ των δύο κτιρίων και D το μήκος της ορθής προβολής της κατόψεως του αντικειμένου κτιρίου επί της εφ' ου το εξεταζόμενο άνοιγμα όψεως. Η διάστασις αυτή όταν υπερβαίνει τα 45 m λαμβάνεται ίση με 45 m.
Εις περίπτωσιν κεκλιμένου εδάφους ως Η λαμβάνεται το μικρότερο εκ των υψών των δύο κτιρίων υπεράνω της στάθμης του δαπέδου του ισογείου του εις υψηλότερη θέσιν κειμένου κτιρίου.
2. Τηρουμένων των διατάξεων των άρθρων 45 και 46 εφ' όσον η κατά την προηγούμενη παράγραφο 1 του παρόντος άρθρου κάθετος δεν συναντά την πρόσοψη ετέρου κτιρίου εν ουδεμιά περιπτώσει η απόστασις μεταξύ δύο κτιρίων δύναται να είναι μικροτέρα των 2/3 x Η ένθα Η το ύψος του χαμηλότερου μεταξύ των δύο κτιρίων.
3. Εις περίπτωσιν καθ' ην επί των εξεταζομένων προσόψεων των κτιρίων κατασκευάζονται εξώστες ανοικτοί ή κλειστοί οι ως άνω κατά τις παραγράφους 1 και 2 του παρόντος άρθρου αποστάσεις μετρούνται από των εξωστών.