Νομικό Συμβούλιο του Κράτους 756/01

ΝΣΚ 756/2001


Συνδεθείτε στην Υπηρεσία Νομοσκόπιο
Είσοδος στην υπηρεσία Νομοσκόπιο.
   
Χρήστης
Κωδικός
  Υπενθύμιση στοιχείων λογαριασμού
   
 
Νέοι χρήστες
Εάν είστε νέος χρήστης, θα πρέπει να δημιουργήσετε ένα ΔΩΡΕΑΝ λογαριασμό προκειμένου να φύγει το παράθυρο αυτό και να αποκτήσετε πλήρη πρόσβαση στην υπηρεσία Νομοσκόπιο.
Δημιουργία νέου λογαριασμού

 

 

Νομικό Συμβούλιο του Κράτους 756/2001 (19-12-2001)

 

Αριθμός ερωτήματος: ΚΒ / ΦΚAΡ1 / ΣΥ1 / 69350 / 27-11-2001 της Ειδικής Υπηρεσίας Δημοσίων Έργων - Αυτοκινητόδρομος - Πάτρα - Αθήνα - Θεσσαλονίκη - Εύζωνοι της Γενικής Γραμματείας Δημοσίων Έργων.

 

Περίληψη ερωτήματος: Ερωτάται αν, μετά τον περιορισμό του οικονομικού αντικειμένου μιας εργολαβικής σύμβασης από τον κύριο του έργου, για λόγους που δεν οφείλονται σε υπαιτιότητα του αναδόχου κατασκευής του έργου, πρέπει να επανακαθοριστεί το ποσοστό παρακράτησης από τους προωθούμενους προς εξόφληση λογαριασμούς, με βάση τη νέα κατάσταση, έτσι ώστε με την ολοκλήρωση της κατασκευής του έργου, να έχει συντελεσθεί και η απόσβεση της χορηγηθείσας προκαταβολής.

 

Επί του ερωτήματος αυτού το Α' Τμήμα του Νομικού Συμβουλίου του Κράτους γνωμοδότησε ως κατωτέρω:

 

I. α) Στο άρθρο 5 παράγραφος 9 του νόμου 1418/1984 (ΦΕΚ 23/Α/1984) όπως ισχύει μετά την τροποποίησή του με το άρθρο 2 παράγραφος 7 του νόμου 2229/1994 (ΦΕΚ 138/Α/1994) αναγράφεται ότι:

 

{Αν προβλέπεται από τη διακήρυξη, χορηγείται στον ανάδοχο προκαταβολή μέχρι του 15% του ολικού ποσού της σύμβασης. Για το ποσό αυτό βαρύνεται ο ανάδοχος με τόκο.

 

Το ποσοστό του επιτοκίου καθορίζεται ειδικά με Πράξη του Υπουργικού Συμβουλίου. Η προκαταβολή καλύπτεται με εγγυητική επιστολή και η απόσβεσή της γίνεται τμηματικά.

 

Με προεδρικό διάταγμα ορίζεται ο σκοπός για τον οποίο δίνεται η προκαταβολή ή μέρος της, το ύψος της εγγυητικής επιστολής, ο τρόπος παρακολούθησης για τη χρησιμοποίηση της προκαταβολής, τα θέματα της τμηματικής απόσβεσης και τα θέματα της επιστροφής του τυχόν αναπόσβεστου μέρους της προκαταβολής μετά τη λύση ή λήξη της σύμβασης με οποιοδήποτε τρόπο και κάθε σχετική λεπτομέρεια. Η χορήγηση οποιασδήποτε προκαταβολής γίνεται μετά την εγκατάσταση εργοταξίου από τον ανάδοχο επιτόπου του έργου.}

 

β) Εξάλλου, στο άρθρο 39 του προεδρικού διατάγματος 609/1985 (ΦΕΚ 223/Α/1985) ορίζεται ότι:

 

{παράγραφος 1. Η έντοκη προκαταβολή που προβλέπεται από τη σύμβαση καταβάλλεται στον ανάδοχο ύστερα από αίτησή του στο σύνολο ή τμηματικά.

 

2. Η σύμβαση μπορεί να προβλέπει προκαταβολές:

 

α) Μέχρι 5% του αρχικού συμβατικού αντικειμένου για δαπάνες πρώτων εγκαταστάσεων, μελέτες και άλλα έξοδα εκκίνησης του έργου. Η προκαταβολή αυτή μπορεί να οριστεί μέχρι 10% στις περιπτώσεις έργων με σημαντικές μελέτες ή σημαντικές εγκαταστάσεις, προσκομίσεις μηχανικού εξοπλισμού και άλλες παρόμοιες περιπτώσεις μεγάλων αρχικών δαπανών,

 

β) Μέχρι 10% του αρχικού συμβατικού αντικειμένου για δαπάνες προμηθειών υλικών ή μηχανημάτων που εγκαθίστανται ή ενσωματώνονται στο έργο. Σε κάθε περίπτωση το άθροισμα των προβλεπόμενων προκαταβολών δεν μπορεί να είναι ανώτερο του 15% του αρχικού συμβατικού χρηματικού αντικειμένου.

 

3. Πα τη λήψη της προκαταβολής ή μέρους της, πρέπει απ' τον ανάδοχο να κατατεθεί εγγυητική επιστολή που να καλύπτει το ποσό της προκαταβολής αυξημένο με τους τόκους της υπολογισμένους για χρονικό διάστημα ίσο με το μισό της συνολικής προθεσμίας του έργου και με επιτόκιο αυτό που ορίζεται σύμφωνα με το άρθρο 5 παράγραφος 9 του νόμου 1418/1984.

 

Η εγγυητική επιστολή αποδεσμεύεται τμηματικά με την πρόοδο απόσβεσης της προκαταβολής.

 

4. Η απόσβεση της προκαταβολής γίνεται τμηματικά με παρακράτηση από κάθε πληρωμή προς τον ανάδοχο, μεταγενέστερη του χρόνου λήψης της προκαταβολής, εκατοστιαίου ποσοστού (Π %) που εφαρμόζεται στο ποσό της πληρωμής και προκύπτει από τη σχέση:

 

Eqn097

 

όπου: ρ είναι το ποσό της προκαταβολής σε δραχμές και

Σ, πάλι σε δραχμές το μέρος του συμβατικού ποσού που δεν έχει ακόμα πληρωθεί στον ανάδοχο κατά τη χορήγηση της προκαταβολής.

 

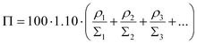
Αν διάφορα ποσά ρ1, ρ2, ρ3 κ.λ.π, χορηγηθούν ως τμηματική παροχή της προκαταβολής τότε το ποσοστό παρακράτησης προκύπτει από τη σχέση:

 

Eqn098

 

όπου Σ1, Σ2, Σ3 κ.λ.π. είναι τα αντίστοιχα με το Σ ποσά όταν χορηγήθηκαν τμηματικά οι προκαταβολές ρ1, ρ2 κ.λ.π.

 

5. Μαζί με την παρακράτηση για τμηματική απόσβεση της προκαταβολής γίνεται και παρακράτηση των δε δουλεμένων τόκων στο μέχρι τότε αναπόσβεστο μέρος της προκαταβολής. Οι τόκοι υπολογίζονται μέχρι την ημερομηνία υποβολής του σχετικού λογαριασμού για ακέραιο αριθμό μηνών. Κλάσμα μήνα, θεωρείται ως ακέραιος μήνας.

 

6. Η προκαταβολή απαγορεύεται να χρησιμοποιηθεί για δαπάνες που δεν σχετίζονται άμεσα ή έμμεσα με το έργο. Στην περίπτωση α της παραγράφου 2 ο ανάδοχος υποχρεούται να δίνει στην υπηρεσία στο τέλος κάθε μήνα συνοπτική κατάσταση για τις καταβολές που έχει πραγματοποιήσει σε βάρος της προκαταβολής και το υπόλοιπο της με ένδειξη του τραπεζικού λογαριασμού στον οποίο είναι κατατεθειμένο.

 

7. Η προκαταβολή της περίπτωσης β' της παραγράφου 2 του άρθρου αυτού κατατίθεται υποχρεωτικά σε δεσμευμένο τραπεζικό λογαριασμό και χρησιμοποιείται μόνο για την πληρωμή της προμήθειας των υλικών ή μηχανημάτων, για τα οποία έχει χορηγηθεί και για τα οποία έχουν κατατεθεί πριν απ' τη χορήγησή της σχετικά προτιμολόγια. Οι πληρωμές απ' το δεσμευμένο αυτό λογαριασμό γίνονται με επιταγές του αναδόχου θεωρημένες από την Διευθύνουσα υπηρεσία, Η θεώρηση των επιταγών γίνεται με βάση τα προσκομιζόμενα οριστικά τιμολόγια ή άλλα έγγραφα και αποδεικτικά στοιχεία δαπανών (φορτωτικές, εκκαθαρίσεις δασμών κ.λ.π.), ή για την επιστροφή της προκαταβολής ή μέρους της που δεν χρησιμοποιήθηκε. Η σύμβαση μπορεί να ορίζει στην περίπτωση της προκαταβολής αυτής και άλλους συμπληρωματικούς όρους για την παρακολούθηση της διάθεσης των υλικών και μηχανημάτων που αγοράστηκαν μ' αυτή.

 

8. Ο ανάδοχος μπορεί πάντα να ζητήσει ταχύτερη απόσβεση της προκαταβολής από αυτή που προβλέπεται στην παράγραφο 4 του άρθρου αυτού.

 

Εάν η σύμβαση διαλυθεί με υπαιτιότητα του αναδόχου το τυχόν αναπόσβεστο μέρος της προκαταβολής πρέπει να επιστραφεί το αργότερο σε τρεις μήνες από τη διάλυση της σύμβασης. Μετά την προθεσμία αυτή στο αναπόσβεστο μέρος της προκαταβολής οφείλεται ο νόμιμος τόκος υπερημερίας αντί του ειδικού τόκου που ορίζεται σύμφωνα με το άρθρο 5 παράγραφος 9 του νόμου 1418/1984. Αν η σύμβαση διαλυθεί ή περιοριστεί με υπαιτιότητα του εργοδότη, το τυχόν αναπόσβεστο μέρος της προκαταβολής που δεν συμψηφίζεται προς εκκαθαρισμένες απαιτήσεις του αναδόχου κατά του κυρίου του έργου επιστρέφεται μέσα σε έξι μήνες από τη διάλυση ή τη λήξη των λοιπών εργασιών στην περίπτωση περιορισμού του έργου. Κατά το εξάμηνο αυτό διάστημα δεν υπολογίζεται τόκος στο αναπόσβεστο μέρος της προκαταβολής, μετά την παρέλευσή του όμως, οφείλεται στην περίπτωση αυτή ο νόμιμος τόκος υπερημερίας.}

 

Περαιτέρω, στο άρθρο 8 παράγραφος 3 του νόμου 1418/1984 αναφέρεται ότι:

 

{Σε κάθε περίπτωση οι εργασίες της εργολαβίας μπορεί να μειωθούν χωρίς καμία αποζημίωση του αναδόχου σε έκταση που δεν μπορεί να υπερβαίνει το ένα τέταρτο του συνολικού συμβατικού ποσού. Σε περίπτωση μεγαλύτερης μείωσης των εργασιών εφαρμόζονται οι διατάξεις των παραγράφων 1 και 3 του άρθρου 9.}

 

Τέλος, στο άρθρο 40 του προαναφερθέντος προεδρικού διατάγματος 609/1985 αναλύεται ο τρόπος των πιστοποιήσεων και των πληρωμών στη διάρκεια κατασκευής του έργου και στην παράγραφο 9 αναφέρεται ότι:

 

{... Μετά τη διενέργεια της οριστικής παραλαβής και την έγκριση του πρωτοκόλλου ο ανάδοχος συντάσσει και υποβάλλει τελικό λογαριασμό ... Με τον τελικό λογαριασμό γίνεται εκκαθάριση του εργολαβικού ανταλλάγματος και όλων των αμοιβαίων απαιτήσεων που έχουν σχέση με την εκτέλεση της σύμβασης.}

 

II. α) Από τις προπαρατεθείσες διατάξεις προκύπτουν - μεταξύ των άλλων - και τα παρακάτω:

 

1) Η προκαταβολή χορηγείται για συγκεκριμένους λόγους και είναι έντοκη.

 

2) Η απόσβεση της γίνεται τμηματικά με παρακράτηση του προκύπτοντος, κατ' εφαρμογή του αναφερόμενου στην παράγραφο 4 του άρθρου 39 του προεδρικού διατάγματος 609/1985 μαθηματικού τύπου, ποσοστού από κάθε πληρωμή που γίνεται στον ανάδοχο μεταγενέστερη του χρόνου λήψης της προκαταβολής, έτσι ώστε, αν επαληθευθούν απόλυτα οι προβλέψεις της σύμβασης, με την εξόφληση του τελικού λογαριασμού να επέλθει και η απόσβεση της προκαταβολής.

 

3) Η δυνατότητα της ταχύτερης απόσβεσης της προκαταβολής ανήκει στον ανάδοχο.

 

β) Πρόβλημα ανακύπτει στην περίπτωση διαφοροποίησης των οικονομικών μεγεθών της εργολαβίας εντός των ορίων και υπό τις προϋποθέσεις του ανωτέρω άρθρου 8 του νόμου 1418/1984 (όπως ισχύει) ή περιορισμού του οικονομικού αντικειμένου σε ποσοστό ανώτερο του αναφερόμενου στην παράγραφο 3 του άνω άρθρου.

 

Λαμβανομένου υπόψη ότι το συνολικό ποσό της προκαταβολής είναι ποσοστό του αρχικού ποσού της σύμβασης και δεν ακολουθεί τις διακυμάνσεις του οικονομικού αντικειμένου της στη διάρκεια κατασκευής του έργου, για να αποσβεστεί η προκαταβολή με την εξόφληση του τελικού λογαριασμού, πρέπει κάθε φορά που διαφοροποιείται το οικονομικό αντικείμενο της σύμβασης, να μεταβάλλεται και το κατά την παράγραφο 4 του άρθρου 39 του προεδρικού διατάγματος 609/1985 προκύψαν ποσοστό παρακράτησης. Έτσι, αν έχουμε αύξηση του οικονομικού αντικειμένου (της σύμβασης) θα έχουμε μείωση του ποσοστού παρακράτησης, ενώ, αν έχουμε μείωση του οικονομικού αντικειμένου (της σύμβασης) θα έχουμε αύξηση του ποσοστού παρακράτησης. Με τον τρόπο όμως αυτό δεν υπάρχει σταθερότητα ως προς την οριστικοποίηση του ποσοστού παρακράτησης ή βεβαιότητα ως προς την ομαλή - κατά την άνω παράγραφο 4 - απόσβεση της προκαταβολής, αφού η σύμβαση μπορεί να διαλυθεί με υπαιτιότητα του αναδόχου ή πρωτοβουλία του κυρίου του έργου ή να περιορισθεί το οικονομικό της αντικείμενο με πρωτοβουλία του κυρίου του έργου και μάλιστα σε ποσοστό τέτοιο, που το απομένον αντικείμενο (όπως περιορίσθηκε) να μην επαρκεί για την εξόφληση της προκαταβολής, και οι, διαρκούσης της σύμβασης, διαφοροποιήσεις του ποσοστού παρακράτησης από τους οικείους λογαριασμούς, θα προκαλέσουν συνεχή αναστάτωση στην πορεία της εργολαβίας, χωρίς να υπάρχει η εγγύηση ότι θα έχουμε ομαλή απόσβεση της προκαταβολής.

 

γ) Για τούτο πρέπει το προκύψαν ποσοστό παρακράτησης για την απόσβεση της προκαταβολής κατ' εφαρμογή του υπό του άρθρου 39 παράγραφος 4 του προεδρικού διατάγματος 609/1985 προβλεπόμενου μαθηματικού τύπου να παραμένει σταθερό, ανεξάρτητα από τις διαφοροποιήσεις του οικονομικού αντικειμένου της σύμβασης στη διάρκεια της κατασκευής του έργου και η οριστική οικονομική εκκαθάριση της εργολαβίας να γίνεται με την έκδοση του τελικού λογαριασμού σύμφωνα με το άρθρο 40 παράγραφος 9 του προεδρικού διατάγματος 609/1985. αφού όμως προηγουμένως ο ανάδοχος επιστρέψει στον κύριο του έργου το αναπόσβεστο μέρος της προκαταβολής, εντός της οριζόμενης στο τρίτο εδάφιο της παραγράφου 9 του άρθρου 39 του προεδρικού διατάγματος 609/1985 προθεσμίας, δηλαδή μέσα σε έξι μήνες από τη λήξη των εργασιών της σύμβασης. Άλλως, ο κύριος του έργου δικαιούται να προβεί σε κατάπτωση των κατά την παράγραφο 3 του αυτού άρθρου 39 κατατεθειμένων εγγυητικών επιστολών, ενώ, μετά την τυχόν άπρακτη πάροδο της πιο πάνω προθεσμίας οφείλεται ο νόμιμος τόκος υπερημερίας κατά τα διαλαμβανόμενα στο τελευταίο εδάφιο της παραγράφου 9 του πιο πάνω άρθρου 39 του προεδρικού διατάγματος 609/1985.

 

III. Από το αναφερόμενο στο ερώτημα ιστορικό προκύπτει ότι το Δημόσιο ανέθεσε σε Κοινοπραξία εργοληπτικών επιχειρήσεων την κατασκευή του έργου Κατασκευή αυτοκινητοδρόμου με τα συνοδό του έργα στο τμήμα Άγιοι Θεόδωροι - Αλμυρός, από χιλιομετρική θέση 261+350 έως χιλιομετρική θέση 287+507 έναντι συνολικού συμβατικού ποσού 14.713.719.030 δραχμές.

 

Στην ανάδοχο Κοινοπραξία χορηγήθηκε προκαταβολή συνολικού ποσού 1.711.689.923 δραχμές που αντιστοιχεί στο 15% του ποσού της σύμβασης. Η απόσβεση της προκαταβολής προσδιορίσθηκε κατ' εφαρμογή του υπό του άρθρου 39 παράγραφος 4 του προεδρικού διατάγματος 609/1985 προβλεπόμενου τύπου σε 16,47% επί των εκάστοτε πληρωμών του έργου.

 

Λόγω προβλημάτων εξαιτίας αρχαιολογικών ανασκαφών, για τα οποία προφανώς δε φέρει ευθύνη η Ανάδοχος, το οικονομικό αντικείμενο της σύμβασης περιορίσθηκε με απόφαση του κυρίου του έργου σε 7.204.000.000 δραχμές.

 

Κατόπιν, τούτου αν συνεχισθεί ο ίδιος ρυθμός παρακράτησης (16,47%) δε θα αποσβεστεί η χορηγηθείσα προκαταβολή, αφού οι υπολειπόμενες εγκεκριμένες εργασίες ανέρχονται σε 570.817.930 δραχμές συνολικά και το αναπόσβεστο μέρος της προκαταβολής σε 803.733.673 δραχμές. Κατά συνέπεια, ενόψει των προαναφερθέντων, (ιδία παράγραφος ΙΙ)β), κατά την ομόφωνη γνώμη του Τμήματος, η προσήκουσα απάντηση το τεθέν ερώτημα είναι ότι σε περίπτωση περιορισμού του οικονομικού αντικειμένου μιας εργολαβικής σύμβασης με απόφαση του κυρίου του έργου, για λόγους που δεν οφείλονται σε υπαιτιότητα του αναδόχου, το ποσοστό παρακράτησης για την απόσβεση των χορηγηθεισών (από τον κύριο του έργου) προκαταβολών από τους προωθούμενους προς εξόφληση λογαριασμούς, παραμένει σταθερό, όπως προσδιορίσθηκε σύμφωνα με το άρθρο 39 παράγραφος 4 του προεδρικού διατάγματος 609/1985 της σύμβασης, άλλως ο κύριος του έργου δικαιούται να προβεί σε κατάπτωση των κατά την παράγραφο 3 του ίδιου άρθρου κατατεθειμένων εγγυητικών επιστολών, ενώ, μετά την τυχόν άπρακτη πάροδο της πιο πάνω προθεσμίας, οφείλεται ο νόμιμος τόκος υπερημερίας.

 

Θεωρήθηκε

 

Αθήνα 30-12-2001

 

Ο Εισηγητής

 



Copyright © 2017 TechnoLogismiki. Με την επιφύλαξη παντός δικαιώματος.