| Συνδεθείτε στην Υπηρεσία Νομοσκόπιο | | | | | Νέοι χρήστες | | Εάν είστε νέος χρήστης, θα πρέπει να δημιουργήσετε ένα ΔΩΡΕΑΝ λογαριασμό προκειμένου να φύγει το παράθυρο αυτό και να αποκτήσετε πλήρη πρόσβαση στην υπηρεσία Νομοσκόπιο. | | Δημιουργία νέου λογαριασμού | | |
1. Εισαγωγή
Η ροή σε ανοικτούς αγωγούς είναι πλέον σύνθετη από τη ροή σε κλειστούς αγωγούς με πληρότητα 100%, επειδή η επιφάνεια του νερού προσδιορίζει την κινηματική μηχανική. Επιπροσθέτως, όταν τα όρια του πυθμένα είναι μετακινούμενα (αλλουβιακά τοιχώματα) μια ακόμη συνθετότητα εισάγεται. Όταν η τάφρος είναι μετακινούμενη, η αντίσταση στη ροή αποτελεί μια λειτουργία της ροής. Στο παρόν κεφάλαιο περιγράφονται οι βασικές απόψεις σχεδιασμού και οι εξισώσεις για τις απλούστερες συνθήκες ροής (σταθερή, ομοιόμορφη ροή), καθώς επίσης οι συνθήκες που συμβαίνουν σε μια αλλουβιακή τάφρο. Η μονοδιάστατη μέθοδος χρησιμοποιείται εδώ στην περιγραφή των εξισώσεων.
2. Ροή Αλλουβιακών Τάφρων
2.1. Αλλουβιακές τάφροι
Αυτές οι τάφροι σχηματίζονται σε εδαφικά υλικά τα οποία έχουν μετακινηθεί ή μπορεί να μετακινηθούν από τη ροή. Συνήθως η κοίτη της τάφρου προέρχεται από υλικά μεγέθους άμμου, χαλικιών, καθώς και κροκάλων. Η σημασία αυτών των υλικών είναι ουσιαστική επειδή αυτά είναι τα πλέον συχνά συναντώμενα και επηρεάζουν το μέγεθος της αντίστασης στη ροή και στη διάβρωση. Τάφροι και οχετοί από σκυρόδεμα μπορεί να έχουν τοιχώματα αλλουβιακά λόγω αποθέσεων στην κοίτη τους.
2.2. Τάφροι με αμμώδη κοίτη
Τα υλικά που επικρατούν σε ρέματα με αμμώδη κοίτη κυμαίνονται μεταξύ χονδρόκοκκης ιλύος έως άμμου. Μπορεί να είναι υλικά λεπτόκοκκα ή χονδρόκοκκα στην κοίτη αλλά το επικρατέστερο μέγεθος θα είναι άμμος (50% ή και περισσότερο). Σε τάφρους αμμώδους κοίτης επιφέρεται εύκολα η διάβρωση ενώ συμβαίνει συνεχής μετακίνηση και αλλαγή του σχήματος από τη ροή. Η διάδραση μεταξύ της ροής από νερό με περιεκτικότητα σε φερτά και της αμμώδους κοίτης δημιουργεί διάφορους σχηματισμούς από κοίτες οι οποίες μεταβάλλουν την αντίσταση στη ροή, την ταχύτητα και τη στάθμη της επιφάνειας του νερού, καθώς και τις ποσότητες των μεταφερόμενων φερτών. Κατά συνέπεια, είναι απαραίτητο να κατανοηθεί ο μηχανισμός σχηματισμού κοιτών έτσι ώστε να μπορεί να εκτιμηθεί η αντίσταση στη ροή αλλά και τα στάδια πλημμύρας, τα βάθη ροής, καθώς και να υπολογισθεί η μηκοτομή της επιφάνειας του νερού, προκειμένου να γίνει ο σχεδιασμός (διαστασιολόγηση κ.τ.λ.) των τάφρων αποχέτευσης.
2.3. Δίαιτας ροής
Η ροή σε αλλουβιακές τάφρους υποδιαιρείται σε δυο χαρακτηριστικές δίαιτες που διαχωρίζονται από μια μεταβατική ζώνη. Τύπος ανωμαλιών της κοίτης σε αμμώδεις τάφρους δείχνονται στο Σχήμα 4.2.3-1. Οι δίαιτες ροής διακρίνονται σε τρεις χαρακτηριστικές μορφές:
| • | Η δίαιτα αβαθούς ροής, όπου η αντίσταση στη ροή είναι μεγάλη και η μεταφορά φερτών μικρή. Ο σχηματισμός της κοίτης περιλαμβάνει κυματοειδείς επιφάνειες, ή αμμοθίνες, ή κάποιο συνδυασμό και των δυο. Ο κυματισμός της επιφάνειας του νερού δε συγχρονίζεται με το κυματισμό της επιφάνειας της κοίτης και υπάρχει μια σχετικά μεγάλη ζώνη διαχωρισμού στα κατάντη της ροής από τις υβώσεις της κοίτης. Η ταχύτητα της προς τα κατάντη μετακίνησης των κυματισμών της επιφάνειας της κοίτης ή των αποθέσεων αμμοθινών εξαρτάται από το ύψος αυτών και την ταχύτητα των μετακινούμενων κόκκων των υλικών πάνω από τις υβώσεις που αυτά τα ίδια σχηματίζουν. |
| • | Η μεταβατική ζώνη, όπου η μορφή της κοίτης μπορεί να κυμαίνεται, από εκείνη της τυπικής δίαιτας αβαθούς ροής έως εκείνη της δίαιτας της ροής με την ανώτατη στάθμη επιφάνειας νερού, σε συνάρτηση κυρίως με τις συνθήκες του προηγούμενου (ανάντη) τμήματος της τάφρου. Εάν ο σχηματισμός της κοίτης του προηγούμενου τμήματος αποτελείται από αμμοθίνες, το βάθος ή η κλίση μπορεί να αυξάνεται σε τιμές περισσότερο συγκείμενες με εκείνες της δίαιτας ροής με την ανώτατη στάθμη νερού χωρίς να επέρχεται μεταβολή του σχηματισμού της κοίτης, ή αντιστρόφως, αν η κοίτη στο προηγούμενο τμήμα είναι επίπεδη, το βάθος και η κλίση μπορεί να μειώνονται σε τιμές περισσότερο συγκείμενες με εκείνες της δίαιτας αβαθούς ροής χωρίς να μεταβάλλεται ο σχηματισμός της κοίτης. Η αντίσταση στη ροή και η μεταφορά φερτών επίσης παρουσιάζει την ίδια μεταβλητότητα όπως η μορφή της κοίτης στη μεταβατική ζώνη. Αυτό το φαινόμενο μπορεί να εξηγείται από τις μεταβολές της αντίστασης στη ροή και συνεπώς, τις μεταβολές στο βάθος και στην κλίση καθώς μεταβάλλεται η μορφή της κοίτης. |
| • | Η δίαιτα της ροής με ανώτατη στάθμη νερού, όπου η αντίσταση στη ροή είναι μικρή και ο μεταφερόμενος όγκος φερτών μεγάλος. Οι συνήθεις μορφές κοίτης είναι επίπεδες ή αντιαμμοθίνες. Ο κυματισμός της επιφάνειας του νερού παρακολουθεί στην ίδια φάση τον κυματισμό του πυθμένα, εκτός όταν μια αντιαμμοθίνα θραύεται και συνήθως το υγρό δεν αποχωρίζεται από τα τοιχώματα. |
Η αντίσταση ροής για διαφορετικές μορφές κοίτης και περισσότερο χονδρόκοκκα υλικά κοίτης δίνεται στα επόμενα. Για ενημέρωση επί της μεταφοράς φερτών και πρόσθετη πληροφόρηση για τις μορφές κοίτης ο αναγνώστης παραπέμπεται στο τεύχος Report No FHWA-HI-90-016.
Σε ροές με βάθος, τα περισσότερα ρέματα με αμμώδη κοίτη μεταπηδούν από μια κοίτη με αμμοθίνες σε μια μεταβατική κατάσταση ή σε μορφή επίπεδης κοίτης. Εάν η κλίση είναι μεγάλη μπορεί να συμβαίνει ροή με αντιαμμοθίνες. Τότε η αντίσταση στη ροή μειώνεται στο ήμισυ έως στο ένα τρίτο εκείνης της προηγούμενης αλλαγής της μορφής της κοίτης. Η αύξηση στην ταχύτητα και την αντίστοιχη μείωση στο βάθος μπορεί να αυξάνουν τη διάβρωση και τη φθορά γύρω από βάθρα γεφυρών, να αυξάνουν το απαιτούμενο μέγεθος λιθορριπών και να μειώνουν το απαιτούμενο μέγεθος της τάφρου. Εντούτοις, το μέγεθος της τάφρου μπορεί να πρέπει να αυξάνεται ώστε να περικλείει τα κύματα που συμβαίνουν όταν η ροή μεταβάλλεται σε ροή αντιαμμοθίνης.

Σχήμα 4.2.3-1: Μορφές ανωμαλιών κοίτης σε αμμώδεις τάφρους
2.4. Χονδρόκοκκα υλικά κοίτης
Σε αβαθή ροή, μπορεί τα χονδρόκοκκα αλλουβιακά υλικά να μη μετακινούνται, παρά μόνο όταν συμβαίνει μέση ή μεγάλη ροή. Με τη μετακίνηση των χονδρόκοκκων υλικών της κοίτης, μπορεί να σχηματίζονται μεγάλες ραβδώσεις στην κοίτη οι οποίες αποτελούν υπολείμματα σε αβαθή ροή. Αυτές οι ραβδώσεις μπορεί να αλλάζουν την κατεύθυνση της ροής και να προκαλούν διάβρωση στις όχθες, οπές από διάβρωση, καθώς και εμφράξεις των τάφρων. Η αντίσταση στη ροή από τα χονδρόκοκκα υλικά της κοίτης προκαλείται από την αδρότητα των κόκκων των υλικών και την απώλεια της μορφής της κοίτης από τις ραβδώσεις. Εντούτοις, τα χονδρόκοκκα υλικά της κοίτης σε αποχετευτικές τάφρους μπορεί να έχουν ένα ωφέλιμο αποτέλεσμα επειδή ελαττώνουν τη διάβρωση με τη θωράκιση της κοίτης που τα ίδια δημιουργούν. Ενημέρωση για τη θωράκιση μπορεί ο αναγνώστης να βρει στα τεύχη HEC-18, HEC-20 της FHWA.
3. Σταθερή Ομοιόμορφη Ροή
Σε σταθερή, ομοιόμορφη ροή ανοικτών αγωγών, δεν συμβαίνουν επιταχύνσεις, οι γραμμές του ρέματος είναι ευθύγραμμες και παράλληλες και η κατανομή της πίεσης είναι υδροστατική. Η κλίση της επιφάνειας του νερού SW, της επιφάνειας της κοίτης S0 και η κλίση της γραμμής ενέργειας Sf είναι ίσες (βλέπε Σχήμα 3.3.3-2). Οι συνθήκες που επικρατούν σ' αυτή τη ροή είναι οι απλούστερες ως προς την ανάλυσή τους. Η σταθερή ομοιόμορφη ροή είναι μια ιδανική περίπτωση για ροή σε ανοιχτούς αγωγούς και είναι δύσκολο να επιτευχθεί ακόμη και σε εργαστηριακές προσομοιώσεις. Για πολλές εφαρμογές, η ροή είναι βασικά σταθερή και οι μεταβολές στο πλάτος, το βάθος ή την κατεύθυνση (που προκύπτει από μη ομοιόμορφη ροή) είναι τόσο μικρές που μπορεί η ροή να θεωρείται ως ομοιόμορφη. Σε άλλες περιπτώσεις, οι μεταβολές συμβαίνουν σε τόσο μήκος της ροής όσο αυτή είναι βαθμιαία μεταβαλλόμενη ροή.
Το βάθος σε σταθερή ομοιόμορφη ροή ονομάζεται κανονικό βάθος και συμβολίζεται ως Υ0. Η ταχύτητα συμβολίζεται με V0. Άλλες μεταβλητές που ενδιαφέρουν για τη σταθερή ομοιόμορφη ροή είναι η παροχετευτικότητα Q, η κατανομή της ταχύτητας κατά την κατακόρυφη έννοια vy, η απώλεια ενέργειας HL, καθώς και η διατμητική τάση, τόσο τοπικά τόσο και στην κοίτη τ0. Όλες αυτές οι μεταβλητές συνδέονται με σχέσεις οι οποίες δίνονται στα επόμενα.
3.1. Εξίσωση Manning για μέση ταχύτητα
Το νερό ρέει σε μια κεκλιμένη αποχετευτική τάφρο λόγω βαρύτητας. Στη ροή προκαλείται αντίσταση από την τριβή μεταξύ του νερού και της βρεχόμενης επιφάνειας της τάφρου. Η ποσότητα του νερού που ρέει (Q), το βάθος της ροής (y), καθώς και η ταχύτητα της ροής (V) εξαρτώνται από το σχήμα της τάφρου, την τραχύτητα (n) και την κλίση S0. Μια χρήσιμη εξίσωση είναι αυτή που ονομάστηκε προς τιμή του Robert Manning, έναν Ιρλανδό μηχανικό.
(4.3.1-1)
όπου:
V (m/s): η μέση ταχύτητα
n (m-1/3 x s): ο συντελεστής τραχύτητας του Manning
R (m): η υδραυλική ακτίνα
S (m/m): η κλίση της ενέργειας (για σταθερή ομοιόμορφη ροή S=S0)
Ένας σύντομος κατάλογος συντελεστών τραχύτητας του Manning δίνεται στους Πίνακες 4.3.1-1 και 4.3.1-2.
Πίνακας 4.3.1-1: Τιμές συντελεστή τραχύτητας της εξίσωσης Manning σε τεχνητές εγκαταστάσεις αποχέτευσης
Έργο
|
Ιδιότητες τοιχωμάτων
|
Συντελεστής η (m-1/3 x s)
|
Ταπεινωμένη τάφρος νησίδας
|
α. Γαιώδη (χωρίς φυτική κάλυψη)
β. Γαιώδη (με φυτική κάλυψη)
γ. Χαλικόστρωτα
|
0,040
0,050
0,055
|
Επενδεδυμένες τάφροι (αποχέτευσης, συνέχειας, οφρύος, κ.τ.λ.), έγχυτοι ορθογωνικοί αγωγοί
|
Παλαιό σκυρόδεμα με καθαρές επιφάνειες
|
0,016
|
Αβαθείς Πλευρικές τάφροι επενδεδυμένες (τριγωνικές, τραπεζοειδείς), ρείθρα οδών
|
Παλαιό σκυρόδεμα, ασφαλτικό οδόστρωμα (επιφάνειες με κατακάθιση φερτών)
|
0,018
|
Αγωγοί με διαμόρφωση πυθμένα με κολυμβητούς λίθους σε σκυρόδεμα
|
Χονδρή λιθοδομή
|
0,020
|
Οχετοί υπεραστικών οδών και συλλεκτήρες αποχέτευσης ομβρίων αστικών περιοχών
|
Επιφάνεια σκυροδέματος:
| • | Για έλεγχο πληρότητας (ανώτατη στάθμη νερού) |
| • | Για έλεγχο μέγιστης ταχύτητας |
|
0,018
0,012
|
Τσιμεντοσωλήνες
|
Επιφάνεια παλαιού σκυροδέματος, καθαρές επιφάνειες
|
0,016
|
Ανεπένδυτες τάφροι σε έδαφος γαιοημιβραχώδες
|
Γαιοημιβραχώδης πυθμένας με αποθέσεις
Ανώμαλος βραχώδης πυθμένας
|
0,025
0,030
|
Ανεπένδυτες τάφροι σε βραχώδες έδαφος
|
|
|
Επενδεδυμένες τάφροι με συρματοκιβώτια ή με λιθορριπή (Rip - Rap)
|
Λίθοι με ομαλές επιφάνειες
|
0,025
|
Σωληνωτοί αγωγοί ακαθάρτων (για ροή λυμάτων με βαρύτητα)
|
α. Πλαστικοί
β. Αμιαντοτσιμεντοσωλήνες
γ. Τσιμεντοσωλήνες
|
0,014
0,015
0,016
|
Χαλυβδοσωλήνες Ελατός Χάλυβας
|
Γαλβανισμένες επιφάνειες
Μαύρες επιφάνειες
|
0,013 - 0,017
0,012 - 0,015
|
Ελατοί χυτοσιδηροί αγωγοί
|
Επενδεδυμένες επιφάνειες
Ανεπένδυτες επιφάνειες
|
0,011 - 0,014
0,012 - 0,016
|
Κύρια κοίτη χειμάρρων - ρεμάτων
|
Χόρτα - χαμηλή βλάστηση
|
0,025 - 0,060
|
Κοίτη πλημμύρας χειμάρρων
|
Βλάστηση και δένδρα
|
0,050 - 0,150
|
Πίνακας 4.3.1-2: Τιμές συντελεστή τραχύτητας Manning n σε φυσικά ρέματα
1. Άκαμπτα τοιχώματα
|
1.1 Επένδυση με εκτοξευμένο σκυρόδεμα, γαιώδη σε καλή κατάσταση
|
0,017
|
1.2 Ευθύγραμμες κοίτες γαιώδεις σε καλή κατάσταση
|
0,020
|
1.3 Ορεινά ρέματα με βραχώδη κοίτη
|
0,040-0,050
|
2. Μικρά ρέματα σε πεδιάδες (πλάτος πλημμυρικής επιφάνειας < 30 m)
|
2.1 Καθαρά, ευθύγραμμα, πλήρη, χωρίς ρήγματα ή σχηματιζόμενες λίμνες μικρού βάθους
|
0,025-0,033
|
2.2 Όπως (2.1), αλλά με περισσότερους λίθους και χόρτα
|
0,030-0,040
|
2.3 Καθαρά, ελικοειδή, με μερικές λίμνες και τέλματα
|
0,033-0,045
|
2.4 Όπως (2.3), αλλά με λίγα χόρτα και λίθους
|
0,035-0,050
|
2.5 Όπως (2.4), χαμηλότερη πληρότητα, περισσότερες μη ενεργές κλίσεις και τμήματα
|
0,040-0,055
|
2.6 Όπως (2.5), αλλά με περισσότερους λίθους
|
0,045-0,060
|
2.7 Βραδείας κίνησης, χορταριασμένα, βαθιές λίμνες
|
0,050-0,080
|
2.8 Πολύ χορταριασμένα, βαθιές λίμνες, ή πλημμυριζόμενης διαδρομής με πάρα πολλά εμπόδια από κλαδιά και θάμνους
|
0,075-0,150
|
3. Ορεινά ρέματα, χωρίς βλάστηση, όχθες απότομες, δένδρα και θάμνοι κατά μήκος των όχθεων που πλημμυρίζονται
|
3.1 Κοίτη: χαλίκια, κροκάλες και λίγοι ογκόλιθοι
|
0,030-0,050
|
3.2 Κοίτη: κροκάλες με μεγάλους ογκόλιθους
|
0,040-0,070
|
4. Μεγάλα ρέματα (πλάτος πλημμυρικής επιφάνειας >30 m)
|
Η τιμή n είναι μικρότερη από εκείνες των μικρών ρεμάτων με παρόμοια περιγραφή, επειδή οι όχθες προσφέρουν λιγότερη αποτελεσματική αντίσταση στη ροή.
|
4.1 Κανονική διατομή χωρίς ογκόλιθους ή θάμνους
|
0,025-0,060
|
4.2 Ακανόνιστη διατομή και τραχέα τμήματα
|
0,035-0,100
|
5. Αλλουβιακές τάφροι με αμμώδη κοίτη χωρίς βλάστηση
|
5.1 Ήρεμη ροή, FR < 1
|
5.1.1 Επίπεδη κοίτη
|
0,014-0,020
|
5.1.2 Πτυχωτή κοίτη
|
0,018-0,030
|
5.1.3 Αμμοθίνες
|
0,020-0,040
|
5.1.4 Ξεπλυμένες αμμοθίνες ή σε μεταβατική κατάσταση
|
0,014-0,025
|
5.2 Ταχεία ροή, FR > 1
|
5.2.1 Στάσιμοι κυματισμοί
|
0,010-0,015
|
5.2.2 Anti-dunes
|
0,012-0,020
|
3.3. Διατμητική ένταση
Η διατμητική ένταση είναι η δύναμη που εξασκεί το νερό επί της κοίτης και των πλευρών μιας τάφρου καθώς αυτό ρέει επάνω στις επιφάνειες αυτών. Αυτές οι διατμητικές δυνάμεις υπολογίζονται από τις ακόλουθες εξισώσεις.
α. Η πρώτη εξίσωση είναι μια ακριβής εξίσωση που δίνει τη διατμητική ένταση επί της βρεχόμενης περιμέτρου:
(4.3.3-1)
όπου:
τ0 (N/m2): μέση διατμητική ένταση επί της βρεχόμενης περιμέτρου
γ (N/m): ειδικό βάρος του νερού
R (m): υδραυλική ακτίνα
S0 (m/m): κατά μήκος της τάφρου, σε βαθμιαίως μεταβαλλόμενη ροή η κλίση είναι αυτή της γραμμής της ενέργειας, S0 = Sf
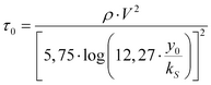
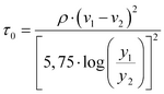
β. Οι δύο επόμενες εξισώσεις είναι ημιεμπειρικές και προέρχονται από την επίλυση της εξίσωσης της ταχύτητας των Karman - Prandtl:
(4.3.3-2)
(4.3.3-3)
όπου:
τ0 (N/m2): η διατμητική ένταση σε ένα σημείο της ροής
v (m/s): οι σημειακές ταχύτητες σε κατακόρυφο επίπεδο
V (m/s): η μέση ταχύτητα σε κατακόρυφο επίπεδο σε βάθος y0
ρ (kg/m3): πυκνότητα νερού
kS (m): μέτρο του ύψους τραχύτητας, μεταβάλλεται από το μέγεθος D84 για κοίτη τάφρου καθαρής άμμου, έως 3,5 D84 για κοίτη ρέματος χοντρόκοκκου υλικού για πρακτικούς λόγους εφαρμόζεται η τιμή 3,5 D84.
Παράδειγμα
Προσδιορίστε τη διατμητική ένταση κατά μήκος της βρεχόμενης περιμέτρου μιας τραπεζοειδούς τάφρου. Επίσης προσδιορίστε τη διατμητική ένταση επί ενός σωματιδίου κατά μήκος της κοίτης της ίδιας τάφρου.
Δεδομένα:
Πλάτος κοίτης 5 m, βάθος νερού 1,25 m και κλίση πρανών υ:β=1:3 και κατά μήκος κλίση 0,5% και διάσταση λίθων D84 = 0,15 m.
Ζητούμενα:
(1) η διατμητική ένταση: τ0 κατά μήκος της βρεχόμενης περιμέτρου
(2) η διατμητική ένταση: τ0 κατά μήκος της κοίτης
Λύση: (1) η διατμητική ένταση κατά μήκος της βρεχόμενης περιμέτρου υπολογίζεται από την εξίσωση
τ0: γ R S
Α: 5 x 1,25 + 3 x 1,252 = 10,94 m2 (επιφάνεια διατομής)
P: 5 + 2 x 1,25 x 100,5 = 12,91 m (βρεχόμενη περίμετρος διατομής)
R: 10,94/12,91 = 0,85 m (υδραυλική ακτίνα)
τ0: 9 800 x 0,85 x 0,005 = 41,6 N/m2
(2) η διατμητική ένταση κατά μήκος της κοίτης σε ένα σημείο υπολογίζεται από την εξίσωση

Πίνακας 4.3.3-1: Επιτρεπόμενη διατμητική ένταση ανάλογα υλικού επένδυσης
Διαστάσεις λίθων (mm)
|
Επιτρεπόμενη διατμητική ένταση (pa)
|
25
|
15,8
|
50
|
32,1
|
150
|
95,8
|
300
|
191,5
|