| Συνδεθείτε στην Υπηρεσία Νομοσκόπιο | | | | | Νέοι χρήστες | | Εάν είστε νέος χρήστης, θα πρέπει να δημιουργήσετε ένα ΔΩΡΕΑΝ λογαριασμό προκειμένου να φύγει το παράθυρο αυτό και να αποκτήσετε πλήρη πρόσβαση στην υπηρεσία Νομοσκόπιο. | | Δημιουργία νέου λογαριασμού | | |
1. Μήκος ορατότητας
Η συνέπεια μεταξύ των αντιληπτών (από τον οδηγό) απαιτήσεων και των πραγματικών απαιτήσεων της οδού είναι μια συνάρτηση του μήκους ορατότητας και της εμπειρίας του οδηγού με την οδό. Το μήκος ορατότητας ορίζεται από το τμήμα της οδού που εκτίθεται στο οπτικό πεδίο του οδηγού σε κάθε χρονική στιγμή. Όσο μικρότερο είναι το μήκος ορατότητας, τόσο λιγότερη οπτική πληροφορία είναι διαθέσιμη για αξιολόγηση, με αποτέλεσμα ένας οδηγός να χρειάζεται πιο συχνά να ανανεώνει τις προβλέψεις του. Όταν το μήκος ορατότητας περιορίζεται, η σημασία της εμπειρίας του οδηγού με την οδό αυξάνεται. Η εμπειρία με την οδό είναι μια συνάρτηση: α) του αριθμού διελεύσεων του οδηγού από ένα συγκεκριμένο τμήμα της οδού, β) της ομοιότητας της οδού με άλλες με τις οποίες αυτός έχει εμπειρία και γ) της ακρίβειας των προβλέψεων που πρόσφατα έχει κάνει για την οδό στην οποία κινείται. Συνολικά, αυτή η εμπειρία αναφέρεται ως προσδοκία οδηγού (driver's expectancy). Ένας οδηγός προσδοκά ότι η πορεία ή η γεωμετρία της οδού θα έχει ομοιογένεια και ότι είναι προβλέψιμη ακόμη και όταν το μήκος ορατότητας περιορίζεται. Η ομοιογένεια της γεωμετρίας της οδού επιτρέπει στον οδηγό να προβλέπει με ακρίβεια τη σωστή πορεία, ενώ παράλληλα να αφιερώνει την ικανότητα του σε επεξεργασία μόνο μικρού όγκου οπτικής πληροφορίας. Δηλαδή η ομοιογένεια στη γεωμετρία της οδού επιτρέπει στην προσοχή και στην ικανότητα του οδηγού να αφιερώνεται περισσότερο στην αποφυγή απροσδόκητων εμποδίων και στην οδήγηση.
Η ασφάλεια της κυκλοφορίας και η ποιότητα της κυκλοφοριακής ροής απαιτούν την ύπαρξη ελάχιστων μηκών ορατότητας, προκειμένου να είναι δυνατή η έγκαιρη ακινητοποίηση ενός οχήματος (απαιτούμενο μήκος ορατότητας για στάση), η ασφαλής προσπέραση (απαιτούμενο μήκος ορατότητας για προσπέραση) καθώς και η ασφαλής εξέλιξη της απόφασης του οδηγού για αλλαγή πορείας (μήκος ορατότητας για απόφαση).
Το απαιτούμενο μήκος ορατότητας για στάση είναι καθοριστικής σημασίας για την αξιολόγηση των συνθηκών ορατότητας σε όλες τις κατηγορίες οδών. Το ίδιο ισχύει και για το απαιτούμενο μήκος ορατότητας για προσπέραση, το οποίο χρησιμοποιείται άμεσα στην αξιολόγηση των συνθηκών ορατότητας σε οδούς με ενιαία επιφάνεια κυκλοφορίας της ομάδας Α. Για τις οδούς της ομάδας Β το μήκος ορατότητας για προσπέραση έχει δευτερεύουσα σημασία.
1.1. Απαιτούμενο μήκος ορατότητας για στάση Sh
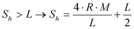
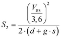
Το απαιτούμενο μήκος ορατότητας για στάση Sh είναι το μήκος, που χρειάζεται ένας οδηγός κινούμενος με την ταχύτητα V85, για να ακινητοποιήσει το όχημα του πριν από ένα απροσδόκητο ακίνητο εμπόδιο στο οδόστρωμα. Το μήκος ορατότητας για στάση είναι το άθροισμα του μήκους που διανύει το όχημα κατά τη διάρκεια του χρόνου αντίληψης, του χρόνου αντίδρασης, και του μήκους πέδησης.
Σε όλο το μήκος των οδών πρέπει να διατίθεται κατ' ελάχιστο το μήκος ορατότητας στάσης ορίζεται από την ταχύτητα V85.
Όταν συνεχώς το πεδίο ορατότητας του οδηγού περιορίζεται στις ελάχιστες τιμές της ορατότητας στάσης, τότε ο οδηγός βρίσκεται σε διαρκή ένταση που προκαλεί κόπωση. Γι' αυτό το λόγο επιβάλλεται να εξασφαλίζονται συνολικά στο 70% της οδού μήκη ορατότητας κατά 1,3 φορές μεγαλύτερα από τα ελάχιστα απαιτούμενα. Επίσης συνιστάται οι ελάχιστες τιμές να μη χρησιμοποιούνται σε περιοχές κόμβων.
Το απαιτούμενο μήκος ορατότητας για στάση είτε λαμβάνεται από το διάγραμμα του Σχήματος 10-2 σε συνάρτηση με την ταχύτητα V85 και την κατά μήκος κλίση της οδού s, είτε υπολογίζεται από τους τύπους που ακολουθούν:
(10-1)
(10-2)
(10-3)
όπου:
Sh (m) = μήκος ορατότητας για στάση
S1 (m) = διανυόμενο μήκος κατά τη διάρκεια του χρόνου αντίληψης - αντίδρασης
S2 (m) = μήκος πέδησης λειτουργική ταχύτητα 85% χρόνος αντίληψης - αντίδρασης = (λαμβάνεται ως 2 δευτερόλεπτα)
g (m/s2) = επιτάχυνση βαρύτητας
d (m/s2) = συντελεστής εξαρτώμενος από την ταχύτητα (η τιμή του λαμβάνεται από τον Πίνακα 10-1)
s (m/m) = κατά μήκος κλίση (θετική (+) : ανωφέρεια, αρνητική (-) : κατωφέρεια)
Πίνακας 10-1: Συντελεστής d υπολογισμού του μήκους ορατότητας στάσης Sh
V85
|
(km/h)
|
50
|
60
|
70
|
80
|
90
|
100
|
110
|
120
|
130
|
d
|
(m/s2)
|
4,4
|
4,2
|
4,0
|
3,8
|
3,6
|
3,4
|
3,3
|
3,1
|
3,0
|
Οι ελάχιστες τιμές της ακτίνας οριζοντίων καμπυλών των χαράξεων (Πίνακας 11-1) υπολογίσθηκαν με βάση τη δυναμική της κίνησης των οχημάτων σε συνθήκες υγρού οδοστρώματος. Η χρήση αυτών των ελάχιστων τιμών των ακτίνων υπόκειται και στον έλεγχο για επαρκή ορατότητα για στάση ενώπιον ακινήτου εμποδίου. Ο έλεγχος αυτός υποχρεωτικά γίνεται για:
| • | τις εξωτερικές πλευρές των οδών οπότε είτε επιβεβαιώνεται η ικανοποίηση της απαιτούμενης συνθήκης πλευρικού ελεύθερου οπτικών εμποδίων χώρου, είτε οδηγεί στην ανάγκη διεύρυνσης του πλευρικού χώρου π.χ. με πρόσθετη εκσκαφή των πρανών ορυγμάτων. Διευκρινίζεται ότι η εκσκαφή γίνεται από τη στάθμη του οδοστρώματος, |
| • | την πλευρά της κεντρικής νησίδας αυτοκινητοδρόμου, |
| • | την πλευρά της διαχωριστικής νησίδας μεταξύ δύο οδών, |
| • | την εξωτερική πλευρά που τοποθετούνται στηθαία (επιχώματα, γέφυρες, βάθρα γεφυρών) |
Δηλαδή ακόμη και η θέση των στηθαίων ασφαλείας πρέπει να ελέγχεται ότι αφήνει τον απαιτούμενο πλευρικό ελεύθερο χώρο για να υπάρχει το απαιτούμενο μήκος ορατότητας για στάση.
Εφόσον ο προβλεπόμενος από την τυπική διατομή ελεύθερος χώρος στην πλευρά της κεντρικής νησίδας μεταξύ της οριογραμμής κυκλοφορίας και της όψης του στηθαίου ασφαλείας, δεν είναι επαρκής για να εξασφαλίσει το απαιτούμενο μήκος ορατότητας για στάση, τότε πρέπει να λαμβάνονται πρόσθετα μέτρα. Τα μέτρα αυτά είναι: είτε η μετατόπιση του στηθαίου προς την κοίλη πλευρά της νησίδας, είτε η διαπλάτυνση του ελεύθερου χώρου, σύμφωνα με διάγραμμα ορατότητας που πρέπει να σχεδιάζεται ειδικά γι' αυτές τις περιπτώσεις. Εφόσον αυτά τα μέτρα δεν είναι εφικτά τότε είναι δυνατόν να αποφασίζεται η τοποθέτηση ειδικών πινακίδων με διπλό όριο ταχύτητας. Το ένα όριο θα αφορά συνθήκες στεγνού και το άλλο συνθήκες υγρού οδοστρώματος. Για το όριο ταχύτητας με υγρό οδόστρωμα μπορεί να χρησιμοποιείται η πινακίδα Πρ-6 του Κώδικα Οδικής Κυκλοφορίας. Επειδή αυτή η πινακίδα στη συγκεκριμένη περίπτωση κρίνεται μη ικανοποιητική λόγω μεγέθους, συνιστάται η υιοθέτηση μιας παρόμοιας από Κώδικα Οδικής Κυκλοφορίας άλλης χώρας όπως π.χ. της Γαλλίας.
Σύμφωνα με τα προαναφερόμενα, η τελικά επιτρεπόμενη ταχύτητα κυκλοφορίας σε αυτοκινητοδρόμους, καθορίζεται από συνδυασμό των παραμέτρων που είναι:
| • | το πλάτος πλευρικού ελεύθερου οπτικών εμποδίων χώρου μεταξύ της οριογραμμής κυκλοφορίας και της όψης του στηθαίου ασφαλείας που ορίζεται στην τυπική διατομή, |
| • | η ακτίνα της οριζόντιας καμπύλης της χάραξης, |
| • | η κατά μήκος κλίση της χάραξης. |
Η σχέση μεταξύ της ακτίνας τόξου R για δεδομένο πλάτος Μ του ελευθέρου εμποδίων πλευρικού χώρου, που προσφέρει μήκος ορατότητας στάσης Sh στο μέσο της ελεγχόμενης λωρίδας κυκλοφορίας, ορίζεται από τις ακόλουθες εξισώσεις (βλέπε Σχήμα 10-1):
| • | (10-4) |
| • | (10-5) |
Όπου:
Sh (m): Το μήκος ορατότητας στάσης μετρούμενο επί της καμπύλης στον άξονα που χαράζεται στο μέσο της λωρίδας κυκλοφορίας
R (m): Η ακτίνα της καμπύλης του άξονα της λωρίδας κυκλοφορίας
M (m): Το πλάτος του ελεύθερου χώρου μετρούμενο από το μέσο της εξεταζόμενης λωρίδας κυκλοφορίας
L (m): Το μήκος της καμπύλης μετρούμενο στον άξονα της εξεταζόμενης λωρίδας κυκλοφορίας

Σχήμα 10-1: Στοιχεία Ελέγχου ορατότητας από τον πλευρικό ελεύθερο οπτικών εμποδίων χώρο.
Η σχέση των τριών στοιχείων Sh, R και Μ αναπαριστάνεται στο διάγραμμα του Σχήματος 10-3 το οποίο μπορεί να χρησιμοποιείται ως εξής:
α. από το διάγραμμα ορατότητας Σχήμα 10-2 προσδιορίζεται το απαιτούμενο μήκος ορατότητας για στάση Sh για την κατά μήκος κλίση της εξεταζόμενης θέσης με βάση την ταχύτητα V85
β. από το διάγραμμα Σχήμα 10-3 με εισαγωγή του μήκους ορατότητας για στάση Sh που προσδιορίσθηκε, ανευρίσκεται η απαιτούμενη ακτίνα R για δεδομένο πλάτος Μ πλευρικού ελεύθερου εμποδίων χώρου. Αντίστοιχα μπορεί από το διαθέσιμο πλάτος Μ και την ακτίνα R της χάραξης να προσδιορίζεται η ασφαλής V85, οπότε ορίζεται το επιτρεπόμενο όριο ταχύτητας (πινακίδα) από την τιμή της στρογγυλεμένη στη δεκάδα που ανήκει (δηλαδή όταν προσδιορίζεται ασφαλής V85 = 86 km/h τότε αναγράφεται όριο πινακίδας υπό βροχή 80).

Σχήμα 10-2: Απαιτούμενο μήκος ορατότητας για στάση Sh σε υγρό οδόστρωμα, σε οδούς των ομάδων Α και Β.

Σχήμα 10-3: Σχέση μήκους ορατότητας για στάση Sh με πλάτος ελεύθερου χώρου Μ (βλέπε Σχήμα 10-1)
1.2. Απαιτούμενο μήκος ορατότητας για συνάντηση St σε οδούς με ενιαία επιφάνεια κυκλοφορίας
Το απαιτούμενο μήκος ορατότητας για συνάντηση St είναι το μήκος που απαιτείται, ώστε δύο αντίθετα κινούμενα οχήματα με την ταχύτητα V85 να είναι σε θέση να ακινητοποιηθούν έγκαιρα και να αποφευχθεί η σύγκρουση τους. Το μήκος ορατότητας για συνάντηση είναι το άθροισμα των μηκών ορατότητας για στάση και των δύο οχημάτων.
St = Sh,1 + Sh,2 (m) (10-6)
Η ύπαρξη του μήκους ορατότητας για συνάντηση προσφέρει ασφαλείς συνθήκες για τους ελιγμούς προσπέρασης. Γι' αυτό και ορίζεται ως το κρίσιμο μέγεθος για τον καθορισμό του μήκους ορατότητας για προσπέραση SU, καθώς και για την οριζόντια σήμανση. Είναι το ελάχιστο μήκος, το οποίο πρέπει να διατίθεται, ώστε να είναι δυνατή η έγκαιρη ακινητοποίηση των αντίθετα κινουμένων οχημάτων.
1.3. Απαιτούμενο μήκος ορατότητας για προσπέραση SU
Το μήκος ορατότητας για προσπέραση SU είναι το μήκος, που απαιτείται για την ασφαλή διαδικασία προσπέρασης εμποδίου ή βραδυπορούντος οχήματος και είναι συνάρτηση της λειτουργικής ταχύτητας V85. Συνίσταται δε από το μήκος που διανύει το όχημα κατά τη διαδικασία της προσπέρασης, το μήκος που διανύει στο ίδιο χρονικό διάστημα το αντίθετα κινούμενο όχημα, και την απόσταση ασφαλείας μεταξύ των δύο αντίθετα κινουμένων οχημάτων στο τέλος της διαδικασίας της προσπέρασης (βλέπε Σχήμα 10-4).

Σχήμα 10-4: Απεικόνιση τυπικής διαδικασίας προσπέρασης προπορευόμενου οχήματος.
Το απαιτούμενο μήκος ορατότητας για προσπέραση στις οδούς της ομάδας Α παρέχεται από τον πίνακα 10-2. Στις οδούς της ομάδας Β πέρα από τις τιμές του πίνακα 10-2, πρέπει να ελέγχεται και το μήκος ορατότητας σε ισόπεδους κόμβους.
Σε οδούς των κατηγοριών Α και Β με ενιαία επιφάνεια κυκλοφορίας πρέπει να διατίθενται συνθήκες ορατότητας για προσπέραση συνολικά τουλάχιστον 20-25% του μήκους της οδού με ομοιόμορφη κατανομή των τμημάτων αυτών στο μήκος της οδού.
Στα οδικά τμήματα που δεν διαθέτουν επαρκές μήκος ορατότητας για προσπέραση, η διαχωριστική γραμμή μεταξύ των δύο κατευθύνσεων πρέπει να διαμορφώνεται με διπλή συνεχή γραμμή.
Πίνακας 10-2: Απαιτούμενα μήκη ορατότητας για προσπέραση SU σε οδούς της ομάδας Α και Β.
V85 (km/h)
|
SU (m)
|
60
|
475
|
70
|
500
|
80
|
525
|
90
|
575
|
100
|
625
|
110
|
675
|
1.4. Απόσταση Ορατότητας για Απόφαση Sd
Η απόσταση ορατότητας για απόφαση παρέχει στον οδηγό επαρκή χρόνο για να υλοποιήσει μια απόφαση από τη στιγμή που ανιχνεύει οπτικά μια απροσδόκητη ή δύσκολα αντιλήψιμη πηγή πληροφορίας, στη συνέχεια να προσαρμόσει κατάλληλα την ταχύτητα του, να επιλέξει την πορεία του και να αρχίσει και ολοκληρώσει με ασφάλεια και αποτελεσματικά όλους τους απαιτούμενους ελιγμούς. Η απόσταση ορατότητας για απόφαση πρέπει να δίνει στους οδηγούς πρόσθετο περιθώριο για ενδεχόμενο λάθος και να παρέχει σ' αυτούς επαρκές μήκος για αναπροσαρμογή της πορείας τους, μάλλον με την ίδια ταχύτητα που αυτοί κινούνται ή μικρότερη και όχι με στάση του οχήματος. Γι' αυτό το λόγο οι τιμές της απόστασης ορατότητας για απόφαση είναι σημαντικά μεγαλύτερες από τις αντίστοιχες τιμές για ορατότητα στάσης. Σε περίπτωση αδυναμίας τήρησης των απαιτούμενων αποστάσεων λαμβάνεται ειδική πρόνοια στη μελέτη σήμανσης.
Παραδείγματα συνθηκών στις οποίες συνιστάται να εφαρμόζεται ο έλεγχος της απόστασης ορατότητας για απόφαση είναι οι θέσεις:
| • | ανισόπεδων και ισόπεδων κόμβων όπου δημιουργείται ανάγκη για μη συνήθεις ή απροσδόκητους ελιγμούς, όπως στα σημεία εξόδου στα δεξιά και ιδιαίτερα στα αριστερά της οδού, σημεία έναρξης ή τέλους λωρίδων αλλαγής ταχύτητας ή μείωσης του αριθμού των λωρίδων κυκλοφορίας. |
| • | αλλαγής πλάτους διατομής, όπως συμβαίνει στις περιοχές της χοάνης διοδίων, |
| • | απαιτούμενης έντασης της προσοχής, όπως περιοχές με οπτική ρύπανση όπου την πηγή πληροφορίας την οποία χρειάζεται ο οδηγός ανταγωνίζονται και άλλες πηγές για άλλα στοιχεία της οδού, άλλες κυκλοφοριακές πινακίδες, σηματοδότες, διαφημιστικές πινακίδες κ.λ.π. |
Η απαιτούμενη απόσταση από την οποία πρέπει να βλέπει ο οδηγός όλα τα προαναφερόμενα σημεία της οδού είναι ανάλογη με την ταχύτητα V85 (βλέπε Πίνακα 10-3).
Πίνακας 10-3: Απόσταση Ορατότητας για Απόφαση
V85
|
(km/h)
|
50
|
60
|
70
|
80
|
90
|
100
|
110
|
120
|
130
|
Sd
|
(m)
|
190
|
230
|
280
|
320
|
360
|
400
|
450
|
500
|
550
|
2. Προσδιορισμός υφιστάμενων μηκών ορατότητας
Τα πραγματικά υφιστάμενα μήκη ορατότητας για στάση, συνάντηση και προσπέραση υπολογίζονται σε σχέση με την οριζοντιογραφία, την μηκοτομή, την διατομή και τον περιβάλλοντα χώρο της οδού.
Επειδή η ικανότητα παρατήρησης του ανθρώπινου οφθαλμού είναι περιορισμένη, τα εμπόδια πάνω στην οδό πρέπει να έχουν ένα ελάχιστο μέγεθος, προκειμένου να είναι αντιληπτά και κατανοητά από απόσταση ίση με το μήκος ορατότητας για στάση. Αυτό το ελάχιστο μέγεθος του εμποδίου εξαρτάται από την απόδοση της ανθρώπινης όρασης, τα οπτικά χαρακτηριστικά του εμποδίου και του οδοστρώματος, καθώς επίσης και από τις συνθήκες φωτισμού και τις καιρικές συνθήκες. Τα εμπόδια που είναι αρκετά μεγάλα, ώστε να μην είναι δυνατή η διέλευση των οχημάτων πάνω από αυτά, εν τούτοις είναι δυνατόν να είναι πολύ μικρά, για να αναγνωρίζονται έγκαιρα από τους οδηγούς που κινούνται με την λειτουργική ταχύτητα V85. Επομένως δε μπορεί να προσδιορισθεί ένα εμπόδιο με συγκεκριμένες διαστάσεις και οπτικά χαρακτηριστικά για τον υπολογισμό του μήκους ορατότητας για στάση. Για αυτόν τον λόγο ορίζεται ως ύψος εμποδίου το ύψος που προκύπτει με σταθερή οπτική γωνία 5 πρώτα λεπτά της μοίρας για την ταχύτητα V85 (βλέπε Πίνακα 10-4).
Για τον προσδιορισμό των υφιστάμενων μηκών ορατότητας, ισχύουν οι κανόνες:
| • | Ο προσδιορισμός γίνεται σε σχέση με τον οδικό χώρο. Επιπλέον κατά τον προσδιορισμό του μήκους ορατότητας λαμβάνονται υπόψη όλα τα αντικείμενα που υπεισέρχονται στον οδικό και στον παρόδιο χώρο, (όπως πινακίδες κ.λ.π.) καθώς και οι υφιστάμενες και οι προβλεπόμενες φυτεύσεις. |
| • | Ο προσδιορισμός γίνεται για κάθε τύπο μήκους ορατότητας και πάντοτε χωριστά για κάθε κατεύθυνση κυκλοφορίας. |
| • | Ο προσδιορισμός των μηκών ορατότητας βασίζεται στα δεδομένα του Σχήματος 10-5 και στις τιμές του Πίνακα 10-4. Σχετικά στοιχεία που αφορούν τον προσδιορισμό των μηκών ορατότητας δίδονται και στο Σχήμα 8-2. |
| • | Οι θέσεις του οφθαλμού και του εμποδίου αναπαριστάνονται στο Σχήμα 10-5, τόσο για το μήκος ορατότητας για στάση, όσο και για το μήκος ορατότητας για προσπέραση. |

Δυνατή πορεία των οπτικών ακτίνων από τον οφθαλμό του οδηγού σε εμπόδιο για τον προσδιορισμό του μήκους ορατότητας για στάση.

Δυνατή πορεία των οπτικών ακτίνων από τον οφθαλμό του οδηγού σε εμπόδιο για τον προσδιορισμό του μήκους ορατότητας για προσπέραση. όπου: ZP1, ZP2, ZP3 = δυνατές θέσεις εμποδίου
Σχήμα 10-5: Θέση του οφθαλμού και του εμποδίου για τον προσδιορισμό του μήκους ορατότητας για στάση και του μήκους ορατότητας για προσπέραση.
Στα πλαίσια του προσεγγιστικού προσδιορισμού των μηκών ορατότητας σε οδούς με διαχωρισμένες ή με ενιαίες επιφάνειες κυκλοφορίας, είναι δυνατή η χρησιμοποίηση του άξονα του οδοστρώματος της οδού ως άξονα αναφοράς. Σε οριακές περιπτώσεις για οδοστρώματα μίας κατεύθυνσης πρέπει τα υφιστάμενα μήκη ορατότητας να προσδιορίζονται για την εκάστοτε κρίσιμη λωρίδα κυκλοφορίας, όταν το μήκος ορατότητας σε αριστερόστροφες καμπύλες είναι περιορισμένο εξ αιτίας εμποδίων στη διαχωριστική νησίδα, (π.χ. φύτευση, αντιθαμπωτικά πετάσματα).
Πίνακας 10-4: Βασικές τιμές για τον προσδιορισμό υφιστάμενων μηκών ορατότητας
Τύπος ορατότητας
|
Οφθαλμός
|
Θέση εμποδίου
|
V85
(km/h)
|
Ύψος
εμποδίου
hZ (m)
|
Θέση
|
Ύψος
ha (m)
|
1
|
2
|
3
|
4
|
5
|
6
|
Ορατότητα
για στάση
|
στον άξονα
της δικής
του
λωρίδας
κυκλοφορίας
|
1,06
|
στον άξονα
της δικής του
λωρίδας
κυκλοφορίας
|
40
|
0,05
|
50
|
0,07
|
60
|
0,10
|
70
|
0,13
|
80
|
0,16
|
90
|
0,20
|
100
|
0,25
|
110
|
0,30
|
120
|
0,35
|
130
|
0,42
|
140
|
0,49
|
Ορατότητα
για
συνάντηση
|
1,06
|
όλες
οι V85
|
1,0
|
Ορατότητα
για
προσπέραση
|
1,06
|
στον άξονα
της λωρίδας
κυκλοφορίας
του αντίθετα
κινούμενου
ρεύματος
|
1,0
|
3. Ανάλυση ορατότητας
Τα διατιθέμενα μήκη ορατότητας για στάση, συνάντηση, προσπέραση ή απόφαση καθώς και σε θέσεις τυχόν ισόπεδων κόμβων, συγκρίνονται με τα αντίστοιχα απαιτούμενα μήκη ορατότητας με έλεγχο από διαγράμματα ορατότητας που πρέπει να έχουν συνταχθεί (βλέπε Σχήμα 10-6) χωριστά για κάθε κατεύθυνση κυκλοφορίας. Συγκεκριμένα για λόγους ασφαλείας απαιτείται η ικανοποίηση των ακόλουθων συνθηκών:
| • | Το μήκος ορατότητας για στάση Sh πρέπει να διατίθεται σε όλο το μήκος της οδού και σε όλες τις κατηγορίες οδών. |
| • | Το μήκος ορατότητας για συνάντηση St πρέπει να διατίθεται σε όλο το μήκος των οδών με ενιαίο οδόστρωμα και στις δύο κατευθύνσεις κυκλοφορίας, σε όλες τις κατηγορίες οδών. Επισημαίνεται ότι η απαίτηση για ορατότητα συνάντησης υπερκαλύπτεται από την απαίτηση για ορατότητα στάσης. |
| • | Το μήκος ορατότητας για προσπέραση SU πρέπει να διατίθεται σε επαρκές μήκος και στις δύο κατευθύνσεις σε όλες τις οδούς με ενιαία επιφάνεια κυκλοφορίας με δύο λωρίδες κυκλοφορίας της ομάδας Α. Το μήκος της οδού όπου θα διατίθεται επαρκές μήκος ορατότητας για προσπέραση SU επιλέγεται με βάση τον κυκλοφοριακό φόρτο, τη σύνθεση κυκλοφορίας, τις κατά μήκος κλίσεις, την ελικτότητα και την επιδιωκόμενη κυκλοφοριακή ποιότητα. Αυτό το μήκος πρέπει κατ' ελάχιστο να είναι το 20-25% του συνολικού μήκους της οδού, με ομοιόμορφη κατανομή στο μήκος της οδού. Σε οδούς της ομάδας Β δεν είναι πάντα απαραίτητη η ορατότητα για προσπέραση SU και μάλιστα ενίοτε μπορεί να είναι και ανεπιθύμητη. Σε αυτές τις περιπτώσεις εφαρμόζεται κατάλληλη σήμανση ακόμη κι αν διατίθεται τέτοιο μήκος. Αν το ποσοστό του μήκους της οδού με μήκος ορατότητας για προσπέραση SU είναι μικρότερο από το ελάχιστο ποσοστό που προαναφέρεται και η τροποποίηση της χάραξης της οδού για λόγους προστασίας του περιβάλλοντος ή για λόγους οικονομίας είναι δύσκολη, τότε επιτρέπεται να επιτευχθεί η εξασφάλιση επαρκών μηκών ορατότητας για προσπέραση με κατασκευή πρόσθετων λωρίδων. Αυτά τα οδικά τμήματα λαμβάνονται υπόψη στον υπολογισμό του ποσοστού του μήκους της οδού με επαρκές μήκος ορατότητας για προσπέραση. |
| • | Το μήκος ορατότητας για απόφαση και για την ορατότητα σε περιοχές ισόπεδων κόμβων πρέπει να διατίθεται σε συγκεκριμένες θέσεις. |
Σε κάθε περίπτωση πρέπει η μεταβολή (αύξηση ή μείωση) των μηκών ορατότητας που προαναφέρονται, να παρουσιάζει μία συνέχεια δηλαδή να γίνεται σταδιακά και όχι αιφνίδια και να ανταποκρίνεται στις επικρατούσες συνθήκες.
Σε όλο το μήκος της οδού πρέπει να εξασφαλίζεται η επαρκής ορατότητα και εποπτεία σύμφωνα με τα δεδομένα της τρισδιάστατης χάραξης της οδού.
Στο ελεύθερο πεδίο ορατότητας όλα τα εμπόδια που δυσχεραίνουν την ορατότητα (π.χ. πρανή, τοίχοι, σταθμευμένα οχήματα κ.λ.π.) πρέπει να απομακρύνονται. Επιτρέπεται η διατήρηση τυχόν αραιών συστάδων δένδρων, μεμονωμένων δένδρων ή θάμνων, εφόσον δεν επηρεάζουν καθοριστικά την ορατότητα αλλά εξυπηρετούν την οπτική καθοδήγηση της κυκλοφορίας και την προσαρμογή της οδού στο τοπίο.

Σχήμα 10-6: Παράδειγμα ανάλυσης ορατότητας για στάση με τη χρήση διαγράμματος ορατότητας