| Συνδεθείτε στην Υπηρεσία Νομοσκόπιο | | | | | Νέοι χρήστες | | Εάν είστε νέος χρήστης, θα πρέπει να δημιουργήσετε ένα ΔΩΡΕΑΝ λογαριασμό προκειμένου να φύγει το παράθυρο αυτό και να αποκτήσετε πλήρη πρόσβαση στην υπηρεσία Νομοσκόπιο. | | Δημιουργία νέου λογαριασμού | | |
Η μελέτη χάραξης περιλαμβάνει τη μελέτη:
| • | διατομών (πλάτος, διαπλατύνσεις, επικλίσεις), |
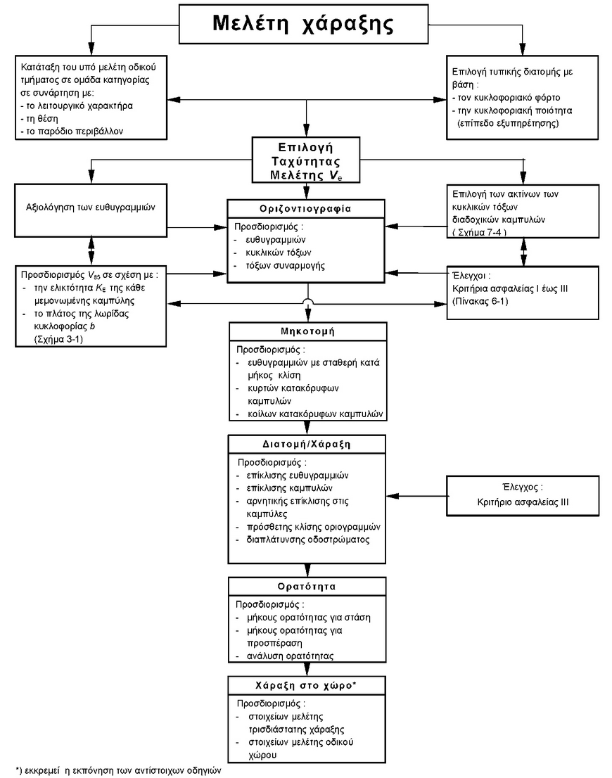
Η ροή των εργασιών της μελέτης χαράξεων απεικονίζεται στο Σχήμα 6-1.
Ιδιαίτερο ενδιαφέρον στις σύγχρονες μελέτες οδοποιίας συγκεντρώνει η έννοια της αρμονίας και της συνέχειας μεταξύ των στοιχείων της μελέτης. Κατά κανόνα η ταχύτητα μελέτης VE πρέπει να παραμένει σταθερή για οδικά τμήματα μεγάλου μήκους. Με αυτό το τρόπο τα γεωμετρικά χαρακτηριστικά κατά μήκος του οδικού τμήματος καθίστανται ομοιόμορφα για τον οδηγό. Αν σε ένα οδικό τμήμα μεγάλου μήκους εξαιτίας των τοπογραφικών συνθηκών απαιτηθεί η αλλαγή των γεωμετρικών χαρακτηριστικών της οδού και επιβάλλεται η αλλαγή της ταχύτητας μελέτης, τότε είναι απαραίτητη η συσχέτιση των στοιχείων μελέτης σε ένα μήκος συναρμογής μεταξύ των δύο τμημάτων με διαφορετικές ταχύτητες μελέτης, έτσι ώστε η μεταβολή των γεωμετρικών χαρακτηριστικών να είναι σταδιακή. Αυτό εξασφαλίζεται με την ικανοποίηση του Κριτηρίου Ασφαλείας Ι: Επίτευξη αρμονίας και συνέχειας στην μελέτη της οδού, (βλέπε Πίνακα 6-1).
Επίσης η λειτουργική ταχύτητα V85 πρέπει να παρουσιάζει συνέχεια κατά μήκος της οδού. Αυτό επιτυγχάνεται με το Κριτήριο Ασφαλείας ΙΙ: επίτευξη αρμονίας και συνέχειας στην λειτουργική ταχύτητα καθώς επίσης και με διατήρηση της σχέσης των διαδοχικών ακτίνων κυκλικών τόξων σύμφωνα με το Σχήμα 7-4.
Η αρμονική ακολουθία των δυναμικών δεδομένων της κίνησης των οχημάτων στα διαδοχικά στοιχεία μελέτης, ενός οδικού τμήματος με σταθερή ταχύτητα μελέτης, ιδιαίτερα στις οδούς της ομάδας Α, δημιουργεί τις προϋποθέσεις για έναν ομοιόμορφο και οικονομικό τρόπο οδήγησης. Αυτό εξασφαλίζεται με το Κριτήριο Ασφαλείας ΙΙΙ: επίτευξη αρμονίας και συνέχειας στην δυναμική κίνηση των οχημάτων (βλέπε Πίνακα 6-1). Η μεθοδολογία της μελέτης χάραξης μίας οδού με εναρμονισμένα στοιχεία μελέτης, κατά την οποία λαμβάνονται υπόψη οι παράγοντες ασφαλείας που σχετίζονται με τη μελέτη της οδού καθώς και τα διατυπωθέντα για πρώτη φορά σε Οδηγίες Μελετών Οδικών Έργων Κριτήρια Ασφαλείας, περιγράφεται στο Σχήμα 6-2. Η αρχή της αρμονίας και της συνέχειας μεταξύ των διαδοχικών στοιχείων μελέτης ισχύει επίσης για τις οδούς της ομάδας Β, στις οποίες ο τρόπος οδήγησης επηρεάζεται σε μεγαλύτερο βαθμό από το όριο ταχύτητας παρά από τη δυναμική της κίνησης των οχημάτων, εφόσον με τον τρόπο αυτό δεν παρεμποδίζεται η επίτευξη άλλων στόχων της μελέτης που αφορούν π.χ. στην πολεοδομία, στην προστασία της πολιτιστικής κληρονομιάς κ.λ.π.
Σε έργα ανακατασκευής και βελτίωσης υφισταμένων οδών πρέπει να εξετάζονται τα στοιχεία μελέτης των τμημάτων που ακολουθούν (πριν και μετά) το βελτιούμενο ή ανακατασκευαζόμενο τμήμα, ώστε όταν διαπιστώνονται αισθητές διαφορές στα γεωμετρικά χαρακτηριστικά της οδού, να παρεμβάλλονται οδικά τμήματα που να πληρούν τα διατυπωθέντα Κριτήρια Ασφαλείας.
Πίνακας 6-1: Οριακές τιμές ισχύος των Κριτηρίων Ασφαλείας Ι, ΙΙ και ΙΙΙ για καλή, μέτρια και μη αποδεκτή ποιότητα σχεδιασμού, για οδούς των ομάδων Α και Β.
Κριτήριο
Ασφαλείας
|
Ποιότητα Σχεδιασμού
|
Καλή
|
Μέτρια
|
Μη αποδεκτή
|
I
|
|V85 -VE| ≤ 10 km/h
|
10 km/h < |V85 -VE| ≤ 20 km/h
|
20 km/h < |V85 -VE|
|
II
|
|V85i -V85i+1| ≤ 10 km/h
|
10 km/h < |V85i -V85i+1| ≤ 20 km/h
|
20 km/h < |V85i -V85i+1|
|
III
|
0.00 ≤ fR-fRA
|
-0,04 ≤ fR-fRA<0,00
|
fR-fRA < -0,04
|
όπου:
V85 (km/h) = λειτουργική ταχύτητα 85%
VE (km/h) = ταχύτητα μελέτης
fR (-) = διατιθέμενος συντελεστής πλευρικής τριβής σε καμπύλη
fRA (-) = απαιτούμενος συντελεστής εγκάρσιας τριβής σε καμπύλη

Σχήμα 6-1: Διάγραμμα ροής εργασιών για τη μελέτη χάραξης με ειδική αναφορά στα διατυπωθέντα Κριτήρια Ασφαλείας.

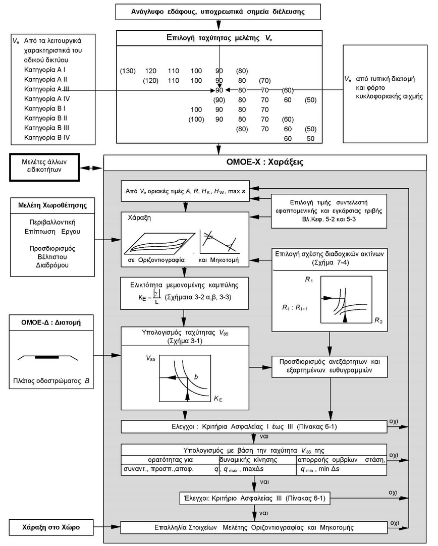
Σχήμα 6-2: Μεθοδολογία της πορείας της μελέτης χάραξης μίας οδού με στοιχεία μελέτης εναρμονισμένα μεταξύ τους.
(Οι εργασίες θα γίνονται σε συνεργασία με όλες τις απαιτούμενες ειδικότητες για την ολοκλήρωση των οδικών έργων).