| Συνδεθείτε στην Υπηρεσία Νομοσκόπιο | | | | | Νέοι χρήστες | | Εάν είστε νέος χρήστης, θα πρέπει να δημιουργήσετε ένα ΔΩΡΕΑΝ λογαριασμό προκειμένου να φύγει το παράθυρο αυτό και να αποκτήσετε πλήρη πρόσβαση στην υπηρεσία Νομοσκόπιο. | | Δημιουργία νέου λογαριασμού | | |
1. Στα πλαίσια του παρόντος άρθρου, ως υδραυλικά έργα νοούνται αυτά των στοιχείων με α/α 1, 2, 3, 4, 5, 6, 7, 9, 10, 12, 13, 14, 15)α, 15)β, 18 και 19 που έχουν καταταγεί στην 2η Ομάδα του Παραρτήματος ΙΙ της με αριθμό οίκοθεν ΔΙΠΑ/37674/2016 υπουργικής απόφασης (ΦΕΚ 2471/Β/2016), ενώ ως λιμενικά έργα νοούνται αυτά των στοιχείων με α/α 1, 2, 3, 4, 6, 7, 8 και 12 της 3ης Ομάδας του Παραρτήματος ΙΙΙ.
Για τις περιβαλλοντικές μελέτες ενός υδραυλικού ή λιμενικού έργου που απαιτούνται για τα στάδια ΠΠΠΑ και Έγκρισης Περιβαλλοντικών Όρων, η ενιαία τιμή της προεκτιμώμενης αμοιβής προσδιορίζεται από τη σχέση:

όπου:
Κ: ο συντελεστής τύπου μελέτης, όπως ορίστηκε ανωτέρω
φ: η ενιαία τιμή της προεκτιμώμενης αμοιβής για τη συνολική τεχνική μελέτη του έργου (δηλαδή τη μελέτη του υδραυλικού ή του λιμενικού έργου), όπως αυτή υπολογίζεται με βάση τις σχετικές διατάξεις του παρόντος κανονισμού. Η φ αναφέρεται στο σύνολο των σταδίων της τεχνικής μελέτης του έργου (προκαταρκτικής μελέτης, προμελέτης και οριστικής μελέτης), ανεξάρτητα από το εάν αυτά προβλέπεται να τηρηθούν ή όχι στο εκάστοτε έργο.
C(φ): ο συντελεστής μεγέθους και τεχνικών ιδιαιτεροτήτων του έργου, όπως αυτές λήφθηκαν υπόψη στον υπολογισμό της φ. Η τιμή του συντελεστή C(φ) υπολογίζεται ως εξής:
| o | όταν φ ≤ 40.000 τότε C(φ) = 0,35 |
| o | όταν 40.000 < φ < 2.000.000 τότε  |
| o | όταν φ ≥ 2.000.000 τότε C(φ) = 0,10 |
μ: συντελεστής φυσικού και πολιτισμικού περιβάλλοντος, ο οποίος υπολογίζεται ως εξής:
| o | Η περιοχή μελέτης, εμβαδού Ε σε m2, χωρίζεται σε τ υποπεριοχές με τρόπο τέτοιο ώστε κάθε υποπεριοχή να χαρακτηρίζεται από ομογενή χαρακτηριστικά φυσικού και πολιτισμικού περιβάλλοντος. Για κάθε μία υποπεριοχή, εμβαδού Ei, προσδιορίζεται ο συντελεστής φυσικού και πολιτισμικού περιβάλλοντος μi, με τις εξής τιμές: |
| o | μi = 0,8 σε περιοχές χωρίς συγκεκριμένο ή ιδιαίτερο περιβαλλοντικό ενδιαφέρον και χωρίς εναλλαγές μορφολογίας ή χρήσεων γης |
| o | μi = 1,0 σε περιοχές χωρίς συγκεκριμένο ή ιδιαίτερο περιβαλλοντικό ενδιαφέρον αλλά με εναλλαγές μορφολογίας ή χρήσεων γης, καθώς και εντός οικισμών ή σχεδίου πόλης, πλην των περιπτώσεων γειτνίασης με αρχαιολογικούς χώρους σε απόσταση μικρότερη των 200 m |
| o | μi = 1,4 εντός και σε ζώνη 100 m γύρω από περιοχές με συγκεκριμένο περιβαλλοντικό ενδιαφέρον (π.χ. λίμνες, παραλίες, δάση κ.ά.), εξαιρούμενων των συνήθων περιπτώσεων συνδυασμού λιμενικών έργων και παραλίων, όπου λαμβάνεται μi = 1,0 |
| o | μi = 1,6 εντός και σε ζώνη 200 m γύρω από περιοχές που προστατεύονται λόγω του ιδιαίτερου φυσικού ή πολιτισμικού τους περιβάλλοντος (π.χ. αρχαιολογικοί χώροι, εθνικοί ή αισθητικοί δρυμοί κ.ά.) |
| o | μi = 1,8 εντός των Ειδικών Ζωνών Διατήρησης (περιοχές Natura 2000 και SPA). |
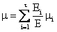
Μετά τον προσδιορισμό των συντελεστών μi, υπολογίζεται ο μ ως σταθμισμένος μέσος όρος με συντελεστές στάθμισης τα ποσοστιαία εμβαδά κάθε υποπεριοχής, σύμφωνα με την εξής σχέση:

ν: συντελεστής ανθρωπογενούς περιβάλλοντος, ο οποίος υπολογίζεται με τρόπο όμοιο με το συντελεστή μ, ως σταθμισμένος μέσος όρος των συντελεστών νi κάθε υποπεριοχής, με συντελεστές στάθμισης τα ποσοστιαία εμβαδά και τιμές του νi ως εξής:
| o | νi = 1,3 όταν 100 m < α ≤ 200 m |
όπου α η απόσταση από αστικές ή αστικοποιημένες περιοχές. Αστικές θεωρούνται οι περιοχές εντός σχεδίου πόλης ή ορίου οικισμού ενώ αστικοποιημένες θεωρούνται οι περιοχές εκτός των αστικών με μέση πυκνότητα κτιρίων μεγαλύτερη από 10 κτίρια/εκτάριο.
Εάν σε μια υποπεριοχή και οι δύο συντελεστές μi και νi αξιολογούνται κατ αρχήν ως μεγαλύτεροι της μονάδας λόγων ιδιαίτερων συνθηκών τόσο στο φυσικό και πολιτισμικό όσο και στο ανθρωπογενές περιβάλλον, κατά τον υπολογισμό των μ και ν λαμβάνεται υπόψη μόνο ο μεγαλύτερος από τους δύο και ο άλλος θεωρείται ως μονάδα.