amoives - Άρθρο ydr-4-2

ΥΔΡ.4.2: Μελέτη κύριων συλλεκτήρων ομβρίων και διευθέτησης ρεμάτων εντός αστικών περιοχών


Συνδεθείτε στην Υπηρεσία Νομοσκόπιο
Είσοδος στην υπηρεσία Νομοσκόπιο.
   
Χρήστης
Κωδικός
  Υπενθύμιση στοιχείων λογαριασμού
   
 
Νέοι χρήστες
Εάν είστε νέος χρήστης, θα πρέπει να δημιουργήσετε ένα ΔΩΡΕΑΝ λογαριασμό προκειμένου να φύγει το παράθυρο αυτό και να αποκτήσετε πλήρη πρόσβαση στην υπηρεσία Νομοσκόπιο.
Δημιουργία νέου λογαριασμού

 

 

Η ενιαία τιμή προεκτιμώμενης αμοιβής (Α) για την εκπόνηση μελέτης κυρίων συλλεκτήρων ομβρίων, οποιουδήποτε είδους διατομής, ή διευθέτησης ρεμάτων εντός αστικών περιοχών υπολογίζεται συναρτήσει του μήκους, βάσει του τύπου:

 

ydr-4-2a

 

όπου:

L: το μήκος του συλλεκτήρα ή ρέματος σε m

β: συντελεστής ως εξής:

oγια ελεύθερο άνοιγμα συλλεκτήρα ή διευθέτησης ≤ 2,00 m β=750
oγια ελεύθερο άνοιγμα συλλεκτήρα ή διευθέτησης 4,00 m β=1.100
oγια ελεύθερο άνοιγμα συλλεκτήρα ή διευθέτησης 6,00 m β=1.500
oγια ελεύθερο άνοιγμα συλλεκτήρα ή διευθέτησης 8,00 m β=2.250
oγια ελεύθερο άνοιγμα συλλεκτήρα ή διευθέτησης 15,00 m β=3.350
oγια ελεύθερο άνοιγμα συλλεκτήρα ή διευθέτησης ≥ 20,0 m β=3.750

 

Για ενδιάμεσες τιμές ανοίγματος συλλεκτήρα ο β υπολογίζεται με γραμμική παρεμβολή.

 

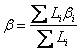
Σε περίπτωση μεταβαλλόμενων διατομών με επί μέρους μήκη Li και συντελεστές βi υπολογίζεται ο μέσος β:

 

ydr-4-2b

 

Εφόσον τμήμα του συλλεκτήρα διέρχεται υψομετρικά κάτω από τη στάθμη υπόγειου υδροφορέα τότε η αμοιβή Α προσαυξάνεται κατά (3000+0,20 x L) x τ.κ., όπου L το συνολικό μήκος του υπόψη συλλεκτήρα σε m, για την κάλυψη των απαραίτητων μελετών αντιστήριξης, έλεγχο υδάτων κ.λ.π.

 



Copyright © 2017 TechnoLogismiki. Με την επιφύλαξη παντός δικαιώματος.