amoives - Άρθρο ydr-5-2

YΔΡ.5.2: Μελέτη αγωγού εξωτερικού υδραγωγείου ύδρευσης


Συνδεθείτε στην Υπηρεσία Νομοσκόπιο
Είσοδος στην υπηρεσία Νομοσκόπιο.
   
Χρήστης
Κωδικός
  Υπενθύμιση στοιχείων λογαριασμού
   
 
Νέοι χρήστες
Εάν είστε νέος χρήστης, θα πρέπει να δημιουργήσετε ένα ΔΩΡΕΑΝ λογαριασμό προκειμένου να φύγει το παράθυρο αυτό και να αποκτήσετε πλήρη πρόσβαση στην υπηρεσία Νομοσκόπιο.
Δημιουργία νέου λογαριασμού

 

 

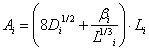
Η ενιαία τιμή προεκτιμώμενης αμοιβής (Α) για την εκπόνηση μελέτης αγωγού εξωτερικού υδραγωγείου ύδρευσης υπολογίζεται συναρτήσει του μήκους του αγωγού και της εσωτερικής διαμέτρου βάσει του τύπου:

 

ydr-5-2a

 

όπου:

L: το μήκος του αγωγού σε m

D: η διάμετρος του αγωγού σε m

β: συντελεστής έως εξής:

oγια αγωγό διαμέτρου ≤ D150 mm β=30
oγια αγωγό διαμέτρου D250 mm β=40
oγια αγωγό διαμέτρου D500 mm β=75
oγια αγωγό διαμέτρου D900 mm β=250
oγια αγωγό διαμέτρου D1200 mm β=400
oγια αγωγό διαμέτρου D1500 mm β=600
oγια αγωγό διαμέτρου ≥ D2000 mm β=800
oΓια ενδιάμεσες τιμές διαμέτρων ο συντελεστής β υπολογίζεται με γραμμική παρεμβολή

 

Σε περίπτωση πολλαπλών αγωγών ιδίας διαμέτρου η αμοιβή υπολογίζεται ως ανωτέρω για έναν αγωγό και προσαυξάνεται κατά 30% για κάθε επιπλέον αγωγό.

 

Προκειμένου για αγωγό με επιμέρους τμήματα διαφορετικών διαμέτρων:

 

ydr-5-2c

 

όπου:

ydr-5-2b

 

Εφόσον τμήμα του αγωγού διέρχεται υψομετρικά κάτω από τη στάθμη υπόγειου υδροφορέα τότε η αμοιβή Α προσαυξάνεται κατά (3000+0,20 x L) x τK, όπου L το συνολικό μήκος του υπόψη αγωγού σε m, για την κάλυψη των απαραίτητων μελετών αντιστήριξης, έλεγχο υδάτων κ.λ.π.

 



Copyright © 2017 TechnoLogismiki. Με την επιφύλαξη παντός δικαιώματος.