Προεδρικό διάταγμα 12/10/81

ΠΔ 12-10-1981: Περί τροποποιήσεως του από 21-11-1979 προεδρικού διατάγματος περί αναθεωρήσεως των όρων και περιορισμών δόμησης των οικοπέδων των περιοχών Διονύσου - Νέας Αιολίδας του ρυμοτομικού σχεδίου της Κοινότητας Σταμάτας (Αττικής), ως τροποποιήθηκε μεταγενέστερα


Συνδεθείτε στην Υπηρεσία Νομοσκόπιο
Είσοδος στην υπηρεσία Νομοσκόπιο.
   
Χρήστης
Κωδικός
  Υπενθύμιση στοιχείων λογαριασμού
   
 
Νέοι χρήστες
Εάν είστε νέος χρήστης, θα πρέπει να δημιουργήσετε ένα ΔΩΡΕΑΝ λογαριασμό προκειμένου να φύγει το παράθυρο αυτό και να αποκτήσετε πλήρη πρόσβαση στην υπηρεσία Νομοσκόπιο.
Δημιουργία νέου λογαριασμού

 

 

Προεδρικό Διάταγμα 12-10-1981: Περί τροποποιήσεως του από 21-11-1979 προεδρικού διατάγματος περί αναθεωρήσεως των όρων και περιορισμών δόμησης των οικοπέδων των περιοχών Διονύσου - Νέας Αιολίδας του ρυμοτομικού σχεδίου της Κοινότητας Σταμάτας (Αττικής), ως τροποποιήθηκε μεταγενέστερα, (ΦΕΚ 591/Δ/1981), 16-10-1981.

 

Ο Πρόεδρος της Ελληνικής Δημοκρατίας

 

Έχοντας υπόψη:

 

1. Τις διατάξεις του από 17-07-1923 νομοθετικού διατάγματος περί σχεδίων πόλεων κ.λ.π. ως μεταγενεστέρως τροποποιήθηκαν και συμπληρώθηκαν και ειδικότερα των άρθρων 9 και 85Α αυτού.

 

2. Τις διατάξεις του νόμου 1032/1980 περί συστάσεως Υπουργείου Χωροταξίας, Οικισμού και Περιβάλλοντος (ΦΕΚ 57/Α/1980) και ειδικότερα των άρθρων 2, 3 και 7 αυτού.

 

3. Την υπ' αριθμόν 812/1981 γνωμοδότηση του Συμβουλίου της Επικρατείας, με πρόταση του Υπουργού Χωροταξίας, Οικισμού και Περιβάλλοντος, αποφασίζουμε:

 

Άρθρο μόνο

 

Το εδάφιο α της παραγράφου 7 του άρθρου 2 του από 21-11-1979 προεδρικού διατάγματος περί αναθεωρήσεως των όρων και περιορισμών δόμησης των οικοπέδων των περιοχών Διονύσου - Νέας Αιολίδας του ρυμοτομικού σχεδίου της Κοινότητας Σταμάτας (Αττικής) (ΦΕΚ 710/Δ/1981) ως το εδάφιον τούτο αντικαταστάθηκε με το άρθρο μόνο του από 06-08-1980 προεδρικού διατάγματος περί τροποποιήσεως του από 21-11-1979 προεδρικού διατάγματος περί αναθεωρήσεως των όρων και περιορισμών δόμησης κ.λ.π. (ΦΕΚ 451/Δ/1980) αντικαθίσταται ως ακολούθως:

 

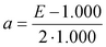
{7. α) Επιτρέπεται η ανέγερσις περισσοτέρων της μιας οικοδομής επί του αυτού οικοπέδου κατά τις διατάξεις του Γενικού Οικοδομικού Κανονισμού άνευ υπερβάσεως των οριζομένων εις τις παραγράφους 4 και 5 του παρόντος άρθρου μεγίστων επιτρεπομένων (ποσοστού καλύψεως και συντελεστού δομήσεως) και εφόσον πληρώνεται η ακόλουθος σχέσις:

 

Eqn572

 

όπου:

 

α ο αριθμός των επιτρεπομένων οικοδομών πέραν της κυρίας τοιαύτης και

Ε το εμβαδόν του οικοπέδου (m2).

 

Η μεγίστη τιμή την οποίαν δύναται να λαμβάνει το α είναι α = 2. Εις περίπτωσιν καθ' ην το α προκύπτει δεκαδικός αριθμός δια τον υπολογισμό λαμβάνεται υπόψη το ακέραιον ψηφίον.

 

Δεν έχει εφαρμογήν η ως άνω σχέσις επί οικοπέδων μεταβιβασθέντων εξ αδιαιρέτου δια πράξεων που συντάχθηκαν μέχρι της 14-12-1979 επιτρεπομένης εν προκειμένω της ανεγέρσεως εντός του αυτού οικοπέδου, περισσοτέρων της μιας οικοδομής, άνευ υπερβάσεως των οριζομένων εις τις παραγράφους 4 και 5 του παρόντος άρθρου ποσοστού καλύψεως και συντελεστού δομήσεως.

 

Η ελαχίστη απόστασις μεταξύ των ανεγερθησομένων οικοδομών επί του αυτού οικοπέδου ορίζεται σύμφωνα με το άρθρο 85 παράγραφος 5 του Γενικού Οικοδομικού Κανονισμού και εάν το προκύπτον είναι έλασσον των 5 m, εφαρμόζεται το ελάχιστον τούτο όριον.}

 

Εις τον Υπουργόν Χωροταξίας, Οικισμού και Περιβάλλοντος αναθέτουμε την δημοσίευση και εκτέλεσιν του παρόντος Διατάγματος.

 

Εν Αθήναις τη 12-10-1981

 

Ο Πρόεδρος της Δημοκρατίας

 



Copyright © 2017 TechnoLogismiki. Με την επιφύλαξη παντός δικαιώματος.