| Συνδεθείτε στην Υπηρεσία Νομοσκόπιο | | | | | Νέοι χρήστες | | Εάν είστε νέος χρήστης, θα πρέπει να δημιουργήσετε ένα ΔΩΡΕΑΝ λογαριασμό προκειμένου να φύγει το παράθυρο αυτό και να αποκτήσετε πλήρη πρόσβαση στην υπηρεσία Νομοσκόπιο. | | Δημιουργία νέου λογαριασμού | | |
1. Για τον υπολογισμό των πλημμυρικών παροχών εφαρμόζεται ο τύπος:

Όπου:
i: η μέση ένταση βροχόπτωσης διάρκειας ίσης με το χρόνο συρροής των υδάτων από την επιφάνεια F μέχρι την υπό εξέταση διατομή του ρεύματος.
F: η λεκάνη απορροής και
C: ο συντελεστής απορροής πλημμύρας.
2. Ο συντελεστής C ορίζεται με τη σχέση:

Ο συντελεστής C μπορεί να υπολογιστεί από τη σχέση C=1-C' ως συνάρτηση των τοπογραφικών συνθηκών, των συνθηκών εδάφους και της φυτικής κάλυψης. Ο συντελεστής C' μπορεί να λάβει τις εξής τιμές:
Τύπος επιφάνειας
|
C'
|
α) Τοπογραφικές συνθήκες:
|
Επίπεδα εδάφη μέσων κλίσεων 0,15% - 0,50%
|
0,30
|
Κλιτύες μέσων κλίσεων 2,50% -3,50%
|
0,20
|
Λοφώδη εδάφη μέσων κλίσεων 25,0% - 35,0%
|
0,10
|
β) Φύση εδάφους:
|
Αδιαπέρατες άργιλοι
|
0,10
|
Μέσες συνθήκες αργίλων και πηλών
|
0,20
|
Αμμοπηλοί
|
0,40
|
γ) Φυτική κάλυψις:
|
Καλλιεργήσιμοι γαίες
|
0,10
|
Δενδροκάλυψη
|
0,20
|
3. Ο χρόνος συρροής των υδάτων μέχρι την υπό εξέταση διατομή του ρεύματος για απλές λεκάνες και φυσική κοίτη ακανόνιστης διατομής, μπορεί να υπολογιστεί κατά GIANDOTTI, ήτοι μέσω της σχέσης:

όπου:
Τ: ο χρόνος συρροής εκφρασμένος σε h.
F: η επιφάνεια (οριζόντια προβολή) της λεκάνης απορροής εκφρασμένη σε km2.
L: το μήκος διαδρομής μέσω της φυσικής κοίτης εκφρασμένο σε km.
Η: το μέσο υψόμετρο της λεκάνης απορροής, εκφρασμένο σε m, δηλαδή η μέση τεταγμένη της υψομετρική καμπύλης. Η υψομετρική καμπύλη χαράσσεται σε σύστημα συντεταγμένων με τεταγμένη το υψόμετρο και τετμημένη την επιφάνεια των εκτάσεων που βρίσκονται πάνω από το υψόμετρο αυτό (km2 - οριζόντιες προβολές). Το μέσο υψόμετρο πρέπει να αναφέρεται στο τμήμα της λεκάνης απορροής, το οποίο αντιστοιχεί στην υπό διερεύνηση διατομή του ρεύματος.
h: το υψόμετρο πυθμένα κοίτης στην εκάστοτε εξεταζόμενη διατομή ρεύματος.
Επισημαίνονται:
α) Ότι ο τύπος του GIANDOTTI δίνει το συνολικό χρόνο συρροής μέχρι την εξεταζόμενη θέση του ρεύματος, ήτοι το άθροισμα του χρόνου ροής δια την επιφάνεια των κλιτύων και του χρόνου διαδρομής μέσω της κοίτης του ρεύματος και
β) Ότι ο υπόψη τύπος μπορεί να τυγχάνει εφαρμογής μόνο επί λεκανών, δηλαδή λεκανών που εμφανίζουν σαφώς μία κύρια μισγάγγεια και που δεν αποτελούνται από περισσότερες από μία σημαντικές υπολεκάνες.
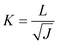
4. Ο χρόνος συρροής των υδάτων, επί πεδινών περιοχών έκτασης το πολύ 5 mi2 δηλαδή περίπου 13 km2, μέχρι την εξεταζόμενη διατομή του ρεύματος, για απλές λεκάνες και φυσική κοίτη ακανόνιστης διατομής, μπορεί να υπολογιστεί κατά KIRPICH, μέσω της σχέσης:

όπου:
, καλούμενος τοπογραφικός δείκτης.
Τ: Ο χρόνος συρροής εκπεφρασμένος σε min
L: Το μήκος διαδρομής μέσω της φυσικής κοίτης εκφρασμένο σε m και
J: Η μέση κατά μήκος κλίση της φυσικής κοίτης.
Επισημαίνονται:
α) Ότι ο τύπος του KIRPICH δίνει το χρόνο που παρέρχεται μεταξύ της έναρξης ανύψωσης των υδάτων στην εξεταζόμενη θέση του ρεύματος και της επίτευξης της μέγιστης στάθμης, δηλαδή ο υπόψη τύπος δίνει τη διάρκεια του ανιόντος κλάδου του υδρογραφήματος της πλημμύρας. Κατά την εφαρμογή της ορθολογικής μεθόδου, ο χρόνος βροχοπτώσεως είναι δυνατόν να ληφθεί ίσος προς τον υπολογιζόμενο χρόνον συρροής δια του ανωτέρω τύπου, χωρίς προσαύξηση της τιμής με το χρόνο ροής επί της επιφάνειας των κλιτύων.
β) Ότι ο υπόψη τύπος μπορεί να εφαρμοστεί μόνο για τον υπολογισμό του χρόνου ροής κατά μήκος μιας μισγάγγειας.
γ) Ο υπόψη τύπος είναι δυνατόν να εφαρμοστεί και σε λεκάνη απορροής με αισθητά αύξουσα κλίση της φυσικής κοίτης προς τα ανάντη. Στην περίπτωση αυτή μπορεί σε πρώτη προσέγγιση να λαμβάνεται τα 70% του μήκους της κοίτης ως χαμηλή κοίτη και τα 30% του μήκους ως υψηλή κοίτη και να προσδιορίζεται η αντίστοιχη μέση κλίση JΧΑΜ. και JΥΨΗΛ. Για την εφαρμογή του τύπου λαμβάνονται K=KΧΑΜ. + ΚΥΨΗΛ.
5. Ο χρόνος διαδρομής, μέσω φυσικών κοιτών με σαφή και γνωστή διατομή η μέσω τεχνητών κοιτών, μπορεί να υπολογίζεται ή τουλάχιστον να ελέγχεται βάσει των γεωμετρικών και φυσικών στοιχείων των διατομών της κοίτης. Στις ανωτέρω περιπτώσεις, πρέπει να προστίθεται και ο χρόνος ροής μέσω της επιφάνειας των κλιτύων, έτσι ώστε να καθοριστεί ο συνολικός χρόνος συρροής μέχρι την εξεταζόμενη διατομή του ρεύματος.
6. Για την εφαρμογή της ορθολογικής μεθόδου υπολογισμού των πλημμυρικών παροχών, προκειμένου για λεκάνη που αναλύεται σε σημαντικές υπολεκάνες, υπολογίζεται για κάθε μια από τις υπολεκάνες ο χρόνος συρροής και λαμβάνεται ως χρόνος βροχοπτώσεως για το σύνολο της λεκάνης ο μεγαλύτερος χρόνος συρροής που έχει υπολογιστεί.
Επισημαίνεται ότι η ορθολογική μέθοδος δεν μπορεί να εφαρμόζεται ανεπιφύλακτα για απεριόριστα μεγάλες εκτάσεις όπως π.χ. για εκτάσεις μεγαλύτερες από 50 mi2 = 130 km2 και πάντως δεν μπορεί να εφαρμόζεται παρά μόνο εφόσον πρόκειται για λεκάνες που έχουν υδρολογική ενότητα, η οποία προσδιορίζεται π.χ. από τα στοιχεία βροχής, τους συντελεστές απορροής κ.λ.π.
Στις παραπάνω απαγορευτικές περιπτώσεις ενδείκνυται η εφαρμογή ακριβέστερων μεθόδων, που ανταποκρίνονται στις εκάστοτε συνθήκες π.χ. μέσω της σύνθεσης υδρογραφημάτων των επιμέρους λεκανών.