Προεδρικό διάταγμα 696/74 - Άρθρο 209

Άρθρο 209: Βασικές αρχές εκπόνησης μελετών έργων αποχέτευσης πόλεων και οικισμών


Συνδεθείτε στην Υπηρεσία Νομοσκόπιο
Είσοδος στην υπηρεσία Νομοσκόπιο.
   
Χρήστης
Κωδικός
  Υπενθύμιση στοιχείων λογαριασμού
   
 
Νέοι χρήστες
Εάν είστε νέος χρήστης, θα πρέπει να δημιουργήσετε ένα ΔΩΡΕΑΝ λογαριασμό προκειμένου να φύγει το παράθυρο αυτό και να αποκτήσετε πλήρη πρόσβαση στην υπηρεσία Νομοσκόπιο.
Δημιουργία νέου λογαριασμού

 

 

1. Περίμετρος των έργων που μελετώνται.

 

α) Η μελέτη πρέπει να εκτείνεται κατά κανόνα στην περιοχή του εγκεκριμένου ρυμοτομικού σχεδίου της πόλης, επιτρέπεται όμως, κατ' εξαίρεση, να επεκταθεί και επί της τυχόν υφιστάμενης οικοδομημένης περιοχής που βρίσκεται εκτός σχεδίου πόλης, όπου υπάρχουν λίγο ή πολύ διαμορφωμένες οικοδομικές γραμμές, μετά από τη σύμφωνη γνώμη του οικείου Δήμου ή Κοινότητας και του τυχόν υπάρχοντος Οργανισμού Αποχέτευσης.

 

β) Η σχετική πρόταση του Μελετητή πρέπει να είναι σύμφωνη με τις προβλέψεις της τυχόν υφιστάμενης χωροταξικής μελέτης της ευρύτερης περιοχής και του τυχόν υπάρχοντος ρυθμιστικού σχεδίου της πόλης και της γύρω αυτής περιοχής. Πάντως, κατά την εκπόνηση της μελέτης, πρέπει να γίνει πρόβλεψη εξυπηρέτησης των πιθανών μελλοντικών αναγκών των γειτονικών περιοχών.

 

γ) Η προμελέτη των αποχετευτικών έργων της πόλεως εκτείνεται στην έκταση που ορίζεται με την εγκριτική απόφαση της προκαταρκτικής έκθεσης, και η οριστική μελέτη αντίστοιχα εκτείνεται στην έκταση η οποία ορίζεται με την εγκριτική απόφασης της προμελέτης.

 

2. Δίκτυα ακαθάρτων υδάτων.

 

α) Το δίκτυο ακαθάρτων πρέπει να μελετηθεί για τις συνθήκες (πληθυσμού και κατανάλωσης ύδατος) 40ετίας (έτος στόχος).

β) Εντός της περιμέτρου του εγκεκριμένου ρυμοτομικού σχεδίου της πόλεως, αγωγοί ακαθάρτων πρέπει να προβλέπονται σε όλες τις εγκεκριμένες οδούς και μόνο σε αυτές.

γ) Οι κύριοι αγωγοί προβλέπονται, κατά το δυνατό, σε διανοιγμένες οδούς.

δ) Αγωγοί ακαθάρτων υδάτων προβλέπονται επίσης στις οδούς, που βρίσκονται εκτός του εγκεκριμένου ρυμοτομικού σχεδίου, αλλά εντός της εγκρινομένης περιμέτρου της μελέτης κατά τα οριζόμενα στο εδάφιο α της παραγράφου 1 του παρόντος, και οι όποιες οδοί προβλέπεται ότι θα διατηρηθούν κατά την επέκταση του σχεδίου.

 

3. Εγκαταστάσεις επεξεργασίας ακαθάρτων υδάτων.

 

α) Οι εγκαταστάσεις επεξεργασίας ακαθάρτων υδάτων πρέπει να καλύπτουν τις μετά εικοσαετία ανάγκες οικιακών λυμάτων από άποψη παροχής και φύσεως καθώς και βιομηχανικών και άλλων αποβλήτων, για τα οποία υφίστανται βάσιμα δεδομένα και σκοπιμότητα (από τεχνική, οικονομική και γενικότερη άποψη) κοινών εγκαταστάσεων επεξεργασίας.

β) Στη μελέτη περιλαμβάνεται η επεξεργασία και η διάθεση της ιλύος.

γ) Κατά την μελέτη πρέπει να (κατά το δυνατόν) συγκεντρώνονται στοιχεία και να διερευνάται η τυχόν απαιτουμένη προεπεξεργασία των βιομηχανικών και άλλων αποβλήτων και η σκοπιμότητα (από τεχνική, οικονομική και γενικότερη άποψη) πρόβλεψης ιδίων εγκαταστάσεων αυτών. Καταρχήν στο αντικείμενο της μελέτης δεν περιλαμβάνονται οι εγκαταστάσεις προεπεξεργασίας των βιομηχανικών και άλλων αποβλήτων, όπως και οι εγκαταστάσεις πλήρους επεξεργασίας αυτών.

δ) Για τον καθορισμό του απαιτούμενου χώρου για τις προαναφερόμενες εγκαταστάσεις, πρέπει να ληφθούν υπόψη οι συνθήκες μετά 40ετία, κατά το δυνατόν πρέπει να γίνει πρόβλεψη χρονικής κλιμάκωσης της κατασκευής των εγκαταστάσεων επεξεργασίας ακαθάρτων υδάτων. Κατά τη χρονική αυτή κλιμάκωση, πρέπει να ληφθεί υπόψη, η εκ των πραγμάτων ασάφεια των προβλέψεων για την εξέλιξη του όγκου της φύσεως των βιομηχανικών αποβλήτων. Σε ειδικές περιπτώσεις π.χ. πολύ μικρών εγκαταστάσεων, δεν γίνεται πρόβλεψη τέτοιας χρονικής κλιμάκωσης.

ε) Πριν από την οριστικοποίηση της θέσης των εγκαταστάσεων επεξεργασίας ακαθάρτων υδάτων, πρέπει να εξετάζεται η ύπαρξη και η δυνατότητα απόκτησης από το Δήμο ή τον Οργανισμό Αποχέτευσης των απαιτούμενων εκτάσεων και οι επιπτώσεις στις γειτονικές περιοχές, ζητώντας τη γνώμη του Δήμου ή της Κοινότητας και του τυχόν Οργανισμού Αποχέτευσης.

 

4. Έργα εκβολής στον αποδέκτη.

 

α) πρέπει να διερευνώνται οι επιπτώσεις της εκβολής των ακαθάρτων υδάτων στον αποδέκτη, σε σχέση με την προβλεπόμενη χρήση των υδάτων αυτού, και των παρακειμένων περιοχών. Μετά τον καθορισμό του σημείου εκβολής των ακαθάρτων υδάτων στον αποδέκτη, πρέπει το σημείο αυτό να οριστικοποιηθεί με την έκδοση της προβλεπόμενης απόφασης της αρμόδιας αρχής, κατά τις προβλέψεις των εκάστοτε ισχυουσών υγειονομικών διατάξεων.

β) Ειδικά στην περίπτωση εκβολής των ακαθάρτων υδάτων στη θάλασσα, πρέπει να ερευνάται το θέμα της διασποράς των ακαθάρτων υδάτων, σε σχέση με τη ρύπανση και την ενδεχόμενη μόλυνση των υδάτων των ακτών και του πυθμένα και τη χρήση αυτών π.χ. με θαλάσσια λουτρά, καλλιέργεια οστρακοειδών κ.λ.π.

γ) Για τον καθορισμό του σημείου εκβολής στη θάλασσα, πρέπει να συγκεντρωθούν τα απαραίτητα υδρογραφικά και βυθομετρικά στοιχεία και με βάση αυτά και με στοιχεία που αναφέρονται στην φύση του πυθμένα πρέπει να καθορισθεί το μήκος του αγωγού εκβολής, το βάθος και το τέρμα αυτού και η διάταξη των τυχόν πολλαπλών στομίων εκβολής (διαχυτήρων), για την εξασφάλιση ταχείας ανάμιξης και σημαντικής αρχικής αραίωσης.

 

5. Παροχές υπολογισμού αγωγών ακαθάρτων υδάτων.

 

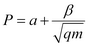
Για τη μελέτη των έργων αποχέτευσης ακαθάρτων υδάτων, επιτρέπεται να λαμβάνεται υπόψη ως μέση ημερήσια παροχή ακαθάρτων υδάτων qM ποσοστό 80% της μέσης ημερήσιας κατανάλωσης νερού, κατά την ημέρα της μεγαλύτερης κατανάλωσης κατά την διάρκεια του έτους. Η μέση αυτή ημερήσια κατανάλωση νερού υπολογίζεται βάσει της κατά κεφαλής 24ώρου κατανάλωσης, κάτω από τις μελλοντικές συνθήκες αριθμού κατοίκων και κατανάλωσης. Κατά περίπτωση, επιτρέπεται η παραδοχή ομοιόμορφης κατανομής της κατανάλωσης σε όλο το 24ωρο ή κατά αιτιολογημένο κλάσμα αυτού. Τα δίκτυα πρέπει να υπολογίζονται για τη μέγιστη (κατά την διάρκεια της ημέρας) παροχή, που προκύπτει από την προαναφερόμενη μέσης παροχή qM, μετά από πολλαπλασιασμό την επί το συντελεστή ημερήσιας αιχμής P. Ως συντελεστής αιχμής P επιτρέπεται να ληφθεί ο ακόλουθος:

 

Eqn061

 

Για συνήθεις περιπτώσεις α = 1,50 και β = 2,50 (του qM που είναι εκφρασμένο σε lit/sec).

Για το P λαμβάνονται τιμές που δεν υπερβαίνουν το 3.

 

Η παροχή εισροής ομβρίων και υπογείων υδάτων στο δίκτυο ακαθάρτων υδάτων πρέπει να προστίθεται στην υπολογιζόμενη παραπάνω παροχή ακαθάρτων υδάτων, μετά από εκτίμησή της κατά περίπτωση.

 

6. Επιλογή διατομής αγωγών ακαθάρτων υδάτων.

 

α) Στις διατομές των αγωγών ακαθάρτων υδάτων πρέπει να προβλέπεται ελεύθερο ύψος πάνω από την Α.Σ.Υ., για την εξασφάλιση αερισμού του δικτύου. Ορίζονται για αυτό τα παρακάτω μέγιστα επιτρεπόμενα ποσοστά πλήρωσης των διατομών (hπ είναι το ελεύθερο ύψος του αγωγού):

 

α)α) Για κυκλικές διατομές διαμέτρου μέχρι 40 cm ποσοστό h/hπ = 50%

α)β) Για κυκλικές διατομές διαμέτρου 50-60 cm ποσοστό h/hπ = 60%

α)γ) Για κυκλικές διατομές μεγαλύτερης διαμέτρου και τις λοιπές τυποποιημένες διατομές ποσοστό h/hπ = 70%

α)δ) Προκειμένου για υφιστάμενους αγωγούς, των οποίων ελέγχεται η παροχετευτικότητα επιτρέπεται ποσοστό πλήρωσης h/hπ = 80%

 

Σε κάθε περίπτωση πρέπει η Α.Σ.Υ. να είναι μικρότερη της στάθμης που αντιστοιχεί στο ελάχιστο εκείνο βάθος νερού, για το οποίο Q/Qπ = 1,00 με σκοπό τη διασφάλιση της σταθερότητας της ροής.

 

β) Ως ελάχιστη διάμετρος κυκλικών αγωγών ορίζεται αυτή των 20 cm. Η μέγιστη διάμετρος των κυκλικής διατομής αγωγών, εξαρτάται από το υλικό κατασκευής των σωλήνων, πρέπει να μην υπερβαίνει τη μέγιστη διάμετρο των σωλήνων που κατασκευάζονται στην Ελλάδα ή αυτών που μπορούν να κατασκευασθούν. Η μέγιστη διάμετρος των επιτόπου κατασκευαζόμενων αγωγών κυκλικής διατομής εξαρτάται από τη σκοπιμότητα, τη μέθοδο και το κόστος κατασκευής. Ως ελάχιστη ωοειδής διατομή ορίζεται η διατομή 69/90 cm.

 

γ) Στους αγωγούς ακαθάρτων υδάτων από σκυρόδεμα πρέπει να προβλέπεται επένδυση σε κατάλληλο ύψος με αργιλοπυριτικά πλακίδια ή ειδικά αργιλοπυριτικά τεμάχια.

δ) Τα όρια χρήσης των αγωγών από PVC, αμιαντοτσιμέντου, αργιλοπυριτικό υλικό και σκυρόδεμα πρέπει να προσδιορίζονται κατόπιν τεχνικοοικονομικής διερεύνησης και λαμβάνοντας υπόψη τις ειδικές συνθήκες κατά περιοχές (στάθμη υπογείων υδάτων, έδαφος κ.λ.π.).

ε) Η μέγιστη επιτρεπομένη ταχύτητα ροής στους αγωγούς ορίζεται, καταρχήν σε 6 m/sec και επισημαίνεται ότι εξαρτάται από το είδος και τις ειδικές συνθήκες, υπό τις οποίες αυτός τελεί. Παρέκκλιση από το όριο ταχύτητας επιτρέπεται σε ειδικές περιπτώσεις, κατόπιν αιτιολογήσεως, με σκοπό π.χ. αποφυγή έργων πτώσης.

στ) Οι ελάχιστες επιτρεπόμενες κλίσεις των αγωγών ακαθάρτων υδάτων πρέπει να καθορισθούν, λαμβάνοντας για αυτό υπόψη την απαιτούμενη ελάχιστη ταχύτητα αυτοκαθαρισμού π.χ. 0,30 m/sec για παροχή ίση με το 1/10 της παροχετευτικότητας πλήρους διατομής. Επιτρέπονται παρεκκλίσεις από τους κανόνες καθορισμού της ελάχιστης επιτρεπομένης κλίσεως σε ειδικές περιπτώσεις όπως π.χ. με σκοπό την αποφυγή αντλιοστασίων ανύψωσης ή αντιμετώπισης θεμάτων υψηλής στάθμης υπογείων υδάτων.

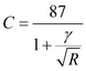
ζ) Οι διατομές των αγωγών επιτρέπεται να υπολογίζονται με εφαρμογή του τύπου του CHEZY δηλαδή του τύπου Eqn062 όπου ο συντελεστής C καθορίζεται με εφαρμογή του τύπου BAZIN Eqn063με τιμή του συντελεστή ροής = 0,25. Επιτρέπεται με τον ίδιο τρόπο ο συντελεστής C να καθορισθεί με τον τύπο KUTΤER Eqn064 με τιμή του συντελεστή m - 0,35 (Ταχύτητα εκφρασμένη σε m/sec υδραυλική ακτίνα σε m και κλίση σε m/m).

 

Σε κάθε περίπτωση χρήσης άλλων τύπων υδραυλικών υπολογισμών ή άλλων παραμέτρων απαιτείται αιτιολόγηση και αποδοχή της αρμόδιας Υπηρεσίας Υπουργείου Δημοσίων Έργων. Ειδικές περιπτώσεις πρέπει να αντιμετωπίζονται με τύπους και παραμέτρους που ανταποκρίνονται στο πρόβλημα που τίθεται. Στους μεγάλους αγωγούς και μάλιστα σε μεγάλες ταχύτητες, πρέπει να λαμβάνεται υπόψη και η προκύπτουσα αύξηση του βάθους ροής, λόγω προσρόφησης αέρα και η υπερύψωση του νερού σε τυχόν καμπύλα τμήματα, που επιτρέπει την προσαύξηση του ποσοστού πληρώσεως (σε κλειστές διατομές).

 

7. Αντλιοστάσια ακαθάρτων υδάτων.

 

πρέπει να διερευνώνται οι επιπτώσεις διακοπής της λειτουργίας των αντλιοστασίων (π.χ. λόγω βλάβης ή διακοπής του ρεύματος) και να προβλέπονται έργα υπερχείλισης των ακαθάρτων υδάτων. Το δομικό μέρος των αντλιοστασίων πρέπει να επαρκή στατικά σε μία τέτοια περίπτωση. Με μέριμνα της Επιβλέπουσας Υπηρεσίας πρέπει να ενημερώνεται ο ενδιαφερόμενος Δήμος ή Κοινότητα σχετικά με τις προτεινόμενες θέσεις κατασκευής των αντλιοστασίων, για τη διατύπωση γνώμης.

 

8. Δίκτυα ομβρίων υδάτων.

 

α) Στη μελέτη των αποχετευτικών έργων ομβρίων υδάτων πρέπει να περιλαμβάνονται και τα διασχίζοντα ή ευρισκόμενα σε επαφή με την πόλη ρεύματα, από άποψη διευθέτησης ή και χρήσης τους ως αποδέκτες ομβρίων υδάτων. Η διευθέτηση των ρευμάτων αυτών πρέπει να μελετάται και εκτός της περιμέτρου των δικτύων, σε μήκος κατά κανόνα 2 km (εάν αυτό απαιτείται), εκτός ειδικών περιπτώσεων ή άλλης πρόβλεψης στη σύμβαση. Τα ρεύματα διευθετούνται προβλέποντας ανοικτή διατομή, με εξαίρεση τις περιπτώσεις κατά τις οποίες πολεοδομικοί λόγοι επιβάλλουν διευθέτηση με κλειστή διατομή. Σε κάθε περίπτωση δεν προτείνεται κάλυψη ρεύματος, εάν υφίσταται σοβαρός κίνδυνος πρόσχωσης. Σε σημαντική στερεοπαροχή πρέπει να διερευνάται το ενδεχόμενο διάβρωσης ή πρόσχωσης των έργων και επισημαίνεται η ανάγκη εκπόνησης μελέτης έργων ορεινής υδρονομίας. Πρέπει με μέριμνα της Επιβλέπουσας Υπηρεσίας, να ενημερώνεται σχετικά η Γενική Διεύθυνση Δασών του Υπουργείου Γεωργίας.

 

β) Εντός της περιμέτρου του εγκεκριμένου ρυμοτομικού σχεδίου της πόλεως, αγωγοί ομβρίων υδάτων πρέπει να προβλέπονται στις εγκεκριμένες και μόνο οδούς και εφόσον αυτό είναι αναγκαίο. Δεν είναι καταρχήν ενδεδειγμένη η κατασκευή αγωγών ομβρίων υδάτων σε όλες τις οδούς, επιτρέποντας ενίοτε επιφανειακή απορροή των υδάτων. Οι κύριοι αγωγοί πρέπει να προβλέπονται, κατά το δυνατόν, στις οδούς, των οποίων έχει πραγματοποιηθεί η διάνοιξη. Αγωγοί ομβρίων υδάτων προβλέπονται επίσης στις οδούς που βρίσκονται εκτός του εγκεκριμένου ρυμοτομικού σχεδίου, αλλά εντός της εγκρινόμενης περιμέτρου της μελέτης, και οι οποίες οδοί προβλέπεται ότι θα διατηρηθούν κατά την επέκταση του σχεδίου.

 

9. Παροχές υπολογισμού αγωγών ομβρίων υδάτων.

 

Η παροχή Q από μια λεκάνη απορροής F επιτρέπεται να υπολογίζεται από τον τύπο:

 

Eqn065

 

όπου:

C = ο συντελεστής απορροής αιχμής πλημμύρας και

i = η μέση ένταση βροχής διάρκειας ίσης με το χρόνο, που απαιτείται για τη συρροή των υδάτων από το απώτατο σημείο της λεκάνης απορροής F μέχρι της εξεταζόμενη θέση.

 

Οι συντελεστές απορροής αιχμής πλημμύρας για τις εκτός πόλεως λεκάνες, εκτιμώνται ως εξής:

 

Για τις ορεινές λεκάνες C = 0,60

Για τις λοφώδεις εκτάσεις C = 0,50

Για τις πεδινές περιοχές C = 0,30

 

Οι συντελεστές απορροής αιχμής πλημμύρας για την περιοχή εντός πολεοδομικού σχεδίου καθορίζονται κατά ζώνες με βάση την πυκνότητα οίκησης.

Οι συντελεστές απορροής σε εκτάσεις εντός πόλεως λαμβάνονται πάντοτε τουλάχιστον ίσοι με τους καθοριζόμενους για την ίδια περιοχή, εάν αυτή είναι εκτός πόλης. Για λεκάνες απορροής που εκτείνονται σε περισσότερες της μιας ζώνης, ο μέσος συντελεστής απορροής ορίζεται από τον τύπο:

 

Eqn066

 

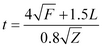
Ο χρόνος συρροής μέχρι την είσοδο των υδάτων στα στόμια υδροσυλλογής εκτιμάται, από συνήθεις συνθήκες για περιοχές εντός πόλης, σε 10 πρώτα λεπτά. Ο χρόνος συρροής από λεκάνες μιας κυρίας μισγάγγειας, για την οποία δεν προβλέπεται διευθέτηση, επιτρέπεται να εκτιμάται κατά GIANTOTTI:

 

Eqn067

 

όπου:

t = ο χρόνος συρροής σε ώρες

F = η επιφάνεια της λεκάνης σε km2

L = το μήκος της κυρίας μισγάγγειας σε km.

Z = η υψομετρική διαφορά του μέσου υψομέτρου της λεκάνης από το υψόμετρο εκβολής.

 

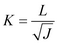
Ο χρόνος ροής σε φυσικά ρεύματα, για τα οποία δεν προβλέπεται διευθέτηση, υπολογίζεται υδραυλικά ή εκτιμάται. Ως ένα κριτήριο για την εκτίμηση του χρόνου ροής σε φυσικά ρεύματα είναι δυνατόν να χρησιμοποιηθεί ο τύπος του KIRPICH:

 

Eqn068

 

όπου:

Κ = Eqn069 ο καλούμενος γραφικός δείκτης.

t = ο χρόνος ροής σε πρώτα λεπτά.

L = το μήκος του ρεύματος σε km.

J = η μέση κατά μήκος κλίση της φυσικής κοίτης.

 

Ο τύπος του KIRPICH εφαρμόζεται ανά τμήματα, περίπου σταθερής κατά μήκος κλίσης. Ο χρόνος ροής εντός τεχνητών αγωγών υπολογίζεται υδραυλικά.

 

Καταρχήν, πρέπει να λαμβάνεται υπόψη η συχνότητα επαναφοράς των βροχών 1:10 για τους κεντρικούς συλλεκτήρες ομβρίων υδάτων και κατά κανόνα 1:5 για τους λοιπούς αγωγούς, εκτός ειδικών περιπτώσεων, όπου δύναται να ληφθεί υπόψη συχνότητα 1:2. Το θέμα αυτό πρέπει να διερευνάται βάσει των ειδικών συνθηκών των προς αποχέτευση περιοχών και των υφιστάμενων δυνατοτήτων επιφανειακής απορροής. Για την εκτίμηση των παροχών υπολογισμού των κυρίων αντιπλημμυρικών έργων, τυχόν ανεπάρκεια των οποίων είναι δυνατόν να προκαλέσει σημαντικές ζημιές, λαμβάνεται υπόψη βροχή αραιότερα εμφανιζόμενη. Ο καθορισμός της συχνότητας της βροχής αυτής, εξαρτάται από την έκταση των πιθανών ζημιών και από τη δαπάνη κατασκευής του έργου, και αποτελεί εκάστοτε αντικείμενο ειδικών προτάσεων. Για αποδέκτες ομβρίων μεγαλύτερης σημασίας, η παροχή υπολογισμού δεν ορίζεται μόνο βάσει της βροχής διάρκειας ίσης με το χρόνο συρροής, αλλά ορίζεται με βροχές διάρκειας από δέκα λεπτά μέχρι διάρκειας ίσης με το χρόνο συρροής.

 

Στον τύπο υπολογισμού:

 

Eqn065

 

εισάγεται η, σε κάθε διάρκεια, αντιστοιχούσα ένταση ι και το εμβαδόν F του μέρους της λεκάνης από το οποίο, για την εξεταζόμενη διάρκεια βροχής, απορρέουν ύδατα. Ως παροχή υπολογισμού σε κάθε θέση θεωρείται η εκάστοτε ευρισκομένη μέγιστη, έστω και αν αυτή προκύπτει από βροχή για την οποία απορρέουν ύδατα από μέρος μόνο της λεκάνης. Σε περιπτώσεις κατά τις οποίες κρίνεται αναγκαίο μπορεί κατά παρέκκλιση των παραπάνω να λαμβάνεται υπόψη ο αποθηκευμένος όγκος στους αγωγούς ή γενικά η ανάσχεση της πλημμυρικής παροχής, οπότε λαμβάνονται υπόψη βροχές τόσο μικρότερης όσον και μεγαλύτερης διάρκειας από το χρόνο συρροής. Οι δοκιμές επαναλαμβάνονται για διαφόρους χρόνους βροχόπτωσης χαράσσοντας το διάγραμμα Q, t μέχρις ότου να καθοριστεί η μέγιστη τιμή της απορροής Q. Παρέκκλιση από τις οδηγίες που δίδονται εδώ επιτρέπεται σε περιπτώσεις που αιτιολογούνται επαρκώς, προκειμένου για σημαντικές οικονομικά περιπτώσεις, για τις οποίες ενδείκνυται λεπτομερέστερη έρευνα. Σε σημαντικές περιπτώσεις από άποψη ασφάλειας του πληθυσμού, αποφυγής ζημιών και οικονομίας κατασκευής των έργων, απαιτείται λεπτομερέστερη έρευνα και εφαρμογή ακριβέστερων μεθόδων υπολογισμού των πλημμυρικών παροχών.

 

10. Επιλογή διατομής αγωγών ομβρίων υδάτων.

 

Ως ελάχιστη διατομή αγωγών ομβρίων υδάτων ορίζεται η κυκλική διατομή, εσωτερικής διαμέτρου 0.40 m. Τα όρια χρήσης των αγωγών από αμιαντοτσιμέντο και σκυρόδεμα, πρέπει να προσδιορίζονται κατόπιν τεχνικοοικονομικής διερεύνησης. Στους κλειστούς αγωγούς, πρέπει να τηρείται περιθώριο ασφάλειας, που να ανταποκρίνεται σε μέγιστο ποσοστό πλήρωσης:

 

h/hπ = 70%

 

Το περιθώριο αυτό ασφάλειας δεν θα υπερβαίνει το 1.00 m. Σε ανοικτούς αγωγούς, το περιθώριο ασφάλειας ορίζεται κατά περίπτωση.

 

Η Α.Σ.Υ. πρέπει να βρίσκεται σε τέτοιο βάθος από την επιφάνεια του οδοστρώματος, ώστε να είναι δυνατή η σύνθεση των στομίων υδροσυλλογής (με απαιτούμενο βάθος για αυτό τουλάχιστον 0,80 m). Οι διατομές των αγωγών επιτρέπεται όπως υπολογίζονται με εφαρμογή του τύπου του CHEZY:

 

Eqn062

 

όπου ο συντελεστής C καθορίζεται με εφαρμογή του τύπου του BAZIN:

 

Eqn063

 

με τιμή του συντελεστή γ = 0,46

 

Επιτρέπεται με τον ίδιο τρόπο ο συντελεστής C να καθοριστεί με τον τύπου του KUTTER:

 

Eqn064

 

με τιμή του συντελεστή m = 0,35

 

Σε κάθε περίπτωση χρήσης άλλων τύπων ή άλλων παραμέτρων απαιτείται αιτιολόγηση και αποδοχή της Υπηρεσίας. Σημαντικές διατομές επιτρέπεται να υπολογίζονται με τον τύπο του MANNING, δηλαδή με τον τύπο Eqn064a με κατάλληλη επιλογή του συντελεστή Κ.

 

Επισημαίνεται ότι η τιμή της παραμέτρου, εκτός των άλλων εξαρτάται και από την στερεοπαροχή. Ειδικές περιπτώσεις πρέπει να αντιμετωπίζονται με τύπους και παραμέτρους που ανταποκρίνονται στο εκάστοτε πρόβλημα που τίθεται.

 

Οι ελάχιστες επιτρεπόμενες κλίσεις των αγωγών ομβρίων πρέπει να καθορίζονται, λαμβάνοντας για αυτό υπόψη την απαιτούμενη ελάχιστη ταχύτητα για τον αυτοκαθαρισμό τους π.χ. 0.60 m/sec για παροχή ίση με το 1/10 της παροχετευτικότητας πλήρους διατομής, επιτρέποντας παρεκκλίσεις από τον κανόνα αυτό.

 

Η μέγιστη επιτρεπομένη ταχύτητα ροής στους αγωγούς ορίζεται, καταρχήν σε 6 m/sec και επισημαίνεται ότι εξαρτάται από το είδους του αγωγού, από τη στερεοπαροχή και από τις ειδικές συνθήκες υπό τις οποίες αυτός τελεί. Παρέκκλιση από το όριο ταχύτητας επιτρέπεται σε ειδικές περιπτώσεις, κατόπιν αιτιολογήσεως με σκοπό π.χ. αποφυγή έργων πτώσης. Σε μεγάλους αγωγούς και μάλιστα με μεγάλες ταχύτητες, πρέπει να λαμβάνεται υπόψη η αύξηση του βάθους ροής που προκύπτει λόγω προσρόφησης αέρα και η υπερύψωση του νερού στα καμπύλα τμήματα, που επιτρέπει προσαύξηση του ποσοστού πλήρωσης (σε κλειστές διατομές).

 

11. Πλάτος ορυγμάτων εγκατάστασης αγωγών.

 

Για τις προμετρήσεις και τον προϋπολογισμό της μελέτης, τα σκάμματα, για την επιτόπου κατασκευή ή τοποθέτηση των αγωγών υπονόμων, πρέπει να λαμβάνονται με κατακόρυφες παρειές και σταθερό (καθ' ύψος) πλάτος. Το πλάτος των σκαμμάτων αυτών λαμβάνεται ίσο με το άθροισμα της μεγαλύτερης εξωτερικής οριζόντιας διάστασης του εκάστοτε αγωγού και ελευθέρου εκατέρωθεν περιθωρίου (μέχρι την παρειά του σκάμματος) 35 cm. Σε κάθε περίπτωση το ελάχιστο πλάτος του σκάμματος πρέπει να λαμβάνεται ίσο με 80 cm. Τα παραπάνω ορίστηκαν, λαμβάνοντας υπόψη τις μέσες συνθήκες κατασκευής. Σε ειδικές περιπτώσεις (φύσεως εδάφους, μεθόδων εργασίας, εμποδίων από τα άλλα δίκτυα κ.λ.π.) επιτρέπονται παρεκκλίσεις, ως προς τη μορφή και τις διαστάσεις των σκαμμάτων. Στην μελέτη πρέπει να περιλαμβάνεται όρος, κατά τον οποίο, κατά την κατασκευή των έργων, προσαρμόζονται η μορφή και οι διαστάσεις των σκαμμάτων, ανάλογα με τις συνθήκες εδάφους που συναντώνται, τις μεθόδους εργασίας, τα παρεμβαλλόμενα εμπόδια κ.λ.π.

 

12. Υποθαλάσσιοι αγωγοί και έργα επί αιγιαλού - παραλίας - λιμενικών εγκαταστάσεων και στρατιωτικών περιοχών. Με τους υποθαλάσσιους αγωγούς, πρέπει να μη παρακωλύεται η χρήση των λιμενικών εγκαταστάσεων και οι θαλάσσιες συγκοινωνίες και απαιτείται σχετική σύμφωνα γνώμη των αρμοδίων αρχών (Αρχηγείο Ναυτικού - Λιμενικές Αρχές). Σε κάθε περίπτωση που προβλέπεται χρήση εκτάσεων αιγιαλού, παραλίας, λιμενικών εγκαταστάσεων ή διέλευσης από στρατιωτικές περιοχές, πρέπει να υπάρξει σύμφωνη γνώμη της αρμόδιας αρχής, που προκαλείται από την Επιβλέπουσα Υπηρεσία, κατόπιν πρότασης του Μελετητή.

 

13. Φορτία κυκλοφορίας επί του οδοστρώματος.

 

Τα εκάστοτε καθοριζόμενα υπό τους ισχύοντες κανονισμούς εκτός αν καθοριστεί διαφορετικά από την αρμόδια αρχή.

 

14. Τεχνικοί Κανονισμοί.

 

Κατά προτεραιότητα πρέπει να εφαρμόζονται οι ελληνικοί τεχνικοί κανονισμοί και προδιαγραφές. Στην περίπτωση που δεν υπάρχουν ελληνικοί κανονισμοί και προδιαγραφές, πρέπει να εφαρμόζονται ξένοι κανονισμοί και προδιαγραφές διεθνώς αποδεκτοί μετά την έγκριση της αρμόδιας αρχής.

 

15. Παρεκκλίσεις.

 

Επιτρέπονται αιτιολογημένες παρεκκλίσεις τόσο από τις προαναφερόμενες βασικές αρχές εκπόνησης της μελέτης, όσο και από τους λοιπούς όρους των γενικών προδιαγραφών εκπόνησης μελετών έργων αποχέτευσης πόλεων, με την έγκριση πάντοτε της αρμόδιας αρχής.

 

16. Χρήση ελληνικών προϊόντων.

 

Απαγορεύεται ο άμεσος ή έμμεσος αποκλεισμός με την εκπονούμενη μελέτη ελληνικών προϊόντων. Με τη μελέτη πρέπει να προσδιορίζονται τα υλικά, μηχανήματα, κ.λ.π. τα οποία αφού δεν κατασκευάζονται εγχώρια, πρέπει να εισαχθούν από το εξωτερικό, έτσι ώστε, πριν την έναρξη κατασκευής του έργου, να καθίσταται δυνατός ο απαιτούμενος έλεγχος, των σχετικών προβλεπόμενων δαπανών που καταχωρούνται και αναλύονται στο ίδιο κεφάλαιο του προϋπολογισμού (αξία προϊόντων, μεταφορικά, δασμοί κ.λ.π. επιβαρύνσεις στο σημείο εκτελωνισμού). Προκειμένου για εργασίες, για τις οποίες προβλέπεται η χρήση προϊόντων που εισάγονται από το εξωτερικό, πρέπει να συντάσσονται, για κάθε μία από τις εργασίες αυτές, δύο ξεχωριστά άρθρα τιμολογίου όπως στη συνέχεια:

 

Το ένα από τα άρθρα αυτά πρέπει να αναφέρεται στην αξία των εισαγόμενων προϊόντων, τα μεταφορικά, τους δασμούς και τις λοιπές επιβαρύνσεις στο σημείο εκτελωνισμού. Το άλλο από τα άρθρα αυτά πρέπει να αναφέρεται στις λοιπές δαπάνες. Με ειδική έκθεση του Μελετητή πρέπει να αιτιολογείται η ανάγκη εισαγωγής των υπόψη προϊόντων. Το κεφάλαιο του προϋπολογισμού, που αναφέρεται στις δαπάνες εισαγωγής προϊόντων, συνοδευόμενο από τα αντίστοιχα άρθρα του τιμολογίου καλείται ΠΙΝΑΚΑΣ. Ο ΠΙΝΑΚΑΣ, συνοδευόμενος από τη σχετική έκθεση, πρέπει να εγκρίνεται, πριν την υποβολή της μελέτης, από τις αρμόδιες υπηρεσίες του Υπουργείου Εμπορίου. Οι Υπηρεσίες αυτές μπορούν να προβούν σε διορθώσεις εφόσον περιλαμβάνονται από τον μελετητή στον ΠΙΝΑΚΑ προϊόντα που παράγονται ποιοτικά και ποσοτικά στην Ελλάδα.

 



Copyright © 2020 TechnoLogismiki. Με την επιφύλαξη παντός δικαιώματος.