| Συνδεθείτε στην Υπηρεσία Νομοσκόπιο | | | | | Νέοι χρήστες | | Εάν είστε νέος χρήστης, θα πρέπει να δημιουργήσετε ένα ΔΩΡΕΑΝ λογαριασμό προκειμένου να φύγει το παράθυρο αυτό και να αποκτήσετε πλήρη πρόσβαση στην υπηρεσία Νομοσκόπιο. | | Δημιουργία νέου λογαριασμού | | |
1. Ηχοστάθμη, ή σταθμισμένη στάθμη, ηχητικής πίεσης λέγεται το μέγεθος.
σε db (A) (1)
Όπου ΡΣ είναι η ενεργός τιμή της ηχητικής πίεσης, μετρημένης με ηχόμετρο μέσω του σταθμιστικού κυκλώματος Σ (Σ = Α, Β, C,...) και Ρ0 = 20 μPa η ηχητική πίεση αναφοράς. Έτσι έχουμε την Α - ηχοστάθμη (ή Α - στάθμη ηχητικής πίεσης) που δίνεται με τον τύπο:
σε dB (A) (2)
τη Β - ηχοστάθμη, τη C - ηχοστάθμη, κ.λ.π.
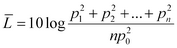
2. Χωρική μέση ηχοστάθμη, L,
σε dB (Σ) (3)
Όπου p0 = 20 μPa και p1, p2, ..., pn, είναι οι ενεργές τιμές της ηχητικής πίεσης μετρημένης με ηχόμετρο μέσω του σταθμιστικού κυκλώματος Σ (Σ = Α, Β,..) σε n σημεία, τυχαία κατανεμημένα σε όλο το δωμάτιο, εκτός από τις θέσεις όπου υπάρχει σημαντική επίδραση από το κοντινό πεδίο ηχητικών πηγών ή περατωτικών επιφανειών.
Δεδομένου ότι το ηχόμετρο δίνει συνήθως την τιμή της ηχοστάθμης
στο σημείο μέτρησης, ο τύπος (3) εφαρμόζεται με την πιο εύχρηστη μορφή:
σε dB (Σ) (4)
όπου L1, L2, ..., Ln οι τιμές της ηχοστάθμης στα σημεία 1, 2, ... n, αντίστοιχα. Στην εφαρμογή αυτής της Υγειονομικής Διάταξης, η μικρότερη και η μεγαλύτερη από τις τιμές L1, L2, ..., Ln δεν αναμένεται να διαφέρουν πολύ και ο τύπος (4) προσεγγίζεται με τον πιο απλό τύπο:
σε dB (Σ) (5)
Δηλαδή η χωρική μέση ηχοστάθμη L προσεγγίζεται με την αριθμητική μέση τιμή των L1, L2, ..., Ln.
3. Ηχοαπομόνωση D, μεταξύ δύο δωματίων είναι η διαφορά ανάμεσα στις χωρικές μέσες Α - ηχοστάθμες που δημιουργούνται στα δύο δωμάτια από τη λειτουργία πρότυπης ηχητικής πηγής στο ένα από αυτά, όπως περιγράφονται στο Παράρτημα Ι αυτής της Υγειονομικής Διάταξης.
D = L8 - Lr σε dB (Α) (6)
Όπου L8 είναι η χωρική μέση ηχοστάθμη στο δωμάτιο εκπομπής και Lr είναι η χωρική μέση Α-ηχοστάθμη στο δωμάτιο λήψης.
4. Μέγιστη Α - ηχοστάθμη LAMAX είναι η τιμή της Α - ηχοστάθμης, που επαναλαμβάνεται πολλές φορές κατά τη διάρκεια της μέτρησης.
5. Αερόφερτος ήχος είναι ο ήχος που φτάνει στα σημεία που ενδιαφέρουν μέσω του αέρα.
6. Κτυπογενής ήχος είναι γενικά ο ήχος που παράγεται από τη σύγκρουση δύο στερεών σωμάτων και φτάνει στα σημεία που ενδιαφέρουν μέσω στερεού και σε συνέχεια του αέρα. Στην περίπτωση κτιρίων είναι ο ήχος που παράγεται από κτυπήματα πάνω στις περατωτικές επιφάνειες του κτιρίου (π.χ. πάτωμα, τοίχοι, κ.λ.π.).
7. Ισχύουσα Υγειονομική Διάταξη νοείται η υπ' αριθμόν 8577/1983 απόφαση (ΦΕΚ 526/Β/1983), (ΦΕΚ 646/Β/1983), (ΦΕΚ 672/Β/1983).