| Συνδεθείτε στην Υπηρεσία Νομοσκόπιο | | | | | Νέοι χρήστες | | Εάν είστε νέος χρήστης, θα πρέπει να δημιουργήσετε ένα ΔΩΡΕΑΝ λογαριασμό προκειμένου να φύγει το παράθυρο αυτό και να αποκτήσετε πλήρη πρόσβαση στην υπηρεσία Νομοσκόπιο. | | Δημιουργία νέου λογαριασμού | | |
Οι κανόνες αυτού του Κεφαλαίου εφαρμόζονται για τις δοκούς, τις πλάκες υπό προέχουσα κάμψη και για τα στοιχεία υπό θλίψη, των οποίων οι διαμήκεις οπλισμοί έχουν υπολογιστεί σύμφωνα με το Κεφάλαιο 10 και τα οποία υπόκεινται συγχρόνως σε τέμνουσες δυνάμεις.
Επίσης εφαρμόζονται για σώματα κόμβων, κορμούς τοιχωμάτων, καθώς και για συνδέσεις κορμού - πελμάτων των πλακοδοκών και τοιχωμάτων.
Υψίκορμες δοκοί ή βραχείς πρόβολοι επιτρέπεται να αναλύονται και να σχεδιάζονται σύμφωνα με τις αρχές των μεθόδων πλαστικής ανάλυσης και θλιπτήρων - ελκυστήρων.
1. Στοιχεία χωρίς οπλισμό διάτμησης
1.1. Γενικά
Ο σχεδιασμός χωρίς οπλισμό διάτμησης περιορίζεται μόνον σε στοιχεία που έχουν μικρή σημασία ή σε στοιχεία με ικανότητα κατανομής του φορτίου σε διεύθυνση κάθετη τόσο προς τα φορτία όσο και προς το άνοιγμα και στα οποία δεν εμφανίζονται σημαντικές ορθές εφελκυστικές δυνάμεις (π.χ. συνήθεις πλάκες).
Για να μην απαιτείται οπλισμός διάτμησης πρέπει, σύμφωνα με την εξίσωση (6.1), η επιβαλλόμενη τέμνουσα σχεδιασμού να ικανοποιεί τη συνθήκη:
(11.1)
όπου:
VRd1 υπολογίζεται σύμφωνα με την παράγραφο 1.2.
Ο παραπάνω έλεγχος δεν είναι γενικά απαραίτητος για διατομές που βρίσκονται μεταξύ της παρειάς μίας άμεσης στήριξης και μέχρι απόστασης d από αυτήν. Είναι όμως απαραίτητος αν στο διάστημα αυτό υπάρχουν συγκεντρωμένα φορτία (βλέπε παράγραφο 1.2.2), ή αν πρόκειται για παρειά μίας έμμεσης στήριξης.
1.2. Αντοχή σε τέμνουσα
1.2.1. Προσδιορισμός της VRd1
(11.2)
όπου:
bw το πλάτος του στοιχείου,
τRd τιμή σχεδιασμού διατμητικής αντοχής σύμφωνα με τον Πίνακα 11.1.1
k 1.60 - d ≥ 1.00 (d σε m)
ρl Asl/(bwd) ≤ 0.02
σcp Nsd/Ac
Nsd ορθή δύναμη λόγω φόρτισης και προέντασης (θλίψη θετική)
Asl διατομή διαμήκους εφελκυόμενου οπλισμού, ο οποίος επεκτείνεται πέραν της διατομής στην οποία υπολογίζεται η VRd1 κατά d + lb,net
d στατικό ύψος. Στην περίπτωση προεντεταμένων στοιχείων για τον προσδιορισμό του d θα λαμβάνεται υπόψη και η θέση των τενόντων στην εξεταζόμενη διατομή.
Πίνακας 11.1: Τιμές της τRd σε MPa.

1.2.2. Συγκεντρωμένα γραμμικά φορτία στην περιοχή των στηρίξεων
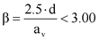
Εάν σε ένα στοιχείο ασκείται συγκεντρωμένο γραμμικό φορτίο σε απόσταση av < 2.5 x d από τον άξονα της στήριξης, η τιμή του τRd που λαμβάνεται υπόψη στην εξίσωση (11.2) επιτρέπεται να αυξηθεί, πολλαπλασιαζόμενη με τον συντελεστή
(11.3)
Για να ληφθεί ο συντελεστής β υπόψη στους υπολογισμούς, θα πρέπει να ικανοποιούνται οι παρακάτω συνθήκες:
α) Το φορτίο και η αντίδραση στήριξης είναι τέτοια ώστε να προκαλούν διαγώνια θλίψη στο στοιχείο (άμεση στήριξη),
β)
| • | Σε ακραία στήριξη: ο απαιτούμενος εφελκυόμενος οπλισμός στην θέση του φορτίου επεκτείνεται μέχρι την στήριξη και αγκυρώνεται πέρα από την εσωτερική παρειά της (την παρειά που βρίσκεται προς την πλευρά εφαρμογής του συγκεντρωμένου φορτίου). |
| • | Σε ενδιάμεση στήριξη: ο απαιτούμενος εφελκυόμενος οπλισμός στην παρειά της στήριξης επεκτείνεται και αγκυρώνεται πέραν της παρειάς σε μήκος τουλάχιστον 2.5 d + lb,net (για το lb,net βλέπε Κεφάλαιο 17). |
2. Στοιχεία με οπλισμό διάτμησης
2.1. Γενικά
Πρέπει να προβλέπεται ένας ελάχιστος οπλισμός για την ανάληψη τεμνουσών (παράγραφοι 18.1.6, 18.3.4). Η κλίση του οπλισμού διάτμησης ως προς τον άξονα του στοιχείου δεν πρέπει να είναι μικρότερη από 45°.
Λοξές ράβδοι θα χρησιμοποιούνται μόνον εφόσον υπάρχουν συγχρόνως και συνδετήρες τοποθετημένοι κατά γωνία 90° ως προς τον διαμήκη άξονα του στοιχείου, με εξαίρεση τον οπλισμό διάτμησης πλακών.
Σε αυτή την περίπτωση ο υπολογισμός θα πρέπει να εξασφαλίζει ότι το ποσοστό της τέμνουσας που αναλαμβάνεται από τους συνδετήρες είναι μεγαλύτερο από το ποσοστό που αναλαμβάνεται από τις λοξές ράβδους. Στην περίπτωση στοιχείων με αυξημένες απαιτήσεις πλαστιμότητας το ποσοστό που θα αναλαμβάνεται από συνδετήρες θα είναι τουλάχιστον 65%.
Για τον υπολογισμό της αντοχής σε τέμνουσα, η οριακή κατάσταση αστοχίας μπορεί απλοποιητικά να θεωρηθεί ότι χαρακτηρίζεται:
| • | είτε από διαγώνια θλίψη του σκυροδέματος, η οποία προκαλεί θραύση του κορμού, |
| • | είτε από εφελκυσμό του οπλισμού διάτμησης, ο οποίος φθάνει την αντοχή σχεδιασμού του. |
2.2. Διαδικασία ελέγχου
α) Έλεγχος περιορισμού
α) Έλεγχος περιορισμού λοξής θλίψης σκυροδέματος κορμού:
Οι διαστάσεις του κορμού πρέπει να είναι τέτοιες ώστε να ικανοποιείται η σχέση:
(11.4)
όπου το VRd2 δίνεται από τις σχέσεις (11.7) και (11.8). Η παρειά άμεσης και έμμεσης στήριξης πρέπει απαραιτήτως να ελέγχεται.
β) Έλεγχος οπλισμού έναντι τεμνουσών:
Ο οπλισμός έναντι τεμνουσών θα υπολογίζεται από την συνθήκη:
(11.5)
όπου
(11.6)
Για διατομές οι οποίες βρίσκονται σε απόσταση μικρότερη από το στατικό ύψος d από την παρειά μίας άμεσης στήριξης, ο έλεγχος της VRd3 δεν είναι απαραίτητος, αλλά ο οπλισμός έναντι τεμνουσών που υπολογίζεται για τη διατομή σε απόσταση d πρέπει να συνεχίζεται μέχρι τη στήριξη.
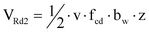
2.3. Υπολογισμός αντοχών (τυπική μέθοδος)
2.3.1. Τέμνουσα αντοχής σχεδιασμού λόγω λοξής θλίψης κορμού
Για γραμμικά στοιχεία και τοιχώματα
(11.7)
όπου:
v = 0.70 - fck/200 ≥ 0.50 (fck σε N/mm2)
z μοχλοβραχίονας εσωτερικών δυνάμεων, ίσος με 0.90 d συνήθως.
Εάν υπάρχουν ορθές θλιπτικές δυνάμεις η τιμή της VRd2 που λαμβάνεται από την εξίσωση (11.7) μειώνεται σε VRd2,red σύμφωνα με την εξίσωση (11.8).
(11.8)
όπου:
και
AS2 η διατομή του οπλισμού στη θλιβόμενη ζώνη
fyk η χαρακτηριστική τιμή του ορίου διαρροής του θλιβόμενου οπλισμού (fyk / γs ≤ 400 N/mm2)
Εάν ο κορμός περιέχει σωλήνες τενόντων διαμέτρου Φ > bw /8 , η VRd2 πρέπει να υπολογίζεται με βάση ένα ονομαστικό πλάτος κορμού:
(11.9)
όπου:
άθροισμα διαμέτρων σωλήνων τενόντων στην δυσμενέστερη στάθμη.
2.3.2. Τέμνουσα αντοχής σχεδιασμού λόγω οπλισμού διάτμησης
2.3.2)α Συνδυασμοί δράσεων που δεν περιλαμβάνουν σεισμό
Για όλα τα δομικά στοιχεία
(11.10)
(11.11)
όπου:
Asw διατομή οπλισμού διάτμησης
s απόσταση μεταξύ ράβδων οπλισμού διάτμησης
α γωνία κλίσης οπλισμού διάτμησης
2.3.2)β Συνδυασμοί δράσεων που περιλαμβάνουν σεισμό
Διακρίνονται δύο περιπτώσεις αναλόγως της τιμής του λόγου νd = NSd/Acfcd , όπου ως NSd λαμβάνεται η δρώσα αξονική δύναμη σχεδιασμού υπό τα οιονεί μόνιμα φορτία μόνο (Gk + ΣΨ2,iQk,i), βλέπε παράγραφο 6.4.1.2.
i) Για νd > -0.10 (στοιχεία κυρίως καμπτόμενα)
Ο όρος Vcd λαμβάνεται μειωμένος στις εξής περιοχές στοιχείων με αυξημένες απαιτήσεις πλαστιμότητας:
α) Για γραμμικά στοιχεία, στις κρίσιμες περιοχές που ορίζονται στην παράγραφο 18.3.3 και 18.4.5.
(11.12)
β) Για τοιχώματα, στην κρίσιμη περιοχή που ορίζεται στην παράγραφο 18.5.2.
(11.13)
Εκτός των παραπάνω περιοχών, καθώς και σε στοιχεία χωρίς αυξημένες απαιτήσεις πλαστιμότητας, η τιμή του Vcd υπολογίζεται για γραμμικά στοιχεία και για τοιχώματα από την εξίσωση (11.10).
Για τον όρο Vwd ισχύουν τα ακόλουθα:
1) Στην περίπτωση γραμμικών στοιχείων, η συμβολή του οπλισμού κορμού στην αντοχή σε τέμνουσα εξαρτάται από την τιμή του λόγου ζ, όπου το ζ είναι ο λόγος της ελάχιστης προς την μέγιστη τέμνουσα σε μία διατομή (+1 ≥ ζ ≥ -1):
α) Για ζ ≥ -0.50
Η τιμή του Vwd υπολογίζεται από την εξ. (11.11).
β) Για ζ < -0.50
Αν VSd ≤ 4.50 (2+ζ) τRd bw d (11.14)
Η τιμή του Vwd υπολογίζεται από την εξ. (11.11).
Αν VSd ≥ 9.00 (2+ζ) τRd bw d (11.15)
όλη η τέμνουσα πρέπει να αναληφθεί από δισδιαγώνιο οπλισμό κατά μήκος του κορμού. Δηλαδή, από ράβδους κεκλιμένες κατά δύο διευθύνσεις, οι οποίες εξισορροπούν με τις θλιπτικές και εφελκυστικές συνιστώσες τους τις τέμνουσες με αντίθετο πρόσημο.
Αν η VSd είναι μεταξύ των τιμών (11.14) και (11.15), η μισή τέμνουσα πρέπει να παραλαμβάνεται με συνδετήρες και η άλλη μισή με δισδιαγώνιες ράβδους.
2) Στην περίπτωση των τοιχωμάτων ισχύουν τα εξής:
α) Όταν ο λόγος διατμήσεως αs (= MSd/VSd lw) είναι μεγάλος (αs ≥ 2.00) ο όρος Vwd υπολογίζεται όπως και για τα γραμμικά στοιχεία.
β) Όταν ο λόγος διατμήσεως αs (= MSd/VSd lw) είναι μικρός (αs ≤ 1.30) ο όρος Vwd υπολογίζεται από την ακόλουθη σχέση (εμπειρική):

όπου:
ρh, ρv ποσοστό οπλισμού οριζόντιου και κατακόρυφου οπλισμού κορμού
fyd,h, fyd,v τιμή σχεδιασμού του ορίου διαρροής του οριζόντιου και κατακόρυφου οπλισμού
Σε περίπτωση όπου αs < 0.30 θα λαμβάνεται υπόψη αs = 0.30. Σε κάθε περίπτωση πρέπει να ελέγχεται ότι

γ) Για ενδιάμεσες τιμές του λόγου αs (2.00 > αs > 1.30) πρέπει να διατάσσονται:
γ.1. Οριζόντιος οπλισμός κορμού, ικανός να παραλάβει δύναμη VSd — Vcd, δηλαδή

γ.2. Κατακόρυφος οπλισμός κορμού, ικανός να παραλάβει δύναμη VSd — Vcd — min NSd , δηλαδή

όπου η NSd λαμβάνεται με θετικό πρόσημο όταν είναι θλιπτική.
δ) Οι οριζόντιοι οπλισμοί κορμού των τοιχωμάτων πρέπει να είναι πλήρως αγκυρωμένοι στα περισφιγμένα άκρα (παράγραφος 18.5.3). Αν έχουν τη μορφή επιμήκων κλειστών συνδετήρων λαμβάνονται πλήρως υπόψη στον υπολογισμό της απαιτούμενης περισφίξεως των άκρων των τοιχωμάτων (παράγραφος 18.5.3).
ε) Οι κατακόρυφοι οπλισμοί κορμού των τοιχωμάτων πρέπει να αγκυρώνονται κατάλληλα και να ενώνονται με υπερκαλύψεις καθ' ύψος (παράγραφος 17.7.2). Αν έχουν τα ίδια χαρακτηριστικά συνάφειας με τους οπλισμούς των περισφιγμένων άκρων λαμβάνονται πλήρως υπόψη στον υπολογισμό της ροπής αντοχής των τοιχωμάτων (παράγραφος 10.4.1).
ii) Για νd ≤ -0.10 (στοιχεία υπό κάμψη με θλιπτική δύναμη)
α) Στις κρίσιμες περιοχές γραμμικών στοιχείων και τοιχωμάτων, με αυξημένες απαιτήσεις πλαστιμότητας, ο όρος Vcd ισούται με:
Vcd = 0.90 x VRd1 για γραμμικά στοιχεία (11.16)
Vcd = 0.70 x VRd1 για τοιχώματα (11.17)
β) Εκτός των παραπάνω περιοχών, καθώς και σε στοιχεία χωρίς αυξημένες απαιτήσεις πλαστιμότητας, η τιμή του όρου Vcd υπολογίζεται για γραμμικά στοιχεία και τοιχώματα σύμφωνα με την εξίσωση (11.10).
γ) Η αντοχή του οπλισμού του κορμού Vwd δίνεται από την εξίσωση (11.11) για γραμμικά στοιχεία και από τα διαλαμβανόμενα στην υποπαράγραφο 1.2 της παραγράφου 11.2.3.2)β για τοιχώματα.
2.4. Μήκος μετατόπισης διαγράμματος ροπών κάμψης (τυπική μέθοδος)
Η τιμή του μήκους μετατόπισης αl του διαγράμματος των ροπών, η οποία πρέπει να ληφθεί υπόψη για την διάταξη των διαμήκων ράβδων του εφελκυόμενου πέλματος (κανόνας μετατόπισης διαγράμματος ροπών, βλέπε και παραγράφους 17.8.1, 17.8.2), είναι:
αl = z (1-cot α)/2 ≥ 0 (11.18)
2.5. Εναλλακτική μέθοδος υπολογισμού αντοχών δοκών έναντι τέμνουσας (γενική μέθοδος)
Η μέθοδος βασίζεται στην εκτίμηση της γωνίας κλίσης θ των θλιβόμενων διαγωνίων του σκυροδέματος.
Για τη γωνία θ ισχύουν οι παρακάτω περιορισμοί:
α) Σε περίπτωση δοκών με σταθερό διαμήκη οπλισμό
0.40 < cot θ < 2.50 (11.19)
β) Σε περίπτωση δοκών με κλιμακούμενο διαμήκη οπλισμό
0.50 < cot θ < 2.00 (11.20)
Σε στοιχεία με οπλισμό διάτμησης κάθετο προς τον άξονα του στοιχείου η αντοχή σε διάτμηση ορίζεται ως εξής (λαμβάνοντας υπόψη την συνήθη τιμή 0.90 d για τον μοχλοβραχίονα z):
VRd2 = bw(0.90 d) v fcd/(cot θ + tan θ) (11.21)
VRd3 = (Asw/s) (0.90 d) fywd cot θ (11.22)
και
Asw fywd/(bw s) ≤ (1/2) v fcd (11.23)
Σε στοιχεία με κεκλιμένο οπλισμό διάτμησης, η αντοχή σε διάτμηση ορίζεται ως εξής:
VRd2 = bw(0.90 d) v fcd (cot θ + cot α)/(1 + cot2 θ) (11.24)
VRd3 = (Asw/s) (0.90 d) fywd (cot θ + cot α) sin α (11.25)
και
Asw fywd/(bw s) ≤ (1/2) v fcd sin α/(1-cos α) (11.26)
Η πρόσθετη εφελκυστική δύναμη την οποία θα πρέπει να παραλάβει ο διαμήκης οπλισμός (πέραν της καταπόνησης λόγω μόνο της ροπής κάμψεως) προσδιορίζεται ως εξής:
ΔFtl = (1/2)VSd(cot θ - cot α) (11.27)α)
Ισοδύναμα το μήκος μετατόπισης αl δίνεται από τη σχέση:
αl = z (cot θ - cot α)/2 (11.27)β)
Επισημαίνεται ότι παραλλήλως ισχύουν και οι πρόσθετες διατάξεις της παραγράφου 11.2.3.1 για την VRd2,red.
Η ανωτέρω εναλλακτική μέθοδος με τα προτεινόμενα όρια τιμών της γωνίας θ δεν συνιστάται στις περιπτώσεις δοκών από προεντεταμένο σκυρόδεμα.
3. Συνδέσεις Πελμάτων - Κορμού
3.1. Γενικά
Οι συνδέσεις πελμάτων - κορμού πρέπει να ελέγχονται έναντι διαμήκους τέμνουσας δύναμης.
Πρέπει να προβλέπεται ελάχιστος οπλισμός σύμφωνα με την παράγραφο 18.3.6.
Η οριακή κατάσταση αστοχίας διέπεται είτε από την επιρροή της κεκλιμένης θλιπτικής δύναμης του πέλματος (η οποία ασκείται παράλληλα προς το μέσο επίπεδο του), είτε από την επιρροή του εφελκυόμενου εγκάρσιου οπλισμού όταν αυτός φθάσει την αντοχή σχεδιασμού του.
Η δρώσα διαμήκης τέμνουσα δύναμη ανά μονάδα μήκους είναι:
VSd = ΔFd,max / av (11.28)
όπου:
ΔFd,max μέγιστη τιμή της διαφοράς της διαμήκους δύναμης (εφελκυστικής ή θλιπτικής) η οποία ενεργεί στο τμήμα του πέλματος προς την μία πλευρά του κορμού,
av απόσταση ανάμεσα στα σημεία μηδενικής και μέγιστης ροπής κάμψης
Η VSd δεν πρέπει να υπερβαίνει τα όρια που δίνονται από τις εξισώσεις (11.29) και (11.30).
3.2. Αντοχή λόγω λοξής θλίψης
VRd2 = 0.20 fcd hf (11.29)
3.3. Αντοχή λόγω εγκάρσιου οπλισμού
VRd3 = (Asf/sf) fyd + 2.50 τRd hf (11.30)
όπου το τRd δίνεται στον Πίνακα 11.1.
Εάν οι διαμήκεις οπλισμοί (ράβδοι ή τένοντες) αγκυρώνονται σε μία προέκταση ενός εφελκυόμενου πέλματος, τότε πρέπει να διατάσσονται πρόσθετοι εγκάρσιοι οπλισμοί.
Εάν στη διατομή όπου M = Mmax η δύναμη στο πέλμα είναι εφελκυστική, κάθετα ή παράλληλα στον κορμό, τότε ο όρος 2.50 τRd hf στη σχέση (11.30) μηδενίζεται.
3.4. Πέλματα υπό εγκάρσια κάμψη
Οι διατομές των οπλισμών κάμψης οι οποίοι διέρχονται από την διεπιφάνεια μεταξύ κορμού και πέλματος μπορούν να ληφθούν υπόψη στον υπολογισμό του Asf. Εάν οι οπλισμοί αυτοί δεν επαρκούν για την ικανοποίηση της εξίσωσης (11.30) πρέπει να διαταχθούν πρόσθετοι οπλισμοί.