17

Κεφάλαιο 17: Κανόνες λεπτομερειών όπλισης


Συνδεθείτε στην Υπηρεσία Νομοσκόπιο
Είσοδος στην υπηρεσία Νομοσκόπιο.
   
Χρήστης
Κωδικός
  Υπενθύμιση στοιχείων λογαριασμού
   
 
Νέοι χρήστες
Εάν είστε νέος χρήστης, θα πρέπει να δημιουργήσετε ένα ΔΩΡΕΑΝ λογαριασμό προκειμένου να φύγει το παράθυρο αυτό και να αποκτήσετε πλήρη πρόσβαση στην υπηρεσία Νομοσκόπιο.
Δημιουργία νέου λογαριασμού

 

 

1. Πεδίο ορισμού

 

Οι Κανόνες του παρόντος Κεφαλαίου ισχύουν για κατασκευές οπλισμένου ή προεντεταμένου σκυροδέματος με ή χωρίς αυξημένες απαιτήσεις πλαστιμότητας.

 

Σε στοιχεία με αυξημένες απαιτήσεις πλαστιμότητας δεν επιτρέπεται η χρήση λείων ράβδων παρά μόνον για κλειστούς συνδετήρες και συνδέσμους. Επίσης δεν επιτρέπεται η χρήση συγκολλητών δομικών πλεγμάτων παρά μόνον αν ικανοποιούν τις πρόσθετες απαιτήσεις πλαστιμότητας κατά την παράγραφο 3.1.3.

 

2. Χαρακτηριστικά των οπλισμών

 

2.1. Ονομαστικές διάμετροι

 

Πρέπει να χρησιμοποιούνται οι τυποποιημένες ονομαστικές διάμετροι ράβδων κατά τα ισχύοντα πρότυπα.

 

2.2. Ταυτόχρονη χρησιμοποίηση διαφόρων ειδών χαλύβων

 

Η ταυτόχρονη χρησιμοποίηση διαφόρων ειδών χαλύβων επιτρέπεται μόνο αν αυτό λαμβάνεται υπόψη κατά την διαστασιολόγηση και εφόσον αποκλείεται κάθε σύγχυση κατά την κατασκευή.

 

2.3. Καμπυλώσεις οπλισμών

 

2.3.1. Επιτρεπόμενες διάμετροι καμπύλωσης

 

Η επιτρεπόμενη ελάχιστη διάμετρος D καμπύλωσης ράβδων, αγκίστρων (ημικυκλικών ή ορθογωνικών), αναβολέων κ.λ.π. δίνεται από τον Πίνακα 17.1.

 

Πίνακας 17.1: Ελάχιστη διάμετρος D καμπύλωσης

 

ekos2000.31

 

 

 

2.3.2. Κάμψεις σε συγκολλητούς οπλισμούς

 

Για συγκολλητούς οπλισμούς και συγκολλητά δομικά πλέγματα που κάμπτονται μετά την συγκόλληση ισχύουν οι τιμές του Πίνακα 17.2.

 

Πίνακας 17.2: Ελάχιστη διάμετρος D καμπύλωσης για συγκολλητούς οπλισμούς

 

ekos2000.32

 

3. Ελάχιστη επικάλυψη του οπλισμού

 

Ισχύουν οι διατάξεις των παραγράφων 5.1 και 17.5 που αφορούν την ελάχιστη και την ονομαστική επικάλυψη.

 

4. Αποστάσεις μεταξύ των οπλισμών

 

Η καθαρή απόσταση παραλλήλων οπλισμών εκτός των περιοχών ενώσεων πρέπει να είναι τουλάχιστον ίση με:

 

τη μεγαλύτερη διάμετρο των ράβδων,
20 mm,
dΑΔΡ + 5 mm, όπου dΑΔΡ = διάσταση μεγίστου κόκκου αδρανών

 

Όταν οι ράβδοι τοποθετούνται σε περισσότερες από μία σειρές, τότε πρέπει να τοποθετούνται η μία επάνω ή πίσω από την άλλη. Εξαίρεση των καθαρών αυτών αποστάσεων γίνεται στις ράβδους με υπερκάλυψη στην περιοχή της ενώσεως όπου μπορεί η μία να εφάπτεται της άλλης.

 

5. Τάση συνάφειας

 

Η ποιότητα της συνάφειας εξαρτάται από την μορφή της επιφάνειας της ράβδου, την διάσταση του δομικού στοιχείου και από την θέση και κλίση του οπλισμού κατά την σκυροδέτηση.

 

Η ελάχιστη επικάλυψη των οπλισμών πρέπει να εξασφαλίζει την ανάπτυξη και μεταβίβαση των τάσεων συνάφειας.

 

Οι τάσεις συνάφειας θεωρούνται σταθερές κατά μήκος των ράβδων. Ο προσδιορισμός των μηκών αγκυρώσεως και των υπερκαλύψεων βασίζεται στην τιμή σχεδιασμού της τάσεως συνάφειας fbd. Διακρίνονται δύο περιοχές συνάφειας:

 

Περιοχή συνάφειας I: όπου οι συνθήκες συνάφειας θεωρούνται ευνοϊκές.

Περιοχή συνάφειας II: όπου οι συνθήκες συνάφειας δεν θεωρούνται ευνοϊκές.

 

Στην περιοχή συνάφειας II (δυσμενείς συνθήκες) ανήκουν ράβδοι για τις οποίες ισχύουν όλες οι παρακάτω συνθήκες (βλέπε και Πίνακα 17.3):

 

έχουν κλίση ως προς την οριζόντια 0-45° για κατακόρυφη σκυροδέτηση,
βρίσκονται σε στοιχεία με πάχος κατά τη διεύθυνση σκυροδετήσεως μεγαλύτερο από 250 mm,
είναι τοποθετημένες στο πάνω μισό πάχος του στοιχείου,
το πάχος του σκυροδέματος που τις καλύπτει είναι μικρότερο από 300 mm.

 

Στην περιοχή συνάφειας I (ευνοϊκές συνθήκες) ανήκουν όλες οι άλλες ράβδοι.

 

Πίνακας 17.3: Καθορισμός των περιοχών συνάφειας

 

ekos2000.33

 

Οι βασικές τιμές του fbd δίνονται στον Πίνακα 17.4.

 

Πίνακας 17.4: Βασικές τιμές του fbd (MPa)

 

ekos2000.34

 

Στην περίπτωση όπου ασκείται εγκάρσια μέση πίεση p (MPa), εγκάρσια προς το αναμενόμενο επίπεδο αποσχίσεως, οι τιμές fbd του Πίνακα 17.4 μπορούν να αυξάνονται, πολλαπλασιαζόμενες με τον συντελεστή (1: (1 - 0.04 p)) ≤ 1.4.

 

6. Αγκυρώσεις

 

6.1. Τύποι αγκυρώσεων

 

Σε σχέση με την αποδοτικότητά τους οι αγκυρώσεις διακρίνονται σε 4 τύπους (Σχήμα 17.1):

 

1. Ευθύγραμμες αγκυρώσεις.

2. Καμπύλες αγκυρώσεις (άγκιστρα ημικυκλικά, ορθογωνικά, αναβολείς), με ελάχιστη διάμετρο καμπύλωσης D ίση με αυτή των σειρών Α,1 και Α,2 του Πίνακα 17.1.

3. Ευθύγραμμες αγκυρώσεις με τουλάχιστον μια συγκολλημένη εγκάρσια ράβδο στο μήκος αγκύρωσης.

Η εγκάρσια συγκολλημένη ράβδος πρέπει να απέχει το πολύ 5Φ από τη θέση ενάρξεως του μήκους αγκύρωσης, η δε διάμετρος της πρέπει να είναι τουλάχιστον ίση με 0.60Φ.

4. Αγκυρώσεις με πρόσθετα στοιχεία (σώματα αγκυρώσεως).

 

ekos2000.35

 

Σχήμα 17.1: Τύποι αγκυρώσεων και τιμές του συντελεστή α της εξίσωσης 17.2 (για το lbnet και το συντελεστή α, βλέπε παράγραφο 6.3)

 

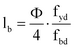
6.2. Βασικό μήκος αγκύρωσης

 

Το βασικό μήκος αγκύρωσης lb είναι το μήκος αγκύρωσης τύπου 1 με πλήρη εκμετάλλευση της αντοχής της ράβδου.

 

Για μεμονωμένες ράβδους και συγκολλητά δομικά πλέγματα ράβδων με νευρώσεις, το lb προσδιορίζεται από τη σχέση (17.1):

 

Ecos096 (17.1)

 

όπου:

 

Φ η διάμετρος της ράβδου, η οποία για δομικά πλέγματα διπλών ράβδων αντικαθίσταται από την ισοδύναμη διάμετρο Ecos097,

fbd η τιμή σχεδιασμού της τάσης συνάφειας σύμφωνα με την παράγραφο 17.5, και

fyd η τιμή σχεδιασμού του ορίου διαρροής του χάλυβα.

 

Για συγκολλητά δομικά πλέγματα με ράβδους λείες, το μήκος lb είναι το μήκος που αντιστοιχεί σε 4 συγκολλημένες εγκάρσιες ράβδους, αλλά όχι μεγαλύτερο από το μήκος που προκύπτει από την εξίσωση (17.1) για πλέγματα με ράβδους με νευρώσεις.

 

6.3. Απαιτούμενο μήκος αγκύρωσης

 

Το απαιτούμενο μήκος αγκύρωσης κατά προέκταση της ράβδου lb,net εξαρτάται από τον τύπο της αγκύρωσης και την υπάρχουσα τάση στο χάλυβα, και υπολογίζεται για μεμονωμένες ράβδους και συγκολλητά δομικά πλέγματα ράβδων με νευρώσεις από την εξίσωση (17.2):

 

Ecos098 (17.2)

 

όπου:

 

As,req η κατά τους υπολογισμούς θεωρητικά απαιτούμενη διατομή οπλισμού,

As,prov η υπάρχουσα διατομή οπλισμού,

α συντελεστής εξαρτώμενος από τον τύπο αγκύρωσης κατά το Σχήμα 17.1 (≥ 0.5),

lb,min το ελάχιστο ευθύγραμμο μήκος αγκύρωσης,

= 0.3 lb (≥10Φ) για ράβδους υπό εφελκυσμό,

= 0.6 lb (≥10Φ) για ράβδους υπό θλίψη,

lb κατά την εξίσωση (17.1).

 

Για ράβδους οι οποίες συμβάλλουν στην καμπτική αντοχή κρίσιμων περιοχών δομικών στοιχείων με αυξημένες απαιτήσεις πλαστιμότητας (βλέπε παράγραφο 6.1.3), και αγκυρώνονται μέσα στην κρίσιμη περιοχή, πρέπει να λαμβάνεται As,req/As,prov = 1.0. Από αυτήν την απαίτηση απαλλάσσονται δοκοί και υποστυλώματα (όχι τοιχώματα) φορέων με αυξημένες απαιτήσεις πλαστιμότητας αλλά με κατάλληλα διαμορφωμένο μικτό σύστημα σύμφωνα με την παράγραφο 4.1.4.2)β του Ελληνικού Αντισεισμικού Κανονισμού με την προϋπόθεση όμως ότι ο λόγος ηv της σχέσης 4.8 του Ελληνικού Αντισεισμικού Κανονισμού είναι >0.75.

 

Για συγκολλητά δομικά πλέγματα με λείες ράβδους, το μήκος lb,net προσδιορίζεται από την εξίσωση (17.2) εάν υπάρχουν εντός του μήκους αγκύρωσης εγκάρσιες ράβδοι τουλάχιστον ίσες με:

 

Ecos099

 

6.4. Εγκάρσιος οπλισμός στις περιοχές αγκυρώσεων

 

Στις περιοχές αγκυρώσεων πρέπει να τοποθετείται εγκάρσιος οπλισμός. Εξαίρεση αποτελούν οι εφελκυόμενες ράβδοι όταν αναπτύσσεται εγκάρσια θλίψη λόγω αντιδράσεων στηρίξεως.

 

Το ελάχιστο εμβαδόν του εγκάρσιου οπλισμού πρέπει να είναι το 25% του εμβαδού της μέγιστης από τις αγκυρούμενες ράβδους.

 

Ο εγκάρσιος οπλισμός πρέπει να είναι ομοιόμορφα κατανεμημένος μέσα στο μήκος αγκυρώσεως. Σε περίπτωση καμπύλων αγκυρώσεων, πρέπει να τοποθετείται στην περιοχή των αγκίστρων ή των αναβολέων τουλάχιστον μία ράβδος εγκάρσιου οπλισμού.

 

Στις συνήθεις περιπτώσεις πλακών, πλακών με νευρώσεις, ή με σώματα πλήρωσης, πλακοδοκών και δοκών, υποστυλωμάτων και τοιχωμάτων, αρκούν οι εγκάρσιοι οπλισμοί που δίνονται στο Κεφάλαιο 18.

 

Σε αγκυρούμενες ράβδους υπό θλίψη, ο εγκάρσιος οπλισμός πρέπει να τις περιβάλλει, να είναι συγκεντρωμένος περί το τέλος της αγκυρώσεως και να επεκτείνεται πέραν αυτού σε μία απόσταση τουλάχιστον ίση με 5Φ ή 5Φn.

 

6.5. Αγκυρώσεις με πρόσθετα στοιχεία

 

Η χρήση αγκυρώσεων με πρόσθετα στοιχεία (σώματα αγκύρωσης) επιτρέπεται μόνο αν υπάρχουν σχετικές εγκριτικές αποφάσεις.

 

7. Ενώσεις

 

7.1. Είδη ενώσεων

 

Ενώσεις οπλισμών μπορούν να γίνουν με

 

υπερκάλυψη των ράβδων με ευθύγραμμα άκρα, με άγκιστρα ημικυκλικά ή ορθογωνικά, με αναβολείς, με ευθύγραμμα άκρα με συγκολλητούς εγκάρσιους οπλισμούς (π.χ. σε συγκολλητά δομικά πλέγματα),
συγκόλληση,
μηχανικά μέσα (αρμοκλείδες, ενώσεις με τήγμα μετάλλου κ.α.).

 

7.2. Ενώσεις με υπερκάλυψη

 

7.2.1. Διάταξη των ενώσεων με υπερκάλυψη

 

Οι ενώσεις με υπερκάλυψη πρέπει, κατά το δυνατόν, να διατάσσονται κατά αποστάσεις μεταξύ τους και να αποφεύγεται η τοποθέτησή τους στις περιοχές υψηλής εντάσεως.

 

Για οπλισμούς υψηλής συνάφειας σε μια στρώση επιτρέπεται η ένωση με υπερκάλυψη μέχρι και όλων των ράβδων (100%) σε μια διατομή του δομικού στοιχείου. Αν όμως οι οπλισμοί που υπερκαλύπτονται βρίσκονται σε περισσότερες στρώσεις τότε επιτρέπεται η υπερκάλυψη μόνο του μισού (50%) της συνολικής διατομής οπλισμού σε μια θέση.

 

Οι ενώσεις με υπερκάλυψη πρέπει να διατάσσονται συμμετρικά και παραλλήλως προς τις παρειές του στοιχείου.

 

Για λείες ράβδους, επιτρέπεται η ένωση με υπερκάλυψη του 1/3 της διατομής οπλισμού κάθε στρώσης σε μια διατομή του δομικού στοιχείου. Οι δευτερεύοντες οπλισμοί διέρειστων πλακών επιτρέπεται να υπερκαλύπτονται στο σύνολο τους (100%) σε μία διατομή.

 

Ενώσεις με υπερκάλυψη θεωρούνται μετατοπισμένες, όταν η απόσταση των μέσων δύο γειτονικών ενώσεων είναι μεγαλύτερη από 1.3 l0, όπου l0 το μήκος της υπερκάλυψης σύμφωνα με την εξίσωση (17.3). Οι εγκάρσιες αποστάσεις μεταξύ των ράβδων φαίνονται στο Σχήμα 17.2.

 

ekos2000.36

 

Σχήμα 17.2: Απόσταση των ράβδων οπλισμού στην περιοχή ένωσης

 

2.2. Μήκος υπερκάλυψης εφελκυόμενων ράβδων

 

Το απαιτούμενο μήκος υπερκάλυψης l0 εφελκυόμενων ράβδων (Σχήμα Σ17.4) υπολογίζεται από το αντίστοιχο απαιτούμενο μήκος αγκύρωσης, λαμβάνοντας υπόψη τα χαρακτηριστικά της όπλισης (Πίνακας 17.5):

 

Ecos100 (17.3)

 

όπου:

 

lb,net μήκος αγκύρωσης κατά την εξίσωση (17.2),

α1 συντελεστής κατά τον Πίνακα 17.5,

l0,min ελάχιστο μήκος υπερκάλυψης, το οποίο είναι ίσο με max (0.3 α.α1 lb,15Φ, 200 mm).

 

Πίνακας 17.5: Συντελεστές α1

 

ekos2000.37

 

7.2.3. Μήκος υπερκάλυψης θλιβόμενων ράβδων

 

Το μήκος υπερκάλυψης l0 πρέπει να ικανοποιεί τη συνθήκη:

 

Ecos101 (17.4)

 

7.2.4. Εγκάρσιος οπλισμός στην περιοχή υπερκάλυψης κυρίων οπλισμών

 

Στις περιοχές υπερκαλύψεων κυρίων οπλισμών πρέπει να τοποθετείται εγκάρσιος οπλισμός, ο οποίος παραλαμβάνει τις εγκάρσιες εφελκυστικές δυνάμεις. Ο υπάρχων εγκάρσιος οπλισμός που προβλέπεται για άλλους λόγους (π.χ. οπλισμός διάτμησης, οπλισμός διανομής) συνυπολογίζεται στον εγκάρσιο οπλισμό.

 

Ο απαιτούμενος εγκάρσιος οπλισμός δίνεται στον Πίνακα 17.6.

 

Πίνακας 17.6: Απαιτούμενος εγκάρσιος οπλισμός στην περιοχή υπερκάλυψης κυρίων οπλισμών

 

ekos2000.38

 

7.3. Κοχλιωτές ενώσεις

 

Με κοχλίωση επιτρέπεται να ενωθούν όλες οι ράβδοι σε μια διατομή.

 

Τα μέσα σύνδεσης (αρμοκλείδες) πρέπει να καλύπτονται με εγκριτικές αποφάσεις (πιστοποιητικά) αρμοδίων αρχών και να ικανοποιούν τις παρακάτω απαιτήσεις:

 

δύναμη διαρροής αντίστοιχη του 1.0 fyk As, και

δύναμη αντοχής αντίστοιχη του 1.2 ftk As,

 

όπου:

 

fyk, ftk, As το όριο διαρροής, η εφελκυστική αντοχή και η διατομή της προς σύνδεση ράβδου, αντιστοίχως.

 

Για την επικάλυψη σκυροδέματος και την απόσταση των μέσων σύνδεσης στην περιοχή της ένωσης ισχύουν οι παράγραφοι 3 και 4, αντιστοίχως, όπου καθοριστική είναι η διάμετρος της προς ένωση ράβδου.

 

Για επαναλαμβανόμενη ή ανακυκλιζόμενη φόρτιση απαιτείται πειραματική απόδειξη της αποτελεσματικότητας της σύνδεσης.

 

7.4. Συγκολλητές ενώσεις

 

Με συγκόλληση επιτρέπεται να ενωθούν όλες οι ράβδοι σε μια διατομή του δομικού στοιχείου.

 

Οι συγκολλητές ενώσεις πρέπει να γίνονται σύμφωνα με τους κανονισμούς συγκολλήσεων και τα τεύχη έγκρισης των χαλύβων.

 

8. Ειδικές διατάξεις εφελκυόμενων οπλισμών καμπτόμενων στοιχείων

 

8.1. Γενικά

 

Οι οπλισμοί αυτοί πρέπει να τοποθετούνται έτσι, ώστε σε κάθε διατομή να καλύπτεται το μετατοπισμένο διάγραμμα των εφελκυστικών δυνάμεων (παράγραφος 8.2).

 

8.2. Κανόνας μετατόπισης

 

Η περιβάλλουσα των εφελκυστικών δυνάμεων προκύπτει από οριζόντια μετατόπιση κατά al της καμπύλης Ft =(M/z)+ N (η τιμή του al ορίζεται στην παράγραφο 11.2.4).

 

8.3. Αγκυρώσεις εκτός στηρίξεων

 

Το μήκος αγκύρωσης οπλισμού ευθύγραμμου ή κεκαμμένου που δεν χρησιμοποιείται ως οπλισμός διάτμησης, μετριέται από το θεωρητικό άκρο Ε και είναι ίσο με lb,net.

 

Τα μήκη αγκύρωσης ράβδων που κάμπτονται για να παραλάβουν και τέμνουσες, θα πρέπει να είναι τουλάχιστον ίσα με 1.3 lb,net στις εφελκυόμενες ζώνες και 0.7 lb,net στις θλιβόμενες ζώνες (lb,net = μήκος αγκύρωσης σύμφωνα με την παράγραφο 6.3).

 

8.4. Αγκύρωση σε ακραίες στηρίξεις

 

i) Για δοκούς χωρίς αυξημένες απαιτήσεις πλαστιμότητας και για πλάκες:

 

α) Η αγκύρωση των οπλισμών στις ακραίες στηρίξεις πρέπει να μπορεί να αναλάβει εφελκυστική δύναμη ίση με:

 

Ecos102 (17.5)

όπου:

 

αl σύμφωνα με την εξίσωση (11.27)β).

 

β) Το μήκος αγκύρωσης για άμεση στήριξη μετριέται από τη γραμμή επαφής με τη στήριξη και είναι ίσο με 2/3 lb,net.

 

Το μήκος αγκύρωσης για έμμεση στήριξη μετριέται από ένα επίπεδο μέσα στην στήριξη το οποίο απέχει από το σημείο τομής των δύο στοιχείων απόσταση ίση με το 1/3 του πλάτους στήριξης (< 50 mm) και είναι ίσο με lb,net.

 

ii) Για δοκούς με αυξημένες απαιτήσεις πλαστιμότητας η αγκύρωση γίνεται σύμφωνα με τις διατάξεις της παραγράφου 18.3.5.

 

9. Αγκύρωση οπλισμών διάτμησης

 

Οι οπλισμοί διάτμησης μπορούν να αποτελούνται από:

 

κάθετους ή κεκλιμένους προς τον άξονα του φορέα συνδετήρες και εγκάρσιους συνδέσμους,
κεκλιμένες-λοξές ράβδους,
σπείρες, και
συνδυασμό των παραπάνω.

 

9.1. Αγκύρωση συνδετήρων

 

Η αγκύρωση των συνδετήρων γίνεται σύμφωνα με το Σχήμα 17.3.

 

Ορθογωνικό άγκιστρα κατά το Σχήμα 17.3)β) επιτρέπονται μόνο σε νευροχάλυβες.

 

Διατάξεις κατά τα Σχήματα 17.3)γ) και δ) επιτρέπονται μόνο όταν δεν προκαλείται διάρρηξη ή αποκόλληση του σκυροδέματος επικάλυψης, δηλαδή όταν η επικάλυψη στην περιοχή αγκύρωσης είναι τουλάχιστον 50 mm.

 

ekos2000.39

 

Σχήμα 17.3: Διατάξεις αγκυρώσεων συνδετήρων

 

9.2. Εξωτερικοί συνδετήρες (συνδετήρες κατά την περίμετρο του δομικού στοιχείου)

 

α) Πλακοδοκοί (και πλάκες)

 

Το κλείσιμο των συνδετήρων στην περιοχή της πλάκας γίνεται σύμφωνα με το Σχήμα 17.4.

 

Το κλείσιμο των συνδετήρων στον κορμό γίνεται σύμφωνα με το επόμενο εδάφιο, περί δοκών.

 

ekos2000.40

 

Σχήμα 17.4: Κλείσιμο συνδετήρων σε πλάκες και σε πλακοδοκούς στην περιοχή της πλάκας (βλέπε Σχήμα 17.3 για αγκύρωση άκρων)

 

β) Δοκοί, υποστυλώματα, τοιχώματα

 

Γενικώς, το κλείσιμο των συνδετήρων γίνεται σύμφωνα με το Σχήμα 17.5.

 

Ειδικώς στις κρίσιμες περιοχές δομικών στοιχείων με αυξημένες απαιτήσεις πλαστιμότητας επιβάλλονται οι διατάξεις α) και β), ενώ κατ' εξαίρεση επιτρέπονται οι διατάξεις γ) και δ) εφόσον το κλείσιμο διατάσσεται κατ' εναλλαγή, δηλαδή σε διαφορετικές διαμήκεις ράβδους. Επίσης επιτρέπεται και το κλείσιμο σύμφωνα με τα ισχύοντα για την άμεση στρέψη.

 

ekos2000.41

 

Σχήμα 17.5: Κλείσιμο συνδετήρων σε κορμούς πλακοδοκών, σε δοκούς, σε υποστυλώματα και τοιχώματα (βλέπε Σχήμα 17.3 για αγκύρωση άκρων)

 

Σε κυκλικά υποστυλώματα, το κλείσιμο των συνδετήρων γίνεται σύμφωνα με το Σχήμα 17.5(ε), με ορθογωνικό (ή ημικυκλικά) άγκιστρα έτσι ώστε η μεταξύ τους απόσταση να είναι τουλάχιστον ίση με το μήκος υπερκάλυψης l0.

 

γ) Στοιχεία υπό άμεση στρέψη

 

Το κλείσιμο των συνδετήρων γίνεται έτσι ώστε να εξασφαλίζεται μήκος υπερκάλυψης l0.

 

9.3. Εσωτερικοί συνδετήρες

 

Γενικώς, το κλείσιμο των συνδετήρων γίνεται σύμφωνα με το Σχήμα 17.4 σε πλάκες και σε πλακοδοκούς, καθώς και σε δομικά στοιχεία χωρίς αυξημένες απαιτήσεις πλαστιμότητας, και σύμφωνα με το Σχήμα 17.5 σε δομικά στοιχεία με αυξημένες απαιτήσεις πλαστιμότητας.

 

9.4. Εγκάρσιοι σύνδεσμοι (μορφής S)

 

Επιτρέπεται μόρφωση του ενός άκρου ως ημικυκλικού και του άλλου άκρου ως ορθογωνικού αγκίστρου, υπό την προϋπόθεση ότι τα ορθογωνικό άγκιστρα θα διατάσσονται σε διαφορετικές διαμήκεις ράβδους.

 

9.5. Αγκυρώσεις κεκλιμένων-λοξών ράβδων

 

Για την αγκύρωση αυτών των ράβδων ισχύει το τελευταίο εδάφιο της παραγράφου 17.8.3. Επίσης, οι ράβδοι αυτές πρέπει να κατανέμονται ομοιόμορφα στην εγκάρσια διεύθυνση.

 

10. Συμπληρωματικοί κανόνες για τένοντες προέντασης

 

10.1. Ταυτόχρονη χρησιμοποίηση διαφόρων ειδών χαλύβων

 

Η ταυτόχρονη χρησιμοποίηση συνήθων χαλύβων και χαλύβων προέντασης επιτρέπεται σύμφωνα με την παράγραφο 17.2.2.

 

10.2. Διάταξη τενόντων προέντασης

 

10.2.1. Ελάχιστος αριθμός τενόντων προέντασης

 

α) Ο ελάχιστος επιτρεπόμενος αριθμός των μεμονωμένων ράβδων ή συρμάτων στην προθλιβόμενη εφελκυόμενη ζώνη προεντεταμένων στοιχείων είναι τρεις (3).

 

Όταν χρησιμοποιούνται καλώδια αποτελούμενα από δέσμες ράβδων, συρμάτων ή συρματόσχοινων, μπορεί να υπάρχει μόνον ένα καλώδιο στην προθλιβόμενη εφελκυόμενη ζώνη, υπό τον όρο ότι το καλώδιο αποτελείται από 7 τουλάχιστον στοιχεία.

 

 

Πίνακας 17.7: Ελάχιστο πλήθος ράβδων, συρμάτων και καλωδίων στην προθλιβόμενη εφελκυόμενη ζώνη μεμονωμένου δομικού στοιχείου

Μεμονωμένες ράβδοι και σύρματα

3

Ράβδοι, σύρματα και συρματόσχοινα που αποτελούν καλώδιο

7

 

Οι τιμές αυτές ισχύουν όταν οι διάμετροι των ράβδων ή συρμάτων είναι ίδιες. Όταν οι διάμετροι είναι διαφορετικές ο έλεγχος γίνεται σύμφωνα με τα παρακάτω:

 

β) Αν ο αριθμός των τενόντων ή ο συνολικός αριθμός των ράβδων, συρμάτων ή συρματόσχοινων της δέσμης είναι μικρότερος του 3 ή 7, αντιστοίχως, τότε πρέπει να ελέγχεται (λαμβάνοντας γf =1.0 και γm=1.0) ότι η ασφάλεια έναντι οριακών καταστάσεων αστοχίας εξασφαλίζεται ακόμη και όταν ένας τένοντας ή τρεις ράβδοι, σύρματα ή συρματόσχοινα μίας δέσμης αστοχήσουν. Για τον έλεγχο αυτόν, μπορεί να ληφθεί υπόψη ανακατανομή, λόγω μεταβολής του στατικού συστήματος εξαιτίας εγκάρσιας μεταβίβασης σε συνεργαζόμενα γειτονικά στοιχεία, ή εξαιτίας του υπάρχοντος οπλισμού οπλισμένου σκυροδέματος. Για τένοντες ή σύρματα διαφορετικής διαμέτρου πρέπει να θεωρείται ότι αστοχούν εκείνα με την μεγαλύτερη διατομή.

 

10.2.2. Οριζόντιες και κατακόρυφες ελεύθερες αποστάσεις μεταξύ τενόντων

 

10.2.2)α Προένταση μετά από την σκλήρυνση του σκυροδέματος

 

Ο σχηματισμός ομάδων (δέσμης) σωλήνων πρέπει γενικώς να αποφεύγεται.

 

Ζεύγος σωλήνων, οι οποίοι είναι τοποθετημένοι κατακορύφως ο ένας πάνω από τον άλλον, μπορεί να χρησιμοποιηθεί υπό τον όρο ότι λαμβάνονται τα αναγκαία μέτρα κατά την τάνυση και κατά την εφαρμογή των τσιμεντενεμάτων.

 

Οι ελάχιστες οριζόντιες και κατακόρυφες ελεύθερες αποστάσεις μεταξύ μεμονωμένων τενόντων δίνονται ως εξής:

 

Οριζόντια ≥Φσωλ ή 40 mm
Κατακόρυφα ≥Φσωλ ή 50 mm

 

όπου Φσωλ η διάμετρος του σωλήνα.

Ο πιο πάνω περιορισμός για την οριζόντια απόσταση ισχύει και για ζεύγη τενόντων.

 

10.2.2)β Προένταση πριν από την διάστρωση του σκυροδέματος

 

Σε αυτή την περίπτωση, ο σχηματισμός ομάδων τενόντων απαγορεύεται.

 

Οι ελάχιστες οριζόντιες και κατακόρυφες ελεύθερες αποστάσεις μεταξύ μεμονωμένων τενόντων δίδονται στο Σχήμα 17.7.

 

ekos2000.43

 

Σχήμα 17.7: Ελάχιστες αποστάσεις τενόντων (Φ = η εξωτερική διάμετρος σωλήνων ράβδων και συρμάτων)

 

 

10.2.3. Επικάλυψη

 

10.2.3)α. Προένταση μετά την σκλήρυνση του σκυροδέματος

 

Το ελάχιστο πάχος σκυροδέματος μεταξύ μιας εξωτερικής παρειάς και ενός σωλήνα ή μιας δέσμης σωλήνων θα πρέπει αφενός μεν να είναι τουλάχιστον ίσο με τις ονομαστικές τιμές που δίνονται στην παράγραφο 5.1 και στην παράγραφο 5, αφετέρου δε να μην είναι μικρότερο από τις τιμές του Σχήματος 17.8.

 

ekos2000.44

 

Σχήμα 17.8: Επικαλύψεις στην περίπτωση προέντασης μετά την σκλήρυνση του σκυροδέματος

 

10.2.3)β. Προένταση πριν από την διάστρωση του σκυροδέματος

 

Η ελάχιστη επικάλυψη πρέπει να συμφωνεί με την παράγραφο 5.1 και 17.5, αλλά δεν μπορεί να είναι μικρότερη από 20 mm ή 2Φ. Όταν χρησιμοποιούνται σύρματα νευροχαλύβων cmin = 3Φ.

 

10.2.4. Επιτρεπόμενες ακτίνες καμπυλότητας

 

Οι καμπυλότητες θα πρέπει να είναι τέτοιες ώστε οι αναπτυσσόμενες κατά την προένταση δυνάμεις εκτροπής να μην προκαλούν θραύση λόγω τοπικής σύνθλιψης ή διάρρηξη του σκυροδέματος .

 

10.3 Αγκύρωση τενόντων προέντασης και διάταξη αρμοκλείδων

 

Οι διατάξεις αγκύρωσης, σε περίπτωση τενόντων που προεντείνονται μετά από την σκλήρυνση του σκυροδέματος, ή το μήκος αγκύρωσης, σε περίπτωση που προεντείνονται πριν από την έγχυση του σκυροδέματος, πρέπει να εξασφαλίζουν την ανάπτυξη ολόκληρης της αντοχής σχεδιασμού των τενόντων.

 

Ο έλεγχος των τοπικών θλιπτικών φαινομένων στο σκυρόδεμα και ο υπολογισμός του αντίστοιχου κατάλληλου οπλισμού πρέπει να γίνονται με βάση κατάλληλες μεθόδους των οποίων η αξιοπιστία πρέπει να αποδεικνύεται με αναφορά σε πειραματικά αποτελέσματα.

 

Αν χρησιμοποιούνται αρμοκλείδες πρέπει να τοποθετούνται έτσι ώστε να επιτυγχάνονται οι απαιτούμενες αντοχές σε όλες τις διατομές και να μπορούν να πραγματοποιούνται επιτυχώς οι αγκυρώσεις που καθορίζονται πιο πάνω.

 

Γενικώς, οι αρμοκλείδες πρέπει να τοποθετούνται μακράν ενδιαμέσων στηρίξεων. Επίσης, πρέπει να αποφεύγεται η επέκταση μέσω αρμοκλείδων περισσότερων από το 50% των τενόντων σε μία διατομή.

 

11. Κανόνας για τους οπλισμούς συρραφής σε αρμούς διακοπής σκυροδέτησης

 

Οι εσωτερικές επίπεδες επιφάνειες του σκυροδέματος που καταπονούνται από διατμητικές δυνάμεις και για τις οποίες δεν προβλέπονται ειδικοί έλεγχοι, πρέπει να διασχίζονται από κατάλληλους οπλισμούς οι οποίοι να αγκυρώνονται και στις δύο πλευρές αυτών των επιφανειών και να κατανέμονται ομοιόμορφα εγκαρσίως. Οι οπλισμοί αυτοί πρέπει να σχηματίζουν με τις επιφάνειες αυτές γωνία 45°-90°.

 

Στις επιφάνειες αυτές η τιμή της δύναμης ολίσθησης σχεδιασμού ανά μονάδα μήκους αρμού πρέπει να επαληθεύει την σχέση:

 

Ecos103 (17.6)

 

όπου:

 

As το άθροισμα των διατομών των οπλισμών που σχηματίζουν στρώση οπλισμού συρραφής,

s η απόσταση μεταξύ των οπλισμών συρραφής, μετρούμενη παράλληλα προς την υπόψη επιφάνεια,

fyd η τιμή σχεδιασμού του ορίου διαρροής του οπλισμού συρραφής, και

α η γωνία του οπλισμού με την υπόψη επίπεδη επιφάνεια.

 

12. Συμπληρωματικοί κανόνες για δέσμες ράβδων

 

12.1. Ισοδύναμη διάμετρος, επικάλυψη, αποστάσεις ράβδων

 

Δέσμες ράβδων επιτρέπονται για ράβδους με Φ ≤ 28 mm και μόνο για ράβδους υψηλής συνάφειας. Οι ράβδοι μιας δέσμης πρέπει να έχουν ίδια διάμετρο και χαρακτηριστικά.

Για τη μελέτη, οι δέσμες αντικαθίστανται από μια ιδεατή ράβδο, η οποία έχει την ίδια διατομή με τη δέσμη, το ίδιο κέντρο βάρους και μια ισοδύναμη διάμετρο Φn που ορίζεται από τη σχέση:

 

Ecos104 (17.7)

 

Ο αριθμός των ράβδων μιας δέσμης περιορίζεται σε:

 

n ≤ 4 για κατακόρυφες θλιβόμενες ράβδους και για ράβδους μιας ένωσης με υπερκάλυψη,

 

n ≤ 3 για όλες τις άλλες περιπτώσεις. Δεν επιτρέπονται διατάξεις τριών ή περισσότερων ράβδων εν σειρά.

 

Για τον υπολογισμό της ελάχιστης επικάλυψης σκυροδέματος και των αποστάσεων των ράβδων λαμβάνεται υπόψη η ισοδύναμη διάμετρος Φn. Η επικάλυψη και οι αποστάσεις πρέπει να μετρηθούν από την πραγματική εξωτερική περίμετρο της δέσμης των ράβδων.

 

12.2. Αγκυρώσεις και ενώσεις

 

Αγκυρώσεις και ενώσεις με υπερκάλυψη δεσμών πραγματοποιούνται με την αγκύρωση και υπερκάλυψη των μεμονωμένων ράβδων.

 

Οι αγκυρώσεις των ράβδων μιας δέσμης δεν μπορούν να είναι παρά μόνο ευθύγραμμες και οι μεμονωμένες ράβδοι πρέπει να τελειώνουν κατά αποστάσεις. Για δέσμες 2, 3 ή 4 ράβδων οι αποστάσεις αυτές θα πρέπει να είναι αντίστοιχα 1.2, 1.3 και 1.4 φορές το μήκος αγκύρωσης των μεμονωμένων ράβδων. Οι ράβδοι μιας δέσμης πρέπει να υπερκαλύπτονται μία προς μία. Οι μεμονωμένες υπερκαλύψεις των ράβδων μιας δέσμης πρέπει να απέχουν μεταξύ τους. Οι ελάχιστες αποστάσεις δίνονται από την προηγούμενη παράγραφο. Σε καμία διατομή η δέσμη δεν μπορεί να αποτελείται από περισσότερες από 4 ράβδους.

 



Copyright © 2017 TechnoLogismiki. Με την επιφύλαξη παντός δικαιώματος.