| Συνδεθείτε στην Υπηρεσία Νομοσκόπιο | | | | | Νέοι χρήστες | | Εάν είστε νέος χρήστης, θα πρέπει να δημιουργήσετε ένα ΔΩΡΕΑΝ λογαριασμό προκειμένου να φύγει το παράθυρο αυτό και να αποκτήσετε πλήρη πρόσβαση στην υπηρεσία Νομοσκόπιο. | | Δημιουργία νέου λογαριασμού | | |
1. Για κάθε φαρμακευτικό ιδιοσκεύασμα που συνταγογραφείται από ιατρό και το τίμημα του οποίου καλύπτεται από τους Φορείς Κοινωνικής Ασφάλισης (ΦΚΑ) και τον Εθνικό Οργανισμό Παροχής Υπηρεσιών Υγείας θεσπίζεται τιμή κοινωνικής ασφάλισης (εφεξής ΤΚΑ), η οποία συνίσταται επί της τιμής παραγωγού και εισαγωγέα, όπως αυτή ορίζεται στην εκάστοτε ισχύουσα υπουργική απόφαση που καθορίζει τον τρόπο τιμολόγησης των φαρμακευτικών ιδιοσκευασμάτων, μειωμένη κατά τα ποσοστά επιπρόσθετης έκπτωσης των παραγράφων 2 και 3 του παρόντος άρθρου.
2. Τα φαρμακεία του Εθνικού Οργανισμού Παροχής Υπηρεσιών Υγείας, τα νοσοκομεία του Εθνικού Συστήματος Υγείας και των αποκεντρωμένων μονάδων αυτών, το Ωνάσειο Καρδιοχειρουργικό Κέντρο, το Νοσοκομείο Παπαγεωργίου, καθώς και όλα τα νοσοκομεία του Δημοσίου οποιασδήποτε μορφής προμηθεύονται τα φαρμακευτικά προϊόντα με ποσοστό έκπτωσης 5% επί της νοσοκομειακής τιμής, όπως αυτή η τιμή εκάστοτε καθορίζεται στην ισχύουσα υπουργική απόφαση που καθορίζει τον τρόπο τιμολόγησης των φαρμακευτικών ιδιοσκευασμάτων. Το ποσό της έκπτωσης του 5% ως άνω υπολογίζεται επί του τιμολογίου αγοράς των νοσοκομείων. Εξαιρούνται τα φαρμακευτικά προϊόντα που θα ενταχθούν στη διαγωνιστική διαδικασία εφόσον η τιμή με την οποία θα κατακυρωθούν στο διαγωνισμό, είναι μικρότερη από αυτήν που προκύπτει από την προηγούμενη επιστροφή επί της νοσοκομειακής τιμής. Το ποσοστό αυτής της έκπτωσης συνυπολογίζεται και αφαιρείται κατά τον τελικό υπολογισμό του συνολικού ποσοστού επιστροφής (rebate) που ορίζεται στην επόμενη παράγραφο.
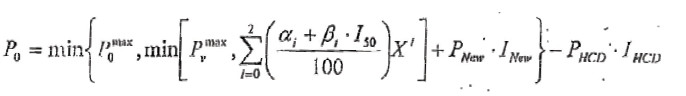
3. Οι Κάτοχοι Άδειας Κυκλοφορίας φαρμάκων (ΚΑΚ) υποχρεούνται κάθε τρίμηνο σε ποσό επιστροφής ίσο με το ποσοστό επί των συνολικών πωλήσεων, του προηγούμενου τριμήνου όλων των συσκευασιών, περιεκτικοτήτων και μορφών του εκάστοτε φαρμακευτικού προϊόντος, σύμφωνα με τον τύπο που ακολουθεί:

Ρ0, ορίζεται το τελικό ποσοστό επιστροφής των συνολικών πωλήσεων, σε τιμές παραγωγού, του προηγούμενου τριμήνου όλων των συσκευασιών, περιεκτικοτήτων και μορφών του εκάστοτε φαρμακευτικού προϊόντος.
P0max, ορίζεται ως το μέγιστο τελικό ποσοστό επιστροφής των συνολικών πωλήσεων του προηγούμενου τριμήνου όλων των συσκευασιών, περιεκτικοτήτων και μορφών του εκάστοτε φαρμακευτικού προϊόντος που λαμβάνει την τιμή 0,50.
PVmax, ορίζεται ως το μέγιστο τελικό ποσοστό επιστροφής όγκου των συνολικών πωλήσεων του προηγούμενου τριμήνου όλων των συσκευασιών, περιεκτικοτήτων και μορφών του εκάστοτε φαρμακευτικού προϊόντος, το οποίο λαμβάνει την τιμή 0,30.
PHCD, ορίζεται ως το ποσοστό επιστροφής για φάρμακα όταν χορηγούνται από τα φαρμακεία Εθνικού Οργανισμού Παροχής Υπηρεσιών Υγείας και νοσοκομείων Εθνικού Συστήματος Υγείας, λόγω της τιμής προμήθειάς τους σε Νοσοκομειακή Τιμή - 5%, το οποίο λαμβάνει την τιμή 0,133, όπως ορίζονται στην παράγραφο 2 του παρόντος άρθρου.
PNew, ορίζεται ως το ποσοστό επιστροφής, το οποίο λαμβάνει τιμή 0,25, για νέα φάρμακα που βρίσκονται σε περίοδο προστασίας των δεδομένων τους ως προς τη δραστική τους ουσία και εντάχθηκαν ή θα ενταχθούν στη θετική λίστα αποζημίωσης μετά την 01-01-2017. Το επιπλέον αυτό ποσό επιστροφής ισχύει μέχρις ότου αρχίσει η αποζημίωση των φαρμάκων αυτών με την τιμή που επιτυγχάνεται μέσω της διαδικασίας διαπραγμάτευσης του άρθρου 3 του νόμου 4208/2013 (ΦΕΚ 252/Α/2013) και σε κάθε περίπτωση, κατ' ανώτατο όριο, έως 2 έτη από την ένταξή τους.
Εξαιρούνται από την εφαρμογή της τιμής 0,25 τα ορφανά φάρμακα, όπως ορίζονται με απόφαση του Υπουργού Υγείας στην περίπτωση β' της παραγράφου 1 του άρθρου 12 του νόμου 3816/2010.
αi, συντελεστές της εξίσωσης που λαμβάνουν τιμές:
βi, συντελεστές που προστίθενται στους αi, για τις ειδικές περιπτώσεις φαρμάκων τα οποία δεν διαθέτουν γενόσημα ή μια θεραπευτική κατηγορία στο σύνολό της περιέχει μία μοναδική ή περισσότερες δραστικές ουσίες χωρίς γενόσημα φάρμακα, με λιανική τιμή υψηλότερη από την τιμή αποζημίωσης, οι οποίοι λαμβάνουν τιμές:
Ι50, κατάλληλη δείκτρια συνάρτησης που λαμβάνει την τιμή 1 όταν φάρμακα τα οποία δεν διαθέτουν γενόσημα ή μία θεραπευτική κατηγορία στο σύνολό της περιέχει μία μοναδική ή περισσότερες δραστικές ουσίες χωρίς γενόσημα φάρμακα, με λιανική τιμή υψηλότερη από την τιμή αποζημίωσης, αλλιώς λαμβάνει την τιμή 0.
INew, κατάλληλη δείκτρια συνάρτηση που λαμβάνει την τιμή 1 για νέα φάρμακα που βρίσκονται σε περίοδο προστασίας των δεδομένων τους ως προς τη δραστική τους ουσία και εντάσσονται στη θετική λίστα αποζημίωσης, σύμφωνα με την περίπτωση β' της παραγράφου 1 του άρθρου 12 του νόμου 3816/2010, μέχρις ότου αρχίσει η αποζημίωση των φαρμάκων αυτών με την τιμή που επιτυγχάνεται μέσω της διαδικασίας διαπραγμάτευσης του άρθρου 3 του νόμου 4208/2013 και σε κάθε περίπτωση, κατ' ανώτατο όριο, έως 2 έτη από την ένταξή τους, αλλιώς λαμβάνει την τιμή 0. Δεν λαμβάνουν την τιμή 1 τα ορφανά φάρμακα, όπως ορίζονται με απόφαση του Υπουργού Υγείας στην περίπτωση β' της παραγράφου 1 του άρθρου 12 του νόμου 3816/2010.
IHCD, κατάλληλη δείκτρια συνάρτησης που λαμβάνει τιμή 1 για φάρμακα που χορηγούνται από φαρμακεία Εθνικού Οργανισμού Παροχής Υπηρεσιών Υγείας και νοσοκομεία Εθνικού Συστήματος Υγείας της παραγράφου 2 του παρόντος άρθρου, λόγω της τιμής προμήθειάς τους, αλλιώς λαμβάνει την τιμή 0.
Χ, οι συνολικές πωλήσεις σε τιμές παραγωγού, του προηγούμενου τριμήνου όλων των συσκευασιών, περιεκτικοτήτων και μορφών του εκάστοτε φαρμακευτικού προϊόντος.
Το τελικό ποσό που καλείται να επιστρέψει κάθε Κάτοχος Άδειας Κυκλοφορίας προκύπτει από τον πολλαπλασιασμό του ανωτέρω ποσοστού (Ρ0) με τις συνολικές πωλήσεις του προηγούμενου τριμήνου όλων των συσκευασιών, περιεκτικοτήτων και μορφών του εκάστοτε φαρμακευτικού προϊόντος που υπολογίζονται στη βάση της τιμής παραγωγού, όπως ορίζεται από τις υπουργικές αποφάσεις τιμολόγησης.
Για την απόδοση του πρόσθετου ποσού επιστροφής λαμβάνονται υπόψη οι πωλήσεις του προηγούμενου τριμήνου βάσει των στοιχείων που αντλεί ο Εθνικός Οργανισμός Παροχής Υπηρεσιών Υγείας και οι Φορείς Κοινωνικής Ασφάλισης από το σύστημα ηλεκτρονικής συνταγογράφησης, το σύστημα σάρωσης συνταγών του Εθνικού Οργανισμού Παροχής Υπηρεσιών Υγείας και από το άθροισμα των τιμολογίων που εκδίδουν οι φαρμακευτικές εταιρείες προς τα φαρμακεία του Εθνικού Οργανισμού Παροχής Υπηρεσιών Υγείας στο σύνολό τους και τα Νοσοκομεία του Εθνικού Συστήματος Υγείας στο σύνολό τους, αντίστοιχα. Συγκεκριμένα, στα Νοσοκομεία του Εθνικού Συστήματος Υγείας η κατανομή του ως άνω ποσού rebate θα γίνεται βάσει του μεριδίου της φαρμακευτικής δαπάνης εκάστου Νοσοκομείου για κάθε φάρμακο, επί του συνόλου της δαπάνης του συνόλου των Νοσοκομείων για το φάρμακο αυτό.
Το ποσό καταβάλλεται αντίστοιχα για το πρώτο τρίμηνο μέχρι 31 Μαΐου, για το δεύτερο τρίμηνο μέχρι 31 Αυγούστου, για το τρίτο τρίμηνο μέχρι 30 Νοεμβρίου του ίδιου έτους και για το τέταρτο τρίμηνο μέχρι 28 Φεβρουάριου του επόμενου έτους. Η είσπραξη των εν λόγω ποσών γίνεται αποκλειστικά με ευθύνη και μέριμνα των υπηρεσιών των φορέων, στα πλαίσια περιστολής της φαρμακευτικής δαπάνης. Για τους φορείς που δεν διαθέτουν σύστημα ηλεκτρονικής συνταγογράφησης ή σάρωσης συνταγών, το ποσό που υποχρεούται να αποδώσει κάθε εταιρεία ή κάτοχος άδειας κυκλοφορίας φαρμακευτικών προϊόντων προκύπτει από τα στοιχεία των συνολικών πωλήσεών της ανά φαρμακευτικό ιδιοσκεύασμα, αφού αφαιρεθούν οι πωλήσεις προς τα νοσοκομεία και οι παράλληλες εξαγωγές σύμφωνα με τα στοιχεία του Εθνικού Οργανισμού Φαρμάκων και για τον υπολογισμό του ποσού αυτού λαμβάνεται υπόψη η σχέση δημόσιας προς ιδιωτική φαρμακευτική δαπάνη, ήτοι 80% - 20%.
Η ισχύς της παρούσας παραγράφου άρχεται από 01-01-2017.
ΣΗΜΕΙΩΣΗ: Η παράγραφος 3 τίθεται όπως αντικαταστάθηκε με την παράγραφο 7 του άρθρου 97 του νόμου [Ν] 4486/2017 (ΦΕΚ 115/Α/2017) και τροποποιήθηκε με τις παραγράφους 1 και 2 του άρθρου 42 του νόμου [Ν] 4489/2017 (ΦΕΚ 140/Α/2017).
|
4. Η καταβολή του ποσού επιστροφής των παραγράφων 2 και 3 από τον Κάτοχο Άδειας Κυκλοφορίας ή φαρμακευτική εταιρεία μπορεί να γίνει είτε με απευθείας κατάθεση μετρητών στον λογαριασμό του Εθνικού Οργανισμού Παροχής Υπηρεσιών Υγείας ή του ΦΚΑ και του νοσοκομείου, είτε μέσω συμψηφισμού του ποσού επιστροφής με αντίστοιχες οφειλές του Εθνικού Οργανισμού Παροχής Υπηρεσιών Υγείας ή του νοσοκομείου προς τις φαρμακευτικές εταιρείες για προμήθεια φαρμάκων στα φαρμακεία τους.
5. Ο Εθνικός Οργανισμός Παροχής Υπηρεσιών Υγείας δύναται να συμψηφίζει με απόφαση Διοικητικού Συμβουλίου τα οφειλόμενα από τους Κατόχους Άδειας Κυκλοφορίας φαρμακευτικών ιδιοσκευασμάτων ποσά, που προκύπτουν από την υποχρέωσή τους επιστροφής (rebate) των παραγράφων 2 και 3 του παρόντος άρθρου, με ισόποσες οφειλές του προς τους Κατόχους Άδειας Κυκλοφορίας, από την προμήθεια φαρμακευτικών ιδιοσκευασμάτων για τα φαρμακεία του, τα Νοσοκομεία του Εθνικού Συστήματος Υγείας, τους συμβεβλημένους παρόχους και τους εποπτευόμενους από το Υπουργείο Υγείας Φορείς και Οργανισμούς καθώς και τα υπαγόμενα σε αυτό νομικά πρόσωπα ιδιωτικού και δημοσίου δικαίου.
Εφόσον μετά τον συμψηφισμό ως ανωτέρω, παραμένει ανεξόφλητο ποσό απαιτήσεων ή σε περίπτωση κατά την οποία φαρμακευτικές εταιρείες ή Κάτοχοι Άδειας Κυκλοφορίας φαρμακευτικών σκευασμάτων δεν έχουν απαιτήσεις έναντι του Εθνικού Οργανισμού Παροχής Υπηρεσιών Υγείας, αλλά μόνο έναντι νοσοκομείων, τότε οι απαιτήσεις του Εθνικού Οργανισμού Παροχής Υπηρεσιών Υγείας έναντι των φαρμακευτικών εταιρειών ή των Κατόχων Άδειας Κυκλοφορίας από το ποσό επιστροφής (rebate) που προβλέπεται στις παραγράφους 2 και 3 του παρόντος άρθρου δύνανται να εκχωρούνται κατόπιν απόφασης του Διοικητικού του Συμβουλίου, προς τα νοσοκομεία έναντι καταβολής νοσοκομειακής φαρμακευτικής δαπάνης ασφαλισμένων του, τα δε νοσοκομεία συμψηφίζουν υποχρεωτικά το ποσό των ανωτέρω εκχωρούμενων προς αυτά απαιτήσεων με οφειλές τους προς τις φαρμακευτικές εταιρείες και τους Κατόχους Άδειας Κυκλοφορίας φαρμακευτικών σκευασμάτων. Ο συμψηφισμός γίνεται μόνο μεταξύ των εκχωρηθέντων προς τα νοσοκομεία, κατά το προηγούμενο εδάφιο, απαιτήσεων και εκκαθαρισμένων οφειλών των νοσοκομείων προς φαρμακευτικές εταιρείες ή Κατόχους Αδείας Κυκλοφορίας φαρμακευτικών σκευασμάτων που δημιουργήθηκαν εντός του ίδιου έτους. Με κοινή απόφαση των Υπουργών Οικονομικών και Υγείας καθορίζονται τα ποσά που κάθε φορά εκχωρούνται και συμψηφίζονται κατά τις διατάξεις της παρούσας παραγράφου, η σχετική διαδικασία, καθώς και κάθε άλλη αναγκαία λεπτομέρεια για την εφαρμογή των προηγούμενων εδαφίων.
6. α) Σε περίπτωση μη έγκαιρης απόδοσης του ποσού επιστροφής των παραγράφων 2 και 3 του παρόντος άρθρου, αυτά εισπράττονται με τη διαδικασία του Κώδικα Είσπραξης Δημοσίων Εσόδων.
β) Τα φαρμακευτικά προϊόντα για τα οποία δεν αποδόθηκε το ποσό της επιστροφής διαγράφονται από τον κατάλογο αποζημιούμενων φαρμάκων της παραγράφου 1 του άρθρου 12 του νόμου 3816/2010.
γ) Οι εταιρείες δικαιούνται βεβαίωσης καταβολής του ποσού επιστροφής για φορολογική χρήση.
7. Για τα εμβόλια του Εθνικού Προγράμματος Εμβολιασμών και τα φάρμακα που εισάγονται μέσω ΙΦΕΤ, οι Κάτοχοι Άδειας Κυκλοφορίας απαλλάσσονται της υποχρέωσης καταβολής των επιστροφών του παρόντος.
8. Για τις ειδικές περιπτώσεις που επιλέγεται φάρμακο το οποίο δεν διαθέτει γενόσημο ή μια θεραπευτική κατηγορία στο σύνολό της περιέχει μία μοναδική ή περισσότερες δραστικές ουσίες χωρίς γενόσημα φάρμακα, όπου επιλέγεται φάρμακο με λιανική τιμή υψηλότερη από την τιμή αποζημίωσης, ο ασθενής καλύπτει εκτός από την προβλεπόμενη θεσμοθετημένη συμμετοχή το ήμισυ της διαφοράς μεταξύ της τιμής αποζημίωσης και της λιανικής τιμής του φαρμάκου.
9. Στην περίπτωση των φαρμάκων της περίπτωσης α' της παραγράφου 2 του άρθρου 12 του νόμου 3816/2010, τα οποία χορηγούνται από ιδιωτικά φαρμακεία, ο Εθνικός Οργανισμός Παροχής Υπηρεσιών Υγείας επιβάλει πέραν του rebate της παραγράφου 1 του παρόντος rebate τέτοιο ώστε η τελική τιμή αγοράς για τον Εθνικό Οργανισμό Παροχής Υπηρεσιών Υγείας να είναι αντίστοιχη με εκείνη που επιτυγχάνεται όταν προμηθεύεται το φάρμακο αυτό από τα φαρμακεία του.
ΣΗΜΕΙΩΣΗ: Το παρόν άρθρο τίθεται όπως αντικαταστάθηκε με την παράγραφο 1 του άρθρου 87 του νόμου 4472/2017 (ΦΕΚ 74/Α/2017).
|