| Συνδεθείτε στην Υπηρεσία Νομοσκόπιο | | | | | Νέοι χρήστες | | Εάν είστε νέος χρήστης, θα πρέπει να δημιουργήσετε ένα ΔΩΡΕΑΝ λογαριασμό προκειμένου να φύγει το παράθυρο αυτό και να αποκτήσετε πλήρη πρόσβαση στην υπηρεσία Νομοσκόπιο. | | Δημιουργία νέου λογαριασμού | | |
1. Το άρθρο 35 του νόμου 3918/2011 (ΦΕΚ 31/Α/2011), αντικαθίσταται ως εξής:
{1. Για κάθε φαρμακευτικό ιδιοσκεύασμα που συνταγογραφείται από ιατρό και το τίμημα του οποίου καλύπτεται από τους Φορείς Κοινωνικής Ασφάλισης (ΦΚΑ) και τον Εθνικό Οργανισμό Παροχής Υπηρεσιών Υγείας θεσπίζεται τιμή κοινωνικής ασφάλισης (εφεξής ΤΚΑ), η οποία συνίσταται επί της τιμής παραγωγού και εισαγωγέα, όπως αυτή ορίζεται στην εκάστοτε ισχύουσα υπουργική απόφαση που καθορίζει τον τρόπο τιμολόγησης των φαρμακευτικών ιδιοσκευασμάτων, μειωμένη κατά τα ποσοστά επιπρόσθετης έκπτωσης των παραγράφων 2 και 3 του παρόντος άρθρου.
2. Τα φαρμακεία του Εθνικού Οργανισμού Παροχής Υπηρεσιών Υγείας, τα νοσοκομεία του Εθνικού Συστήματος Υγείας και των αποκεντρωμένων μονάδων αυτών, το Ωνάσειο Καρδιοχειρουργικό Κέντρο, το Νοσοκομείο Παπαγεωργίου, καθώς και όλα τα νοσοκομεία του Δημοσίου οποιασδήποτε μορφής προμηθεύονται τα φαρμακευτικά προϊόντα με ποσοστό έκπτωσης 5% επί της νοσοκομειακής τιμής, όπως αυτή η τιμή εκάστοτε καθορίζεται στην ισχύουσα υπουργική απόφαση που καθορίζει τον τρόπο τιμολόγησης των φαρμακευτικών ιδιοσκευασμάτων. Το ποσό της έκπτωσης του 5% ως άνω υπολογίζεται επί του τιμολογίου αγοράς των νοσοκομείων. Εξαιρούνται τα φαρμακευτικά προϊόντα που θα ενταχθούν στη διαγωνιστική διαδικασία εφόσον η τιμή με την οποία θα κατακυρωθούν στο διαγωνισμό, είναι μικρότερη από αυτήν που προκύπτει από την προηγούμενη επιστροφή επί της νοσοκομειακής τιμής. Το ποσοστό αυτής της έκπτωσης συνυπολογίζεται και αφαιρείται κατά τον τελικό υπολογισμό του συνολικού ποσοστού επιστροφής (rebate) που ορίζεται στην επόμενη παράγραφο.
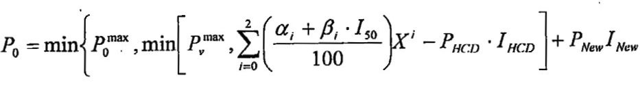
3. Οι Κάτοχοι Άδειας Κυκλοφορίας φαρμάκων (ΚΑΚ) υποχρεούνται κάθε τρίμηνο σε ποσό επιστροφής ίσο με το ποσοστό επί των συνολικών πωλήσεων, του προηγούμενου τριμήνου όλων των συσκευασιών, περιεκτικοτήτων και μορφών του εκάστοτε φαρμακευτικού προϊόντος, σύμφωνα με τον τύπο που ακολουθεί:

Όπου:
P0, ορίζεται το τελικό ποσοστό επιστροφής των συνολικών πωλήσεων, σε τιμές της παραγράφου 1 του παρόντος άρθρου, του προηγούμενου τριμήνου όλων των συσκευασιών, περιεκτικοτήτων και μορφών του εκάστοτε φαρμακευτικού προϊόντος.
P0max, ορίζεται ως το μέγιστο τελικό ποσοστό επιστροφής των συνολικών πωλήσεων του προηγούμενου τριμήνου όλων των συσκευασιών, περιεκτικοτήτων και μορφών του εκάστοτε φαρμακευτικού προϊόντος που λαμβάνει την τιμή 0,50.
PVmax, ορίζεται ως το μέγιστο τελικό ποσοστό επιστροφής όγκου των συνολικών πωλήσεων του προηγούμενου τριμήνου όλων των συσκευασιών, περιεκτικοτήτων και μορφών του εκάστοτε φαρμακευτικού προϊόντος, το οποίο λαμβάνει την τιμή 0,30.
PHCD, ορίζεται ως το ποσοστό επιστροφής για φάρμακα όταν χορηγούνται από τα φαρμακεία ΕΟΠΥΥ και νοσοκομείων Εθνικού Συστήματος Υγείας, λόγω της τιμής προμήθειας τους σε Νοσοκομειακή Τιμή - 5%, το οποίο λαμβάνει την τιμή 0,133, όπως ορίζονται στην παράγραφο 2 του παρόντος άρθρου.
PNew, ορίζεται ως το ποσοστό επιστροφής, το οποίο λαμβάνει τιμή 0,25, για νέα φάρμακα που βρίσκονται σε περίοδο προστασίας των δεδομένων τους ως προς τη δραστική τους ουσία και εντάσσονται στη θετική λίστα αποζημίωσης, μετά τη δημοσίευση του παρόντος νόμου, ήτοι είτε έχουν υποβάλει αίτηση που εκκρεμεί κατά τη δημοσίευση του παρόντος νόμου ήτοι είτε θα υποβάλουν αίτηση μετά τη δημοσίευση του παρόντος νόμου, σύμφωνα με την περίπτωση β' της παραγράφου 1 του άρθρου 12 του νόμου 3816/2010 (ΦΕΚ 6/Α/2010). Το επιπλέον αυτό ποσό επιστροφής ισχύει μέχρις ότου αρχίσει η αποζημίωση των φαρμάκων αυτών με την τιμή που επιτυγχάνεται μέσω της διαδικασίας διαπραγμάτευσης του άρθρου 3 του νόμου 4208/2013 (ΦΕΚ 252/Α/2013) και σε κάθε περίπτωση, κατ' ανώτατο όριο, έως 2 έτη από την ένταξή τους.
Εξαιρούνται από την εφαρμογή της τιμής 0,25 τα ορφανά φάρμακα, όπως ορίζονται με απόφαση του Υπουργού Υγείας στην περίπτωση β' της παραγράφου 1 του άρθρου 12 του νόμου 3816/2010.
αi, συντελεστές της εξίσωσης που λαμβάνουν τιμές:
βi, συντελεστές που προστίθενται στους αi, για τις ειδικές περιπτώσεις φαρμάκων τα οποία δεν διαθέτουν γενόσημα ή μια θεραπευτική κατηγορία στο σύνολό της περιέχει μία μοναδική ή περισσότερες δραστικές ουσίες χωρίς γενόσημα φάρμακα, με λιανική τιμή υψηλότερη από την τιμή αποζημίωσης, οι οποίοι λαμβάνουν τιμές:
Ι50, Κατάλληλη δείκτρια συνάρτησης που λαμβάνει την τιμή 1 όταν φάρμακα τα οποία δεν διαθέτουν γενόσημα ή μία θεραπευτική κατηγορία στο σύνολό της περιέχει μία μοναδική ή περισσότερες δραστικές ουσίες χωρίς γενόσημα φάρμακα, με λιανική τιμή υψηλότερη από την τιμή αποζημίωσης, αλλιώς λαμβάνει την τιμή 0.
INew, Κατάλληλη δείκτρια συνάρτηση που λαμβάνει την τιμή 1 για νέα φάρμακα που βρίσκονται σε περίοδο προστασίας των δεδομένων τους ως προς τη δραστική τους ουσία και εντάσσονται στη θετική λίστα αποζημίωσης, σύμφωνα με την περίπτωση β' της παραγράφου 1 του άρθρου 12 του νόμου 3816/2010 μέχρις ότου αρχίσει η αποζημίωση των φαρμάκων αυτών με την τιμή που επιτυγχάνεται μέσω της διαδικασίας διαπραγμάτευσης του άρθρου 3 του νόμου 4208/2013 και σε κάθε περίπτωση, κατ' ανώτατο όριο, έως 2 έτη από την ένταξή τους, αλλιώς λαμβάνει την τιμή 0. Δεν λαμβάνουν την τιμή 1 τα ορφανά φάρμακα, όπως ορίζονται με απόφαση του Υπουργού Υγείας στην περίπτωση β' της παραγράφου 1 του άρθρου 12 του νόμου 3816/2010.
IHGD, Κατάλληλη δείκτρια συνάρτησης που λαμβάνει τιμή 1 για φάρμακα που χορηγούνται από φαρμακεία Εθνικού Οργανισμού Παροχής Υπηρεσιών Υγείας και νοσοκομεία Εθνικού Συστήματος Υγείας της παραγράφου 2 του παρόντος άρθρου, λόγω της τιμής προμήθειάς τους, αλλιώς λαμβάνει την τιμή 0.
Χ, οι συνολικές πωλήσεις σε τιμές της παραγράφου 1 του παρόντος άρθρου, του προηγούμενου τριμήνου όλων των συσκευασιών, περιεκτικοτήτων και μορφών του εκάστοτε φαρμακευτικού προϊόντος.
Το τελικό ποσό που καλείται να επιστρέψει κάθε Κάτοχος Άδειας Κυκλοφορίας προκύπτει από τον πολλαπλασιασμό του ανωτέρω ποσοστού (P0) με τις συνολικές πωλήσεις του προηγούμενου τριμήνου όλων των συσκευασιών, περιεκτικοτήτων και μορφών του εκάστοτε φαρμακευτικού προϊόντος που υπολογίζονται στη βάση της τιμής παραγωγού, όπως ορίζεται από τις υπουργικές αποφάσεις τιμολόγησης. Για την απόδοση του πρόσθετου ποσού επιστροφής λαμβάνονται υπόψη οι πωλήσεις του προηγούμενου τριμήνου βάσει των στοιχείων που αντλεί ο Εθνικός Οργανισμός Παροχής Υπηρεσιών Υγείας και οι Φορείς Κοινωνικής Ασφάλισης από το σύστημα ηλεκτρονικής συνταγογράφησης, το σύστημα σάρωσης συνταγών του Εθνικού Οργανισμού Παροχής Υπηρεσιών Υγείας και από το άθροισμα των τιμολογίων που εκδίδουν οι φαρμακευτικές εταιρείες προς τα φαρμακεία του Εθνικού Οργανισμού Παροχής Υπηρεσιών Υγείας στο σύνολό τους και σε κάθε νοσοκομείο του Εθνικού Συστήματος Υγείας ξεχωριστά.
Το ποσό καταβάλλεται αντίστοιχα για το πρώτο τρίμηνο μέχρι 31 Μαΐου, για το δεύτερο τρίμηνο μέχρι 31 Αυγούστου, για το τρίτο τρίμηνο μέχρι 30 Νοεμβρίου του ίδιου έτους και για το τέταρτο τρίμηνο μέχρι 28 Φεβρουαρίου του επόμενου έτους. Η είσπραξη των εν λόγω ποσών γίνεται αποκλειστικά με ευθύνη και μέριμνα των υπηρεσιών των φορέων, στα πλαίσια περιστολής της φαρμακευτικής δαπάνης. Για τους φορείς που δεν διαθέτουν σύστημα ηλεκτρονικής συνταγογράφησης ή σάρωσης συνταγών το ποσό που υποχρεούται να αποδώσει κάθε εταιρεία ή κάτοχος άδειας κυκλοφορίας φαρμακευτικών προϊόντων προκύπτει από τα στοιχεία των συνολικών πωλήσεών της ανά φαρμακευτικό ιδιοσκεύασμα, αφού αφαιρεθούν οι πωλήσεις προς τα νοσοκομεία και οι παράλληλες εξαγωγές σύμφωνα με τα στοιχεία του Εθνικού Οργανισμού Φαρμάκων και για τον υπολογισμό του ποσού αυτού λαμβάνεται υπόψη η σχέση δημόσιας προς ιδιωτική φαρμακευτική δαπάνη, ήτοι 80% - 20%.
4. Η καταβολή του ποσού επιστροφής των παραγράφων 2 και 3 από τον Κάτοχο Άδειας Κυκλοφορίας ή φαρμακευτική εταιρεία μπορεί να γίνει είτε με απευθείας κατάθεση μετρητών στον λογαριασμό του Εθνικού Οργανισμού Παροχής Υπηρεσιών Υγείας ή του ΦΚΑ και του νοσοκομείου, είτε μέσω συμψηφισμού του ποσού επιστροφής με αντίστοιχες οφειλές του Εθνικού Οργανισμού Παροχής Υπηρεσιών Υγείας ή του νοσοκομείου προς τις φαρμακευτικές εταιρείες για προμήθεια φαρμάκων στα φαρμακεία τους.
5. Ο Εθνικός Οργανισμός Παροχής Υπηρεσιών Υγείας δύναται να συμψηφίζει με απόφαση Διοικητικού Συμβουλίου τα οφειλόμενα από τους Κατόχους Άδειας Κυκλοφορίας φαρμακευτικών ιδιοσκευασμάτων ποσά, που προκύπτουν από την υποχρέωσή τους επιστροφής (rebate) των παραγράφων 2 και 3 του παρόντος άρθρου, με ισόποσες οφειλές του προς τους Κατόχους Άδειας Κυκλοφορίας, από την προμήθεια φαρμακευτικών ιδιοσκευασμάτων για τα φαρμακεία του, τα Νοσοκομεία του Εθνικού Συστήματος Υγείας, τους συμβεβλημένους παρόχους και τους εποπτευόμενους από το Υπουργείο Υγείας Φορείς και Οργανισμούς καθώς και τα υπαγόμενα σε αυτό νομικά πρόσωπα ιδιωτικού και δημοσίου δικαίου.
Εφόσον μετά τον συμψηφισμό ως ανωτέρω, παραμένει ανεξόφλητο ποσό απαιτήσεων ή σε περίπτωση κατά την οποία φαρμακευτικές εταιρείες ή Κάτοχοι Άδειας Κυκλοφορίας φαρμακευτικών σκευασμάτων δεν έχουν απαιτήσεις έναντι του Εθνικού Οργανισμού Παροχής Υπηρεσιών Υγείας, αλλά μόνο έναντι νοσοκομείων, τότε οι απαιτήσεις του Εθνικού Οργανισμού Παροχής Υπηρεσιών Υγείας έναντι των φαρμακευτικών εταιρειών ή των Κατόχων Άδειας Κυκλοφορίας από το ποσό επιστροφής (rebate) που προβλέπεται στις παραγράφους 2 και 3 του παρόντος άρθρου δύνανται να εκχωρούνται κατόπιν απόφασης του Διοικητικού του Συμβουλίου, προς τα νοσοκομεία έναντι καταβολής νοσοκομειακής φαρμακευτικής δαπάνης ασφαλισμένων του, τα δε νοσοκομεία συμψηφίζουν υποχρεωτικά το ποσό των ανωτέρω εκχωρούμενων προς αυτά απαιτήσεων με οφειλές τους προς τις φαρμακευτικές εταιρείες και τους Κατόχους Άδειας Κυκλοφορίας φαρμακευτικών σκευασμάτων. Ο συμψηφισμός γίνεται μόνο μεταξύ των εκχωρηθέντων προς τα νοσοκομεία, κατά το προηγούμενο εδάφιο, απαιτήσεων και εκκαθαρισμένων οφειλών των νοσοκομείων προς φαρμακευτικές εταιρείες ή Κατόχους Αδείας Κυκλοφορίας φαρμακευτικών σκευασμάτων που δημιουργήθηκαν εντός του ίδιου έτους. Με κοινή απόφαση των Υπουργών Οικονομικών και Υγείας καθορίζονται τα ποσά που κάθε φορά εκχωρούνται και συμψηφίζονται κατά τις διατάξεις της παρούσας παραγράφου, η σχετική διαδικασία, καθώς και κάθε άλλη αναγκαία λεπτομέρεια για την εφαρμογή των προηγούμενων εδαφίων.
6. α) Σε περίπτωση μη έγκαιρης απόδοσης του ποσού επιστροφής των παραγράφων 2 και 3 του παρόντος άρθρου, αυτά εισπράττονται με τη διαδικασία του Κώδικα Είσπραξης Δημοσίων Εσόδων.
β) Τα φαρμακευτικά προϊόντα για τα οποία δεν αποδόθηκε το ποσό της επιστροφής διαγράφονται από τον κατάλογο αποζημιούμενων φαρμάκων της παραγράφου 1 του άρθρου 12 του νόμου 3816/2010.
γ) Οι εταιρείες δικαιούνται βεβαίωσης καταβολής του ποσού επιστροφής για φορολογική χρήση.
7. Για τα εμβόλια του Εθνικού Προγράμματος Εμβολιασμών και τα φάρμακα που εισάγονται μέσω ΙΦΕΤ, οι Κάτοχοι Άδειας Κυκλοφορίας απαλλάσσονται της υποχρέωσης καταβολής των επιστροφών του παρόντος.
8. Για τις ειδικές περιπτώσεις που επιλέγεται φάρμακο το οποίο δεν διαθέτει γενόσημο ή μια θεραπευτική κατηγορία στο σύνολό της περιέχει μία μοναδική ή περισσότερες δραστικές ουσίες χωρίς γενόσημα φάρμακα, όπου επιλέγεται φάρμακο με λιανική τιμή υψηλότερη από την τιμή αποζημίωσης, ο ασθενής καλύπτει εκτός από την προβλεπόμενη θεσμοθετημένη συμμετοχή το ήμισυ της διαφοράς μεταξύ της τιμής αποζημίωσης και της λιανικής τιμής του φαρμάκου.
9. Στην περίπτωση των φαρμάκων της περίπτωσης α' της παραγράφου 2 του άρθρου 12 του νόμου 3816/2010, τα οποία χορηγούνται από ιδιωτικά φαρμακεία, ο Εθνικός Οργανισμός Παροχής Υπηρεσιών Υγείας επιβάλει πέραν του rebate της παραγράφου 1 του παρόντος rebate τέτοιο ώστε η τελική τιμή αγοράς για τον Εθνικό Οργανισμό Παροχής Υπηρεσιών Υγείας να είναι αντίστοιχη με εκείνη που επιτυγχάνεται όταν προμηθεύεται το φάρμακο αυτό από τα φαρμακεία του.}
2. Με απόφαση του Υπουργού Υγείας, μετά από πρόταση του διοικητικού συμβουλίου του Εθνικού Οργανισμού Παροχής Υπηρεσιών Υγείας, η οποία λαμβάνει υπόψη της τη γνώμη της Επιτροπής του άρθρου 15 της υπουργικής απόφασης οίκοθεν 3457/2014 (ΦΕΚ 64/Β/2014), δύνανται να τίθενται ετήσιοι προϋπολογισμοί φαρμακευτικής δαπάνης σε επίπεδο φαρμάκου, δραστικής ουσίας (ATC5) ή θεραπευτικής κατηγορίας (ATC4). Η ρύθμιση αυτή δύναται να εφαρμόζεται ειδικότερα σε περιπτώσεις εισαγωγής πολλών νέων φαρμάκων σε συγκεκριμένες θεραπευτικές κατηγορίες. Σε τέτοιες περιπτώσεις οι επιμέρους στόχοι συνυπολογίζονται στον καθορισμό της υπέρβασης της φαρμακευτικής δαπάνης του Εθνικού Οργανισμού Παροχής Υπηρεσιών Υγείας και στον επιμερισμό της υπέρβασης ανά φαρμακευτική εταιρεία ή κάτοχο άδειας κυκλοφορίας. Κατά τα λοιπά εφαρμόζεται η υπ' αριθμόν οίκοθεν Γ5/63587/2015 υπουργική απόφαση (ΦΕΚ 1803/Β/2015).
3. Με απόφαση του Υπουργού Υγείας, μετά από πρόταση της Επιτροπής του άρθρου 15 της υπουργικής απόφασης οίκοθεν 3457/2014 (ΦΕΚ 64/Β/2014), η οποία υποχρεωτικά ενσωματώνει τους συνταγογραφικούς περιορισμούς της Επιτροπής της περίπτωσης γ' της παραγράφου 1 του άρθρου 12 του νόμου 3816/2010 (Επιτροπή Θετικής Λίστας), για μεμονωμένα φάρμακα ή ομάδες φαρμάκων ή για φάρμακα για τα οποία έχει τεθεί ετήσιος προϋπολογισμός φαρμακευτικής δαπάνης, σύμφωνα με την προηγούμενη παράγραφο του παρόντος άρθρου, δύνανται να εκδίδονται πρωτόκολλα συνταγογράφησης, η τήρηση των οποίων καθίσταται υποχρεωτική για την αποζημίωση των φαρμάκων αυτών. Η ως άνω επιτροπή για την ανάπτυξη των πρωτοκόλλων συνταγογράφησης λαμβάνει υπόψη της επιστημονικά κριτήρια, συμπεριλαμβανομένων στοιχείων επιδημιολογικής συχνότητας (επιπολασμός και επίπτωση) και αναγκών κάλυψης σε νόσους και νοσηλείες, καθώς επίσης και οικονομικά κριτήρια, στα οποία συμπεριλαμβάνεται η δημοσιονομική επίπτωση της αποζημίωσης του φαρμάκου βάσει της τιμής αποζημίωσης, όπως εκάστοτε καθορίζεται. Για την εφαρμογή της παρούσας διάταξης, η Επιτροπή Διαπραγμάτευσης που ορίζεται στη διάταξη του άρθρου 3 του νόμου 4208/2013 (ΦΕΚ 252/Α/2013) στέλνει άμεσα το τυχόν αποτέλεσμα της διαπραγμάτευσης στην Επιτροπή Θετικής Λίστας για να ενσωματωθούν στις εισηγήσεις της.
4. Στο τέλος της περίπτωσης δ' της παραγράφου 5 του άρθρου 12 του νόμου 3816/2010 προστίθεται εδάφιο ως εξής:
{Σε κάθε περίπτωση η, κατόπιν εισήγησης της Επιτροπής Διαπραγμάτευσης του άρθρου 3 του νόμου 4208/2013, απόφαση του Διοικητικού Συμβουλίου του Εθνικού Οργανισμού Παροχής Υπηρεσιών Υγείας διαβιβάζεται στην Επιτροπή Θετικής Λίστας και λαμβάνεται υπ' όψιν από αυτήν κατά την κατάρτιση, αναθεώρηση και συμπλήρωση του Θετικού Καταλόγου και ενδεικτικά για την απόρριψη εισαγωγής νέου φαρμάκου, για την απένταξη ήδη ενταγμένου, για την αλλαγή γραμμής θεραπείας ή για συγκεκριμένες ενδείξεις. H Επιτροπή Θετικής Λίστας, όταν της διαβιβάζεται η κατά το προηγούμενο εδάφιο απόφαση του διοικητικού συμβουλίου του Εθνικού Οργανισμού Παροχής Υπηρεσιών Υγείας, συνεδριάζει εντός αποκλειστικής προθεσμίας 10 ημερών για την τροποποίηση του Θετικού Καταλόγου και διαβιβάζει αμελλητί την εισήγηση της στον Υπουργό Υγείας.
Η Επιτροπή Διαπραγμάτευσης δύναται να ζητάει γνωμοδότηση από την Επιτροπή Θετικής Λίστας, σχετικά με το αν πληρούνται τα κριτήρια ένταξης υπό διαπραγμάτευση φαρμάκου, το οποίο δεν περιλαμβάνεται στον τρέχοντα δημοσιευμένο Θετικό Κατάλογο.}
5. Στο άρθρο 3 της υπουργικής απόφασης υπ' αριθμόν 90168/2013 (ΦΕΚ 2543/Β/2013) προστίθεται παράγραφος 3.4, ως εξής:
{3.4. Μεθοδολογία αξιολόγησης και εκτέλεσης εργασιών: Η διαπραγμάτευση δύναται να διενεργείται και με τη χρήση ηλεκτρονικών μέσων, συμπεριλαμβανομένης της χρήσης ειδικών ηλεκτρονικών εφαρμογών. Η μέρα κατάθεσης της αίτησης ορίζεται ως η ημερομηνία που λαμβάνεται αριθμός πρωτοκόλλου από τη γραμματεία της Επιτροπής Διαπραγμάτευσης και κοινοποιείται στον αιτούντα. Η προθεσμία ξεκινά από την επόμενη ημέρα της κατάθεσης, η οποία ορίζεται ως η πρώτη μέρα της Διαδικασίας. Τα ακριβή χρονοδιαγράμματα καθορίζονται με απόφαση της Επιτροπής Διαπραγμάτευσης, μετά από πρόταση της οικείας Υποεπιτροπής κατάθεσης των φακέλων μπορεί να γίνεται και ηλεκτρονικά. Με απόφαση του Υπουργού Υγείας, μετά από γνώμη του Διοικητικού Συμβουλίου του Εθνικού Οργανισμού Παροχής Υπηρεσιών Υγείας, καθορίζεται κάθε διαδικαστική λεπτομέρεια για την ηλεκτρονική διαδικασία της διαπραγμάτευσης.}
6. Στο άρθρο 20 του νόμου 3918/2011 (ΦΕΚ 31/Α/2011) προστίθενται παράγραφοι 11 και 12 ως εξής:
{11. Η παράγραφος 9 του άρθρου 30 του νόμου [Ν] 2324/1995 (ΦΕΚ 146/Α/1995) εφαρμόζεται αναλόγως για τα μέλη του Διοικητικού Συμβουλίου του Εθνικού Οργανισμού Παροχής Υπηρεσιών Υγείας, τακτικά και αναπληρωματικά, για τα μέλη της Επιτροπής Διαπραγμάτευσης τακτικά και αναπληρωματικά, κατά την άσκηση των καθηκόντων τους σύμφωνα με το άρθρο 3 του νόμου 4208/2013.
12. Τα μέλη του Διοικητικού Συμβουλίου του Εθνικού Οργανισμού Παροχής Υπηρεσιών Υγείας, τακτικά και αναπληρωματικά, και τα μέλη της Επιτροπής Διαπραγμάτευσης, τακτικά και αναπληρωματικά, δεν ευθύνονται αστικά έναντι τρίτων, πλην του Ελληνικού Δημοσίου και του Εθνικού Οργανισμού Παροχής Υπηρεσιών Υγείας, για ενέργειες ή παραλείψεις κατά την άσκηση των καθηκόντων τους, σύμφωνα με το άρθρο 3 του νόμου 4208/2013, εκτός αν ενήργησαν με δόλο ή βαρεία αμέλεια ή παραβίασαν το απόρρητο των πληροφοριών και στοιχείων, που περιήλθαν σε γνώση τους κατά την άσκηση των καθηκόντων τους, ή παρέβησαν το καθήκον εχεμύθειας του άρθρου 26 του νόμου 3528/2007 (ΦΕΚ 26/Α/2007). Οι διατάξεις των άρθρων 26, 27 και 36 του νόμου 3528/2007 εφαρμόζονται αναλογικά σε όλα τα παραπάνω πρόσωπα.}
7. Στο άρθρο 3 της υπουργικής απόφασης υπ' αριθμόν 90168/2013 (ΦΕΚ 2543/Β/2013), προστίθενται οι παράγραφοι 3.5 και 3.6, ως εξής:
{3.5. Υποχρέωση διαδικασίας Διαπραγμάτευσης: Η προσέλευση στη διαδικασία Διαπραγμάτευσης είναι υποχρεωτική για τα εμπλεκόμενα μέρη. Σε περίπτωση μη προσέλευσης ή μη κατάληξης σε συμφωνία ο Οργανισμός διατηρεί το δικαίωμα μη αποζημίωσης φαρμάκων ή υπηρεσιών υγείας.
3.6. Παράσταση νομικής υπηρεσίας Εθνικού Οργανισμού Παροχής Υπηρεσιών Υγείας κατά τη διαδικασία διαπραγμάτευσης: Κατά τη διαπραγμάτευση φαρμάκων στις συναντήσεις με τους Κατόχους Άδειας Κυκλοφορίας ή τους νόμιμους αντιπροσώπους τους παρίσταται ο προϊστάμενος της νομικής υπηρεσίας του Εθνικού Οργανισμού Παροχής Υπηρεσιών Υγείας ή σε περίπτωση κωλύματος παρίσταται μόνιμος νομικός σύμβουλος του Οργανισμού, ως εμπειρογνώμονας κατόπιν σχετικής πρόσκλησης.}
8. Στο δεύτερο εδάφιο της παραγράφου 12 του άρθρου 13 του νόμου 4052/2012 (ΦΕΚ 41/Α/2012) η φράση του άρθρου 22 και του άρθρου 26 του παρόντος νόμου αντικαθίσταται από τη φράση του άρθρου 34 και του άρθρου 35 του νόμου 3918/2011 (ΦΕΚ 31/Α/2011), όπως ισχύει.
9. Η παράγραφος 1 του παρόντος άρθρου εφαρμόζεται αναδρομικά από 01-01-2017, εκτός εάν ορίζεται διαφορετικά στο παρόν άρθρο.
10. Με απόφαση του Υπουργού Υγείας, ύστερα από γνώμη της Επιτροπής του άρθρου 15 της υπ' αριθμόν οίκοθεν 3457/2014 απόφασης του Υπουργού Υγείας (ΦΕΚ 64/Β/2014), μπορεί να τίθενται κλειστοί ετήσιοι προϋπολογισμοί φαρμακευτικής δαπάνης στα δημόσια νοσοκομεία σε επίπεδο φαρμάκου, δραστικής ουσίας (ATC5) ή θεραπευτικής κατηγορίας (ATC4). Οι επιμέρους στόχοι συνυπολογίζονται στον καθορισμό της υπέρβασης της νοσοκομειακής φαρμακευτικής δαπάνης και στον επιμερισμό της υπέρβασης ανά φαρμακευτική εταιρεία ή κάτοχο άδειας κυκλοφορίας. Κατά τα λοιπά, εφαρμόζονται όσα ορίζονται στην περίπτωση στ' της παραγράφου 1 του άρθρου 11 του νόμου 4052/2012 (ΦΕΚ 41/Α/2012).