Οδηγία Μελετών Οδικών Έργων (ΟΜΟΕ) 12 - Άρθρο 11

Κεφάλαιο 11: Δεξαμενές διήθησης


Συνδεθείτε στην Υπηρεσία Νομοσκόπιο
Είσοδος στην υπηρεσία Νομοσκόπιο.
   
Χρήστης
Κωδικός
  Υπενθύμιση στοιχείων λογαριασμού
   
 
Νέοι χρήστες
Εάν είστε νέος χρήστης, θα πρέπει να δημιουργήσετε ένα ΔΩΡΕΑΝ λογαριασμό προκειμένου να φύγει το παράθυρο αυτό και να αποκτήσετε πλήρη πρόσβαση στην υπηρεσία Νομοσκόπιο.
Δημιουργία νέου λογαριασμού

 

 

1. Ορισμός και Σκοπός

 

Μια δεξαμενή διήθησης σχεδιάζεται ως διάταξη που έχει σκοπό την απομάκρυνση ρύπων από τις επιφανειακές απορροές. Αυτό επιτυγχάνεται με τη σύλληψη του όγκου της απορροής την καθοδήγησή της σε θέση όπου με τη διαδικασία της διήθησης, η οποία πρέπει να ολοκληρώνεται πριν από το επόμενο συμβάν σημαντικής βροχόπτωσης, διαχωρίζονται από τα νερά και κατακρατούνται οι ρύποι. Οι κύριες λειτουργίες των δεξαμενών διήθησης είναι η απομάκρυνση των ρύπων από την απορροή των ομβρίων οι οποίες τοποθετούνται σε θέσεις όπου το έδαφος έχει τις κατάλληλες συνθήκες για την ανατροφοδότηση ή επαναπλήρωση του υπόγειου ορίζοντα. Επιπλέον οι δεξαμενές διήθησης μπορεί ουσιαστικά να απομειώνουν το συνολικό ετήσιο όγκο της επιφανειακής απορροής, η οποία μπορεί να ελαττώνει τη διάβρωση των πρανών των ρεμάτων και άλλες αντίξοες επιπτώσεις στο ποτάμιο οικοσύστημα από την απορροή ενός οδικού έργου.

 

omoe.12.56

 

omoe.12.57

Σχήμα 11-1: Σχηματική διάταξη δεξαμενής διήθησης

 

2. Καταλληλότητα Εφαρμογής

 

Οι δεξαμενές διήθησης πρέπει να χρησιμοποιούνται όταν:

 

η απορροή από ένα οδικό έργο θα επιβαρύνει σημαντικές εκτάσεις υψηλής οικοσυστήματος πολυτιμότητας, το οποίο είναι διαπιστωμένο στον κατάλογο των προστατευομένων υδάτινων πόρων, και
η απορροή από το οδικό έργο θα αποτελεί ένα σημαντικό μέρος (περισσότερο από 10%) της συνολικής ροής ενός τέτοιου οικοσυστήματος,

 

Η καταλληλότητα της χρήσης των δεξαμενών διήθησης προκύπτει σε σχέση με τα εξής:

 

Θα πρέπει να χρησιμοποιούνται μόνο όταν το υπέδαφος είναι υψηλής διαπερατότητας και το βάθος του υπόγειου ορίζοντα είναι επαρκές για να επιτρέπεται η διήθηση και όπου η ρύπανση του υπόγειου ορίζοντα δεν αναμένεται να έχει ενδιαφέρον.
Είναι αποτελεσματικές όταν απαιτείται η απομάκρυνση ενός μεγάλου όγκου σωματιδίων και διαλυμένων ρυπαντών. Οι ρυπαντές απομακρύνονται με διήθηση δια της κατακράτησης από τον εδαφικό μανδύα. Εάν αυτές έχουν κατάλληλα σχεδιασθεί, τότε πολύ μικρό μέρος της ρύπανσης κατεισδύει σε βάθος περισσότερο από 500 mm κάτω από τον πυθμένα της δεξαμενής.
Είναι συνήθως περισσότερο αποτελεσματικές για αποχετευόμενες επιφάνειες μικρότερες από 20 στρέμματα και όπου το έδαφος είναι πορώδες, εκτός αν χρησιμοποιούνται πολλαπλές δεξαμενές.
Μπορεί να χρησιμοποιούνται σε συνδυασμό με δεξαμενές κατακράτησης για τη διαχείριση της ροής της αιχμής. Αυτός ο τύπος των εγκαταστάσεων είναι χρήσιμος για να παρέχει τον έλεγχο αποθήκευσης της πλημμύρας και ουσιαστικά οφέλη για την ποιότητα του νερού με τη διήθηση του πρώτου όγκου της απορροής ο οποίος περιλαμβάνει και το μεγαλύτερο μέρος του ρυπαντικού φορτίου το οποίο είναι συγκεντρωμένο σε σχετικά μικρό μέρος του συνολικού όγκου της απορροής.
Τυπική εφαρμογή σε οδικά έργα προσφέρεται να γίνεται: μέσα στις εκτάσεις μεγάλων ανισόπεδων κόμβων, σε επιμήκεις δεξαμενές παράλληλα με την οδό (συνιστάται να δημιουργούνται με σημαντική διαπλάτυνση της κεντρικής νησίδας), ή σε ειδικά προβλεπόμενες εκτάσεις μέσα στο εύρος απαλλοτρίωσης της οδού.

 

3. Περιορισμοί Εφαρμογής

 

Η εφαρμογή δεξαμενών διήθησης υπόκειται σε ορισμένους περιορισμούς που προκύπτουν από τα εξής: μπορεί να χρησιμοποιούνται αποτελεσματικά μόνο όπου το έδαφος είναι πορώδες και μπορεί να διηθεί την απαιτούμενη ποσότητα ομβρίων από συμβάντα βροχόπτωσης 24 έως 48 ωρών.
Απαιτείται μια ελάχιστη στάθμη πυθμένα προκειμένου αυτός να βρίσκεται τουλάχιστον 1,2 m πάνω από τον υπόγειο ορίζοντα, λαμβάνοντας υπόψη την υψηλότερη πιθανή στάθμη του τελευταίου.
Πολύ χονδρόκοκκα χαλικώδη εδάφη επιτρέπουν απομάκρυνση μικρού όγκου των διαλυμένων ρυπαντών, γεγονός που μπορεί να αυξάνει τον κίνδυνο ρύπανσης του υπόγειου ορίζοντα.
Μπορεί να μην είναι η κατάλληλη λύση κοντά σε πηγάδια πόσιμου νερού, θεμελιώσεις, σηπτικούς βόθρους, αποστραγγιζόμενες εκτάσεις, ασταθή πρανή, ή επάνω σε εκτάσεις επιχωμάτων ή επιφάνειες ισχυρών κλίσεων, λόγω της πιθανότητας προβλημάτων από διαρροές.
Μπορεί να μην είναι κατάλληλες όπου υπάρχει σημαντική πιθανότητα από διαρροή επικίνδυνων χημικών ουσιών.
Συνήθως αποτυγχάνουν στη λειτουργία τους όταν δέχονται υψηλά φορτία φερτών υλικών. Ως εκ τούτου αυτές οι δεξαμενές θα πρέπει να μη χρησιμοποιούνται παρά μόνο σε σημεία όπου προηγείται η σταθεροποίηση της ανάντη παροχής.
Οι ανάγκες συντήρησης των δεξαμενών είναι μεγάλες επειδή απαιτούνται συχνές επιθεωρήσεις.
Απαιτείται ειδική φροντίδα κατά τη διάρκεια της κατασκευής προκειμένου να διατηρηθεί η διαπερατότητα του εδάφους. Βαρύς εξοπλισμός και μηχανήματα της κατασκευής προκαλούν συμπύκνωση του εδάφους και ελαττώνουν τη διαπερατότητα όταν αυτά διέρχονται πάνω από την επιφάνεια του χώρου της δεξαμενής.

 

4. Οδηγίες Σχεδιασμού

 

Η φυσική καταλληλότητα της έκτασης για την κατασκευή δεξαμενών διήθησης θα πρέπει να αξιολογείται ανάλογα με τα γενικά κριτήρια σχεδιασμού:

 

Πρέπει να σχεδιάζονται για να συλλαμβάνεται, να αποθηκεύεται και να διηθείται ο όγκος των νερών κατά προτίμηση ως μια διάταξη εκτός γραμμής. Ο όγκος των νερών που πρέπει να δέχεται και να επεξεργάζεται η δεξαμενή πρέπει να είναι ισοδύναμος και κατ' ελάχιστο ίσος με την ποσότητα της απορροής σχεδιασμού. Μπορεί να απαιτείται επιπρόσθετος όγκος αποθήκευσης για θέσεις όπου η εκτός γραμμής τοποθέτηση της δεξαμενής είναι ανέφικτη λόγω φυσικών ή υδραυλικών περιορισμών.
Πρέπει να τοποθετούνται σε χαμηλότερο επίπεδο από τη στάθμη του οδοστρώματος για να αποφεύγεται η διήθηση προς τη δομική κατασκευή του οδοστρώματος και της έδρασης αυτού.
Μπορεί να απαιτούνται διατάξεις απόσβεσης της ενέργειας της ροής για τη μείωση της πιθανότητας διαβρώσεων.
Απαιτείται μια εκτεταμένη γεωτεχνική έρευνα για να προσδιορισθεί η στρωματογραφία και η υδραυλική αγωγιμότητα του εδάφους έδρασης των δεξαμενών. Η έρευνα θα πρέπει να περιλαμβάνει επιτόπου δοκιμές διαπερατότητας αντί των εργαστηριακών δοκιμών. Η παρουσία λεπτόκοκκων υλικών μπορεί να απομειώνει ουσιαστικά τη διαπερατότητα του εδάφους.
Κατ' ελάχιστο απαιτείται μια δειγματοληψία εδάφους ανά 500 m2 της επιφάνειας της δεξαμενής και σε καμιά περίπτωση λιγότερο από τρία δείγματα για κάθε δεξαμενή. Κάθε εδαφικό δείγμα θα πρέπει να εκτείνεται τουλάχιστον σε βάθος 3 m κάτω από τη στάθμη του προβλεπόμενου πυθμένα δεξαμενής, ώστε να διασφαλίζεται ότι θα φτάνει κάτω από τη στάθμη του υπόγειου ορίζοντα. Παράλληλα θα πρέπει να συλλέγονται και αξιολογούνται στοιχεία από άλλες γεωτρήσεις και πηγάδια της περιοχής σχετικά με τις στάθμες του υπόγειου ορίζοντα.
Καταλληλότητα του εδάφους: θα πρέπει να χρησιμοποιούνται χονδρόκοκκα εδάφη με μικρή αναλογία σε οργανικά υλικά. Εδάφη με περιεκτικότητα σε άργιλο ≥30% ή με περιεκτικότητα σε ιλύες / άργιλο ≥40% δε θα πρέπει να χρησιμοποιούνται. Στις δεξαμενές διήθησης δε θα πρέπει να χρησιμοποιούνται υλικά επιχώσεων ούτε αυτές να τοποθετούνται επάνω σε γαιώδη επιχώματα, όμως υλικά επιχωμάτων είναι αποδεκτά για την κατασκευή των αναβαθμών στην περίμετρο των δεξαμενών.
Βάθος υπόγειου ορίζοντα: η στάθμη του πυθμένα των δεξαμενών διήθησης θα πρέπει να τοποθετείται τουλάχιστον 1,2 m πάνω από τη στάθμη του υψηλότερου εποχιακού ορίζοντα.
Πρέπει να διατίθεται μια έξοδος με υπερχείλιση ώστε να περιορίζεται ο κίνδυνος της υπερπλήρωσης της δεξαμενής.
Εγγύτητα με πηγάδια πόσιμου νερού, σηπτικούς βόθρους, αποστραγγιζόμενες εκτάσεις, θεμελιώσεις κτιρίων: η εγγύτητα των δεξαμενών με άλλες κατασκευές και εγκαταστάσεις θα πρέπει να λαμβάνεται υπόψη λόγω των συνεπειών από ενδεχόμενη διαβροχή τους και την πιθανή βλάβη:

- Προβλέπεται μια ελάχιστη απόσταση 30 m μεταξύ δεξαμενών διήθησης και πηγαδιών, σηπτικών βόθρων, αποστραγγιζόμενων εκτάσεων και πηγών που χρησιμοποιούνται για δημόσια χρήση.

- Οι δεξαμενές θα πρέπει να τοποθετούνται τουλάχιστον 6 m κατάντη και 30 m ανάντη από θεμελιώσεις κτιρίων.

- Θα πρέπει να ενημερώνονται τοπικές υπηρεσίες και να λαμβάνονται κατάλληλες υποδείξεις από γεωτεχνικό μηχανικό για επιπλέον απαιτήσεις.

 

Κλίση επιφάνειας: Οι δεξαμενές θα πρέπει να τοποθετούνται σε επιφάνειες με κλίσεις μέχρι 15%. Η εγκατάσταση σε ισχυρότερες κλίσεις αυξάνει την πιθανότητα της διαρροής του νερού από το υπέδαφος της δεξαμενής προς χαμηλότερες περιοχές και ελαττώνει την ποσότητα του νερού η οποία στην πραγματικότητα διηθείται.
Η διηθητικότητα του εδάφους πριν από την κατασκευή της δεξαμενής θα πρέπει να ελέγχεται και διαπιστώνεται ότι κυμαίνεται μεταξύ 7,6 mm/h και 100 mm/h.
Το έδαφος της περιοχής εγκατάστασης των δεξαμενών θα πρέπει να έχει μέγιστη περιεκτικότητα σε άργιλο 30% και ελάχιστη ικανότητα ανταλλαγής κατιόντων 5 meq που θα πρέπει να προσδιορίζονται από γεωτεχνικό μηχανικό.
Βραχώδης ή άλλη μη διαπερατή στρώση εδάφους δεν πρέπει να βρίσκεται πλησιέστερα από 1,2 m κάτω από τη στάθμη του πυθμένα της δεξαμενής.
Μετά την ολοκλήρωση των αρχικών εκσκαφών, τα πρανή της δεξαμενής και των οποιωνδήποτε επιχωμάτων καθώς και οι έξοδοι στα κατάντη θα πρέπει να σταθεροποιούνται για να εμποδίζεται η πρόσχωση της δεξαμενής. Όταν έχει διασφαλισθεί ότι επιτυγχάνεται η κατακράτηση των φερτών υλικών (με δεξαμενές κατακράτησης) από την απορροή όλων των επιφανειών που θα συνεισφέρουν στη δεξαμενή διήθησης, τότε θα πρέπει να ολοκληρώνεται η εκσκαφή της δεξαμενής στην τελική της στάθμη. Το στόμιο εισόδου στη δεξαμενή θα πρέπει να σχεδιάζεται έτσι ώστε να εμποδίζεται η διάβρωση. Η διάβρωση θα πρέπει να ελέγχεται με την εγκατάσταση προστατευτικών διατάξεων θραύσης της ενέργειας της ροής.
Θα πρέπει να εξετάζονται οι επιπτώσεις στον τοπικό υπόγειο ορίζοντα περιλαμβανομένης της πιθανότητας αναπλήρωσης και βελτίωσης της ποιότητας του νερού.
Διαστασιολόγηση δεξαμενών διήθησης: Ο βαθμός της επεξεργασίας που επιτυγχάνεται σε μια δεξαμενή διήθησης είναι μια συνάρτηση του όγκου των ομβρίων που συλλαμβάνονται και διηθούνται στη διάρκεια του χρόνου.

 

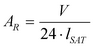
Προσδιορίζεται ο συλλαμβανόμενος όγκος σχεδιασμού. Χρησιμοποιώντας την τιμή διηθητικότητας του εδάφους με συνθήκες κορεσμού (όπως αυτή προσδιορίζεται από το γεωτεχνικό μηχανικό), προσδιορίζεται η επιφάνεια του πυθμένα της δεξαμενής για να διηθείται ο συλλαμβανόμενος όγκος 24ωρου π.χ.

 

Eqn624 (11.4-1)

 

όπου:

 

AR (m2): απαιτούμενη επιφάνεια πυθμένα δεξαμενής

V (m3): παροχή σχεδιασμού

lSAT (m/h): διηθητικότητα εδάφους κορεσμένου από υγρασία

24 (h): απαιτούμενος χρόνος εκκένωσης της δεξαμενής με τη διαδικασία της διήθησης

 

Η επιμήκυνση του χρόνου διήθησης πέραν των 48 ωρών δεν θα πρέπει να επιτρέπεται προκειμένου να αποφεύγεται η ανάπτυξη ελών.
Συνιστάται η ενσωμάτωση τάφρων περιπορείας ή διατάξεων υπερχειλιστή σε περίπτωση εξαιρετικών συμβάντων βροχοπτώσεων ή η κατασκευή αποθηκευτικού χώρου σε ανώτερη στάθμη πάνω από τη στέψη της δεξαμενής διήθησης.
Χωρητικότητα: ο μέγιστος στόχος είναι η διαστασιολόγηση των δεξαμενών ώστε να συλλαμβάνουν τη συνολική απορροή από ένα συμβάν βροχόπτωσης σχεδιασμού.

 

 

Τα βασικά δεδομένα για τον αναλυτικό σχεδιασμό είναι:

- η προσερχόμενη ροή αιχμής και το υδρογράφημα

- η τιμή της διαθέσιμης διηθητικής ικανότητας

- η σχέση σταδιακής αποθήκευσης της δεξαμενής.

 

Η διαδικασία σχεδιασμού συντίθεται από τον καθορισμό της σχέσης εισροή / αποθήκευση / εκροή και την αναπροσαρμογή του όγκου αποθήκευσης και τα χαρακτηριστικά εκροής μέχρις ότου οι στόχοι σχεδιασμού επιτευχθούν. Στις περισσότερες περιπτώσεις, η εκροή σταθεροποιείται από τις ανάντη συνθήκες, και η εκροή καθορίζεται από τους στόχους σχεδιασμού. Τότε ο σκοπός της ανάλυσης είναι να προσδιοριστεί ο κατάλληλος τύπος δεξαμενής, ο όγκος αποθήκευσης και η διάταξη εκροής. Οι δεξαμενές διήθησης με χωρητικότητα μικρότερη από εκείνη η οποία μπορεί να αποθηκευθεί για την επεξεργασία του όγκου που προκύπτει από ένα συμβάν της βροχόπτωσης σχεδιασμού μπορεί να είναι αποδεκτές υπό της εξής συνθήκες:

 

α. δεν είναι διαθέσιμη στη ζώνη απαλλοτρίωσης επαρκής έκταση, ή δεν είναι εφικτή η απόκτηση της για την αποθήκευση του απαιτούμενου όγκου,

β. μετά από επιτόπου ανάλυση των περιβαλλοντικών συνθηκών.

 

Κάτω από τις προηγούμενες συνθήκες, η ελάχιστη χωρητικότητα που συνιστάται είναι εκείνη η οποία συλλαμβάνει τουλάχιστον ποσοστό 80% από την απορροή της συνολικής αποχετευόμενης επιφάνειας.

 

Άλλα μεγέθη χωρητικότητας τα οποία θα μπορεί να επιτρέπουν τη σύλληψη ποσότητας μεγαλύτερης από 80% της συνολικής απορροής μέχρις εκείνης που προβλέπεται προς επεξεργασία από ένα συμβάν της βροχόπτωσης σχεδιασμού, μπορεί να γίνονται αποδεκτά εφόσον στη διαθέσιμη ζώνη απαλλοτρίωσης υπάρχει κατάλληλος χώρος ή από επιτόπου ειδική ανάλυση δικαιολογείται η ικανότητα επεξεργασίας μεγαλύτερης ποσότητας.

 

Για την είσοδο οχημάτων συντήρησης μέσα στη δεξαμενή πρέπει να υπάρχουν ειδικές προσβάσεις.
Οι δεξαμενές μπορεί να επενδύονται με στρώση υλικού φίλτρου πάχους 150 - 300 mm όπως είναι η χονδρόκοκκη άμμος που εμποδίζει την έμφραξη στα διαπερατά στρώματα της επιφάνειας του φυσικού εδάφους. Για την αύξηση της διαπερατότητας αργιλωδών εδαφών, μπορεί να προδιαγράφεται η κατασκευή στρώσης χονδρόκοκκων οργανικών υλικών πάχους 150 mm, όμως η προσπάθεια αύξησης της διαπερατότητας δε συνιστάται.
Όσο είναι δυνατό, τα περιμετρικά πρανή και ο πυθμένας της δεξαμενής θα πρέπει να σταθεροποιούνται. Η σταθεροποίηση με εφαρμογή μέτρων που περιλαμβάνουν φύτευση ή μη των πρανών της δεξαμενής ελαχιστοποιεί τη διάβρωση και ελέγχει τη δημιουργία κονιορτού. Όπου φυτεύεται ο πυθμένας της δεξαμενής επιτυγχάνεται παράλληλα η ελάττωση της τάσης για έμφραξη του από λεπτόκοκκα στερεά. Όπου είναι δυνατό θα πρέπει να χρησιμοποιείται γηγενής βλάστηση που απαιτεί λιγότερη εντατική συντήρηση και προσφέρει μικρότερη πιθανότητα να δημιουργούνται προβλήματα. Η σχεδίαση της φύτευσης θα πρέπει να λαμβάνει υπόψη τις ανάγκες συχνής πρόσβασης στα σημεία όπου διατάσσονται οι κατασκευές εισροής και εκροής. Επίσης, μια σταθεροποιημένη ζώνη πλάτους τουλάχιστον 6 m θα πρέπει να προβλέπεται γύρω από τη δεξαμενή για την προστασία από διάβρωση και κατάρρευση.

 

5. Ειδικά Κατασκευαστικά Θέματα

 

Ειδικά προστατευτικά μέτρα πρέπει να λαμβάνονται για την αλληλουχία των εργασιών, των πρακτικών και του εξοπλισμού που χρησιμοποιείται προκειμένου να προστατεύεται η ικανότητα της φυσικής διηθητικότητας του εδάφους. Θα πρέπει να χρησιμοποιούνται ελαφρύς εξοπλισμός και διαδικασίες κατασκευής οι οποίες ελαχιστοποιούν τη συμπύκνωση του εδάφους. Η δεξαμενή θα πρέπει να οριοσημαίνεται ώστε να διασφαλίζεται ότι τα βαριά μηχανήματα δε θα προσεγγίζουν, τόσο κατά τη διάρκεια των εργασιών όσο και μετά κατά τις εργασίες συντήρησης.
Δε θα επιτρέπεται η είσοδος ομβρίων στη δεξαμενή έως ότου ολοκληρωθεί η κατασκευή της αλλά και σταθεροποιηθεί επαρκώς η συνεισφέρουσα σε αυτήν αποχετευόμενη επιφάνεια. Εάν σε ιδιαίτερες περιπτώσεις δεν είναι εφικτή η τήρηση των προαναφερομένων, τότε δεν πρέπει να γίνονται οι εκσκαφές για τη δεξαμενή μέχρι την τελική της στάθμη παρά μόνο μετά από την ολοκλήρωση των κατασκευών στα ανάντη της δεξαμενής.
Εάν το φυσικό έδαφος είναι πολύ διαπερατό τότε θα πρέπει να ενσωματώνονται στην κατασκευή κατάλληλα υλικά ώστε να εμποδίζεται η δυνατότητα διαρροών.

 

6. Συντήρηση και Επιθεώρηση

 

Ο κύριος στόχος των δραστηριοτήτων της συντήρησης/επιθεώρησης είναι να διασφαλίζεται ότι η δεξαμενή θα συνεχίσει να λειτουργεί όπως σχεδιάσθηκε και ότι ουσιαστικά θα επιμηκύνεται το χρονικό διάστημα μεταξύ των απαιτούμενων σημαντικών ανακατασκευών.

 

Τα πρανή της δεξαμενής θα πρέπει να συντηρούνται όπως απαιτείται ώστε να βελτιώνεται η κάλυψη τους με πυκνή βλάστηση με βαθύρριζα φυτά, η οποία βελτιώνει τη διήθηση και στην επιφάνεια των πρανών, εμποδίζει τη διάβρωση και την κατά συνέπεια πρόσχωση του πυθμένα της δεξαμενής, αλλά και εμποδίζει την ανάπτυξη ακατάλληλων φυτών.

 



Copyright © 2017 TechnoLogismiki. Με την επιφύλαξη παντός δικαιώματος.