| Συνδεθείτε στην Υπηρεσία Νομοσκόπιο | | | | | Νέοι χρήστες | | Εάν είστε νέος χρήστης, θα πρέπει να δημιουργήσετε ένα ΔΩΡΕΑΝ λογαριασμό προκειμένου να φύγει το παράθυρο αυτό και να αποκτήσετε πλήρη πρόσβαση στην υπηρεσία Νομοσκόπιο. | | Δημιουργία νέου λογαριασμού | | |
1. Γενικά
Τα έργα διευθέτησης των υδατορεμάτων, που ενδιαφέρουν τον σχεδιασμό της οδοποιίας, αποβλέπουν στον περιορισμό και έλεγχο των κινδύνων που προκύπτουν για μια οδό που βρίσκεται στην ευρεία πλημμυρική κοίτη ενός υδατορέματος ή διασταυρώνει αυτό. Οι κίνδυνοι αυτοί είναι:
| • | η διαβρωτική δράση που πιθανό να υποσκάψει τις θεμελιώσεις των έργων, |
| • | η επιφόρτιση των έργων με δυνάμεις απρόβλεπτες που ασκούνται τόσο από τα υπόγεια όσο και από τα επιφανειακά νερά, |
| • | η μεταφορική δραστηριότητα των νερών κατά την οποία μεταφέρονται στην περιοχή των έργων υλικά που δυσχεραίνουν τη λειτουργία τους και επιβαρύνουν τη συντήρηση, |
| • | η φυσικοχημική δραστηριότητα των επιφανειακών και υπόγειων νερών που προξενεί βλάβες στα έργα όπως ο παγετός, η χημική διάβρωση του σκυροδέματος, η οξείδωση των οπλισμών και άλλων σιδηρών εξαρτημάτων, η εναπόθεση αλάτων σε στραγγιστικούς αγωγούς κ.τ.λ. |
Αυτά τα έργα πιθανό να συμπεριλαμβάνουν και επεμβάσεις, που εντάσσονται στο γενικότερο σχεδιασμό της διαχείρισης των υδάτινων πόρων και της προστασίας του περιβάλλοντος, δεν παύουν όμως να περιορίζονται κατά το δυνατό τοπικά και να εντοπίζονται κυρίως στη ζώνη απαλλοτρίωσης της οδού.
Η θέση της χάραξης μιας οδού μπορεί να απαιτεί την κατάλληλη διευθέτηση φυσικών ρεμάτων που τέμνουν ή βρίσκονται παραλλήλως με αυτήν. Τέτοιες εργασίες συνήθως απαιτούνται για:
| • | τη ρύθμιση της ροής, στα ανάντη ή κατάντη των οχετών ή γεφυρών ρεμάτων, |
| • | τη σταθεροποίηση των υφιστάμενων ρεμάτων που οδεύουν παράλληλα με την οδό, |
| • | την προστασία από διάβρωση κατά τη διάρκεια πλημμυρικών επεισοδίων σε ρέματα, που βρίσκονται κοντά σε πρανή επιχωμάτων της οδού, |
| • | την προσωρινή ή μόνιμη εκτροπή της κοίτης ρεμάτων για την κατασκευή της οδού. |
| • | την περιβαλλοντική αποκατάσταση σύμφωνα με τα μέτρα που επιβάλλονται από τις μελέτες περιβαλλοντικών επιπτώσεων και τις ισχύουσες διατάξεις για τη διαχείριση των νερών. |
Για αυτούς τους λόγους σχεδιάζονται μεμονωμένα ή και σε συνεργασία έργα όπως είναι:
| • | ο τοπικός καθαρισμός και διαμόρφωση της κοίτης, η ισοπέδωση του πυθμένα, η διαπλάτυνση της κοίτης, η τοπική ευθυγράμμιση, οι ρηχές εκβαθύνσεις, η κατασκευή και συντήρηση αναχωμάτων και άλλες απλές χωματουργικές επεμβάσεις, |
| • | οι επενδύσεις της κοίτης, του πυθμένα ή / και των πρανών, με εύκαμπτα υλικά όπως είναι: οι φυτεύσεις, οι λιθορριπές, οι λιθοπλήρωτοι συρματοκλωβοί (συρματοστρώματα, συρματοκιβώτια), |
| • | οι ρυθμίσεις της ροής με οριζοντιογραφικές και μηκοτομικές αλλαγές του άξονα της ροής με αναβαθμούς, προβόλους, |
| • | οι ρυθμίσεις της ενέργειας της ροής με διατάξεις θραύσης ενέργειας, λεκάνες ηρεμίας ή υπερχειλιστές, |
| • | η ρύθμιση της στερεομεταφοράς ανάντη των έργων της οδού με φράγματα συγκράτησης φερτών, με λεκάνες συγκράτησης φερτών και κατάντη της οδού με αναρρυθμιστικές δεξαμενές, |
| • | τα έργα συμβολής των τάφρων της οδούς στα υδατορέματα, |
| • | τα έργα προσωρινής ή μόνιμης εκτροπής της ροής υδατορεμάτων σε θέσεις που δεν επηρεάζουν την οδό. |
Ο σχεδιασμός τέτοιων έργων λαμβάνοντας υπόψη και τα αναφερόμενα στις παραγράφους 1.2.2.β και 2.4.1 πρέπει να διασφαλίζει:
| • | την ελαχιστοποίηση των επιπτώσεων στις όμορες εκτάσεις και χρήσεις γης, |
| • | την αποφυγή προβλημάτων από πλημμύρα στα ανάντη των προς εκτέλεση εργασιών, |
| • | τη διατήρηση των φυσικών συνθηκών στα κατάντη των προς εκτέλεση εργασιών, |
| • | την αποφυγή μακροπρόθεσμων προβλημάτων από τη δημιουργία αποθέσεων φερτών ή συνθηκών διάβρωσης και γενικώς προβλημάτων που επηρεάζουν την απόδοση του τεχνικού ή θέτουν σε κίνδυνο την ακεραιότητα της οδού, |
| • | τον έλεγχο της αλληλεπίδρασης σε γειτονικά τεχνητά ή φυσικά σχετικά δίκτυα και ιδιαίτερα σε παρακείμενες περιοχές οικισμών, ανθρωπογενών χρήσεων γης ή περιβαλλοντικής ευαισθησίας, |
| • | τον προσδιορισμό των απαιτούμενων συμπληρωματικών έργων ελέγχου της προαναφερόμενης αλληλεπίδρασης, |
| • | την τεκμηρίωση των απαιτούμενων παρεμβάσεων με βάση επαρκή δεδομένα και ορθολογικές παραδοχές. |
Σκοπός του παρόντος δεν είναι να παραθέσει και να αναλύσει μεθόδους υπολογιστικής προσέγγισης του σχεδιασμού των προαναφερόμενων έργων. Όπου όμως απαιτείται, στα επόμενα, δίνονται ενδεικτικά διάφορες εξισώσεις, των οποίων η εφαρμογή πρέπει να διερευνάται εάν αρμόζει για το συγκεκριμένο σχεδιασμό του εξεταζόμενου έργου.
2. Υποστηρικτικές Τοπογραφικές Εργασίες
Ακρίβεια (ως προς την οδό)
Για την υδραυλική μελέτη κάθε είδους έργων υποδοχής και μεταφοράς της ροής ομβρίων εξωτερικών λεκανών, το επίπεδο ακρίβειας της αποτύπωσης πρέπει να είναι τέτοιο ώστε να επιτρέπει τον πλήρη σχεδιασμό και λεπτομερή προσομοίωση όλων των απαραίτητων υδραυλικών μεγεθών και των ενδεχόμενων μέτρων προστασίας από διάβρωση.
Αποτυπώσεις για τεχνικά έργα διάβασης ρεμάτων.
Στην περίπτωση ρεμάτων που τέμνουν τη χάραξη της οδού και θα διέρχονται μέσω τεχνικών έργων, η τοπογραφική αποτύπωση θα εκτείνεται τουλάχιστο 200 m ανάντη και 200 m κατάντη από τον άξονα της οδού, ώστε να καθορίζονται οι διατομές και η κατά μήκος τομή της τάφρου των ρεμάτων προκειμένου να τεκμηριώνεται ο σχεδιασμός των προβλεπόμενων έργων με υδραυλικούς υπολογισμούς.
Το μήκος της αποτύπωσης θα πρέπει να εκτείνεται και πέραν των προαναφερόμενων ορίων μέχρι τις θέσεις όπου επιβεβαιώνεται ότι διατηρούνται ασφαλείς φυσικές συνθήκες. Εφόσον εγγύς των προβλεπόμενων έργων υπάρχουν άλλα τεχνικά έργα που μπορεί να επηρεάζονται ή να επηρεάζουν τις συνθήκες ροής τότε η αποτύπωση θα εκτείνεται μέχρις αυτά ώστε κατά την υδραυλική ανάλυση να γίνεται πλήρης τεκμηρίωση των επιλογών.
Αποτυπώσεις για έργα διευθέτησης κοίτης και εκτροπής ποταμού
Στην περίπτωση ποταμών που ρέουν κατά μήκος της χάραξης της οδού, η αποτύπωση πρέπει να εκτείνεται εγκάρσια του ποταμού και σε μία απόσταση τουλάχιστον 200 m ανάντη και κατάντη των θέσεων στις οποίες η οδός προσεγγίζει την ευρύτερη κοίτη του ποταμού.
Η ζώνη αποτύπωσης πρέπει να εκτείνεται τόσο όσο χρειάζεται ώστε να συμπεριλαμβάνονται οι θέσεις για τους απαιτούμενους υδραυλικούς ελέγχους, τα αποτελέσματα των οποίων θα επιβεβαιώνουν τη λήψη ή μη σχετικών μέτρων.
Από την αποτύπωση θα σχεδιάζονται διατομές, μηκοτομή και λαμβάνονται άλλες λεπτομέρειες μορφολογίας της κοίτης, όπως ορίζεται στο προεδρικό διάταγμα 696/1974, άρθρο 133 (α).
Το πλάτος της ζώνης τοπογραφικής αποτύπωσης (εγκαρσίως του ρέματος) ορίζεται αναλόγως με το πλάτος της κοίτης:
Πλάτος κοίτης (m)
|
< 10
|
> 10
|
Ακανόνιστο
|
Πλάτος ζώνης εκατέρωθεν της στέψης της όχθης ή του τυχόν αναχώματος (m)
|
10
|
20
|
>30
|
Σε κάθε περίπτωση, η ζώνη τοπογραφικής αποτύπωσης πρέπει να περιλαμβάνει όλη την έκταση που καλύπτει η ανώτατη στάθμη της παροχής σχεδιασμού.
3. Υδραυλική ανάλυση
Οι υπολογισμοί θα συνοδεύονται με τον καθορισμό των παραμέτρων που λαμβάνονται υπόψη από τη μελέτη.
Η υδραυλική μελέτη των έργων διευθέτησης πρέπει να βασίζεται σε μία αξιοποιήσιμη αναπαράσταση των υδραυλικών συνθηκών κατά τη διάρκεια του πλημμυρικού επεισοδίου σχεδιασμού. Συγκεκριμένα, η ανάλυση του βάθους ροής και της ταχύτητας μέσα σε ένα τεχνικό, εντός των ορίων του διευθετούμενου τμήματος της κοίτης και στα ανάντη των έργων μπορεί να επηρεάζονται λόγω ανυψούμενης στάθμης από κάποια εγκατάσταση υδραυλικού ελέγχου που ενδεχομένως βρίσκεται στα κατάντη σε αρκετή απόσταση, όπως π.χ. από υπερχειλιστή ή από στένωση που προκύπτει από μια υποδιαστασιολογημένο τεχνικό γεφύρωσης του ρέματος.
Σε περιπτώσεις κοίτης σημαντικού πλάτους, όπου οι εκτάσεις γης της γύρω περιοχής ή ο ίδιος ο αυτοκινητόδρομος μπορεί να επηρεάζονται, πρέπει να γίνεται πλήρης ανάλυση. Αυτή θα απαιτήσει ανάλυση της ανομοιόμορφης μόνιμης ροής του ρέματος που επηρεάζεται, για να εξακριβωθεί η υφιστάμενη κατάσταση πριν και μετά την εκτέλεση των εργασιών.
Ενδεχομένως ο Μελετητής με το διαθέσιμο λογισμικό επίλυσης της ανομοιόμορφης ροής μιας κοίτης να μη μπορεί να επιλύσει τις τοπικές ανωμαλίες της ροής στην είσοδο και έξοδο ενός τεχνικού λόγω αδυναμίας (του λογισμικού) χρήσης των σωστών υδραυλικών σχέσεων. Σε αυτή την περίπτωση επιβάλλεται ο υπολογισμός των συνθηκών ροής στο τεχνικό με κάποια άλλη αναλυτική μέθοδο αλλά και η συνεκτίμηση των αποτελεσμάτων της στην ανομοιόμορφη ροή της ευρύτερης κοίτης. Υπάρχουν σύγχρονα λογισμικά πακέτα επίλυσης ανομοιόμορφης ροής (π.χ. Ποτάμια Ροή της TechnoLogismiki), τα οποία έχουν δυνατότητα ενσωμάτωσης των υδραυλικών σχέσεων επίλυσης ροής εντός τεχνικών έργων (αναβαθμοί, οχετοί, κ.τ.λ.) και τα οποία είναι καταλληλότερα για τον υπολογισμό της ροής εντός φυσικών ή διευθετημένων κοιτών και τα οποία συνιστάται να χρησιμοποιούνται.
Στη μελέτη, μαζί με τα στοιχεία που δίνονται από την υδραυλική ανάλυση θα περιλαμβάνονται:
(1) Η περιγραφή των εργασιών χρήσης μοντέλων που εκπονήθηκαν καθώς και τη διατύπωση με σαφήνεια των αποτελεσμάτων και συμπερασμάτων.
(2) Ο τοπογραφικός χάρτης σε κατάλληλη κλίμακα όπου θα εμφανίζονται οι θέσεις τμημάτων του ποταμού που προσομοιώνονται, η κάθε μία με σαφή ένδειξη, οι προτεινόμενες εργασίες και ο κύριες υψομετρικές καμπύλες.
(3) Συνοπτικώς τα στοιχεία που καθορίζουν το τμήμα του ποταμού, (συμπεριλαμβανομένης της γεωμετρίας), το συντελεστή n του Manning που χρησιμοποιήθηκε και οι τυχόν συμπληρωματικές παράμετροι, όπως οι συντελεστές διαστολής και συστολής.
(4) Συνοπτικώς οι παράμετροι που χρησιμοποιούνται για τον καθορισμό των τεχνικών, όπως γέφυρες και οχετοί, συμπεριλαμβανομένων των τυχόν εναλλακτικών αναλύσεων που υιοθετήθηκαν.
(5) Οι οριακές συνθήκες για την ανάλυση (στάθμη νερού στα ανάντη και στα κατάντη) και άλλες παράμετροι που χρησιμοποιούνται για τον καθορισμό της μεθόδου υπολογισμού και ανάλυσης (υποκρίσιμη ροή, υπερκρίσιμη ροή ή μεικτή ροή).
(6) Οι διατομές του ρέματος όπου εμφανίζονται η στάθμη της κοίτης και η στάθμη νερού στις περιπτώσεις για τις οποίες γίνεται η εκτίμηση.
(7) Η κατά μήκος τομή του ποταμού, όπου θα εμφανίζεται η στάθμη της κοίτης και η στάθμη του νερού στις περιπτώσεις για τις οποίες γίνεται η εκτίμηση, και θα φαίνεται η άνοδος της στάθμης του νερού λόγω της κατασκευής των έργων.
(8) Ο πίνακας σύνοψης της υδραυλικής ανάλυσης, με την ονομασία του τμήματος, τις ΧΘ της στάθμης της κοίτης, της στάθμης του νερού, της ταχύτητας, του κινηματικού φορτίου, της γραμμής φορτίου και του αριθμού Froude.
(9) Οι διατομές και οι κατά μήκος τομές των προβλεπόμενων έργων.
(10) Συνοπτικός πίνακας της υδραυλικής ανάλυσης για κάθε ένα υφιστάμενο και προτεινόμενο τεχνικό που συμπεριλαμβάνεται στο μοντέλο.
(11) Ο τοπογραφικός χάρτης όπου εμφανίζεται η έκταση της πλημμύρας για την παροχή σχεδιασμού πριν και μετά την εκτέλεση των έργων.
Στις περιπτώσεις όπου η στάθμη του νερού στα ανάντη ανυψούται σε υπερβολικό βαθμό και με αποτέλεσμα να προκαλείται πλημμύρα, η οποία σε αντίθετη περίπτωση δεν θα είχε προκληθεί, ή όταν οι ταχύτητες ροής σε τμήμα έργων διευθέτησης θεωρούνται πολύ υψηλές, απαιτείται επιπλέον προσπάθεια έως ότου επιτευχθούν αποδεκτές συνθήκες κατά την παροχή σχεδιασμού.
Τα πλήρη αρχεία που χρησιμοποιήθηκαν στην υδραυλική ανάλυση παραδίνονται σε CD.
4. Σχεδιασμός των Έργων και Λοιπών Επεμβάσεων
Στόχος είναι το κόστος μιας επέμβασης να μειωθεί σημαντικά με έργα περιβαλλοντικά αποδεκτά, τα οποία η φύση μπορεί να τα αφομοιώσει στις διεργασίες της. Γι αυτό ο σχεδιασμός των επεμβάσεων πρέπει να συνεκτιμά σε βάθος όλες τις παραμέτρους που επηρεάζουν τα υδραυλικά έργα μακροχρόνια στη διάρκεια της ζωής τους.
Οι αρχές σχεδιασμού των έργων διευθέτησης που πρέπει να λαμβάνονται υπόψη στις σχετικές μελέτες είναι:
(1) Ο τοπικός καθαρισμός και η διαμόρφωση της κοίτης, η ισοπέδωση του πυθμένα, η διαπλάτυνση της κοίτης, η τοπική ευθυγράμμιση, οι ρηχές εκβαθύνσεις, η κατασκευή και η συντήρηση αναχωμάτων και άλλες απλές χωματουργικές επεμβάσεις. Τα έργα καθαρισμού κατά κανόνα εφαρμόζονται όταν η κοίτη περιορίζεται από εκτεταμένη ανάπτυξη βλάστησης, συσσώρευση φερτών και πάσης φύσης θραυσμάτων βράχων, ή φράζεται από πλαγιασμένα δένδρα ή από δένδρα που έχουν απλωμένες επιφανειακά ρίζες και μόνο όταν απαιτείται μια ελαφρά αύξηση της υδραυλικής παροχετευτικότητας η οποία μπορεί να επιτευχθεί μέσα από μια μείωση της τραχύτητας της κοίτης. Αυτά τα έργα περιλαμβάνουν απομάκρυνση ογκωδών αποθέσεων, θάμνων, δένδρων κτλ., που εμποδίζουν τη ροή. Γενικά όμως συνιστάται να αποφεύγεται η όχληση ή η απομάκρυνση μεγάλων σταθερών δέντρων που βρίσκονται στις όχθες (διαμέτρου κορμού >35 έως 40 cm) καθώς και ειδών που έχουν περιβαλλοντική αξία. Επειδή ο καθαρισμός μειώνει την τραχύτητα και σε κάποιες περιπτώσεις αυξάνει τη διατομή της ροής, μειώνει δυνητικά τον κίνδυνο έμφραξης της κοίτης σε περίπτωση πλημμύρας. Στη μελέτη λειτουργίας και χρήσης πρέπει να εκτιμάται η δυνατότητα επανεμφάνισης της κακής κατάστασης (ανάπτυξη βλάστησης κ.τ.λ.) και να προτείνεται περιοδικός καθαρισμός ώστε να εξασφαλίζεται ικανοποιητική λειτουργία μακροχρόνια.
Ο γενικός καθαρισμός και οι λοιπές σχετικές επεμβάσεις περιλαμβάνουν απομάκρυνση ενός συγκεκριμένου πάχους υλικού από την κοίτη (συνήθως 0,30 έως 1,00 m) γύρω από τη βρεχόμενη περίμετρο της διατομής. Επειδή αυτό μπορεί βαθμιαία να αυξήσει τις διαβρώσεις και τον κίνδυνο αστάθειας της δίαιτας, τα έργα αυτά πρέπει να είναι όσο το δυνατό μικρότερης έκτασης και να εφαρμόζονται όταν είναι επιθυμητή μια μικρή μόνο επαύξηση της παροχετευτικότητας.
Τα έργα διαπλάτυνσης της κοίτης κατά κανόνα εφαρμόζονται όταν πρέπει να αυξηθεί σημαντικά η παροχετευτικότητα της κοίτης. Αυτά τα έργα συνήθως εκτός από την αύξηση του πλάτους του πυθμένα, περιλαμβάνουν μείωση της κλίσης των πρανών, εκβάθυνση, πλευρικές διαμορφώσεις αναβαθμών ή και συνδυασμό όλων αυτών ανάλογα με τις τοπικές συνθήκες.
Η έκταση της διαπλάτυνσης καθορίζεται από την επιθυμητή μείωση της ανώτατης στάθμης της πλημμύρας σχεδιασμού, σε συνδυασμό με τις αναγκαίες απαιτήσεις για το περιβάλλον και τις χρήσεις γης.
Ο σχεδιασμός των διαπλατύνσεων πρέπει απαραίτητα να ενσωματώνει και να ισορροπεί τις αντιμαχόμενες φυσικές δραστηριότητες που συσχετίζονται με τις διαβρωτικές δράσεις του νερού, δηλαδή τους μαιανδρισμούς σε υπερβολικά διαπλατυσμένες κοίτες και με τις αποθέσεις φερτών όταν οι ταχύτητες ροής μειώνονται σημαντικά. Μια προσέγγιση για τον ορθό σχεδιασμό, όταν από την ανάλυση φαίνεται ότι δε θα επικρατήσει ισορροπία από την επέμβαση, είναι να διαμορφωθεί η κοίτη με αναβαθμούς για τη ρύθμιση της σχέσης ταχύτητας - παροχής.
Τα έργα κατασκευής αναχωμάτων που συνήθως προτείνονται για την προστασία παρακείμενων της κοίτης ιδιοκτησιών μπορεί να προτείνονται και για την προστασία της οδού όταν αυτή προσεγγίζει την περιοχή της κοίτης, αλλά και ως καθοδηγητικές διατάξεις που θα κατευθύνουν τη ροή προς τα τεχνικά της οδού (γέφυρες, οχετούς). Όταν η απόσταση των αναχωμάτων από τις όχθες είναι εξαιρετικά μικρή μπορεί να δημιουργείται υπερβολική ανύψωση της στάθμης σε περιπτώσεις πλημμυρών πέραν από την πλημμύρα σχεδιασμού. Αυτό αυξάνει τον κίνδυνο κατάρρευσης των αναχωμάτων εξαιτίας των δυνάμεων που μπορεί να αναπτύσσονται κατά τη ροή και της συνεπαγόμενης διάβρωσης. Ακόμη τα αναχώματα μπορεί να εμποδίζουν την εισροή στην κοίτη πλάγιων ροών από την περιοχή της πλημμύρας, και τέλος μπορεί να αυξάνουν την τάση απόθεσης φερτών υλικών, όταν η δίαιτα του νερού στην περιοχή είχε τέτοια τάση στη γύρω από την κοίτη περιοχή.
Η προσέγγιση συνεπώς του σχεδιασμού των προαναφερόμενων έργων δεν μπορεί να θεωρείται ολοκληρωμένη παρά μόνο όταν η επίλυση γίνεται για διάφορες παροχές με διαφορετικές χρονικές περιόδους επαναφοράς.
Επίσης εκτός της διάταξης των έργων, θα πρέπει να συνεκτιμώνται οι τάσεις απόθεσης - διάβρωσης στη δίαιτα της ροής με κατάλληλες μεθόδους (π.χ. ανάλυση Shields).
Τέλος ο υδραυλικός σχεδιασμός πρέπει να συνοδεύεται και από γεωτεχνικούς ελέγχους της ευστάθειας των πάσης φύσης πρανών (όχθεων - αναχωμάτων) που δημιουργούνται με τις επεμβάσεις αυτές μέσα από μια βήμα προς βήμα προσέγγιση που θα περιλαμβάνει:
α. την περιγραφή των χαρακτηριστικών της περιοχής που συνεισφέρει ή επηρεάζεται από τα έργα στην κοίτη,
β. τον προσδιορισμό και την προσέγγιση των υπαρχόντων ασταθειών - κατολισθήσεων,
γ. την ανάλυση των παραμέτρων ευστάθειας για την υπάρχουσα κοίτη,
δ. την εκτίμηση και ανάλυση προβλημάτων της δυνητικής αστάθειας στο έργο και τη θεώρηση όλων των δυνατών μέτρων για τον περιορισμό της,
ε. τη σύνοψη των συμπερασμάτων και τις προτάσεις.
(2) Οι επενδύσεις της κοίτης, του πυθμένα ή/και των πρανών, με εύκαμπτα υλικά όπως είναι: οι φυτεύσεις, οι λιθορριπές, οι λιθοπλήρωτοι συρματοκλωβοί (συρματοστρώματα, συρματοκιβώτια).
Οι λεπτομέρειες για τον υπολογισμό αυτών των έργων που παρουσιάζονται στα επόμενα περιλαμβάνουν τις αρχές σχεδιασμού των έργων. Εντούτοις ο μελετητής μπορεί να χρειαστεί να συμβουλεύεται και άλλα διάφορα έγκριτα συγγράμματα για τα σχετικά θέματα σχεδιασμού.
Λιθορριπές
Η επιλογή του μεγέθους και της διαβάθμισης των λίθων εξαρτάται από τις συνθήκες της ροής η οποία δημιουργεί τις προϋποθέσεις παράσυρσής τους. Γι' αυτό το λόγο θα πρέπει στο σχεδιασμό καταρχήν να τηρούνται τα εξής:
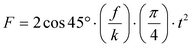
• η επιλογή του μεγέθους των λίθων γίνεται με κριτήριο την ασφάλεια της λιθεπένδυσης και απαιτείται το ατομικό βάρος των λίθων να είναι τέτοιο ώστε να μην παρασύρονται από τη ροή, δηλαδή η λιθορριπή να συνιστά σταθερό πυθμένα. Το ελάχιστο βάρος των λίθων προκύπτει με βάση τον προσεγγιστικό τύπο (Hydraulic Structures, P. Novak,1990):
και
(10.4-1)
όπου:
D50 (m) = ελάχιστη θεωρητική διάμετρος λίθων που δεν παρασύρεται από τη ροή
γS (t/m3) = ειδικό βάρος λιθορριπής ίσο με 2,65
γW (t/m3) = ειδικό βάρος νερού ίσο με 1,00
V (m/s) = ταχύτητα ροής στη θέση της λιθεπένδυσης
h (m) = βάθος ροής στη θέση της λιθεπένδυσης
CS (-) = σταθερά Shields που κυμαίνεται μεταξύ 0,040 και 0,060
A (-) = συντελεστής ασφαλείας που λαμβάνεται ίσος με 1,50 για συνθήκες έντονα μεταβαλλόμενης ανομοιόμορφης ροής
WS (t) = ελάχιστο ατομικό βάρος λίθων που συνιστούν σταθερό πυθμένα
Σύμφωνα με το Model Drainage Manual by AASHTO, η κοκκομετρική διαβάθμιση των λιθεπενδύσεων κοίτης χειμάρρου πρέπει να ικανοποιεί τις απαιτήσεις του Πίνακα 10.4-1:
Πίνακας 10.4-1: Κοκκομετρική διαβάθμιση λιθεπένδυσης κοίτης χειμάρρου
Διάμετρος λίθων (cm)
|
Βάρος λίθων (kg)
|
Απαιτούμενο ποσοστό λίθων μικρότερο από διαστάσεις στήλης (1)
|
1
|
2
|
3
|
1,50 x D50 ≤ D ~55 cm ≤ 1,70 x D50
|
3,00 x W50 < W ~ 230 Kg < 5,00 x W50
|
100%
|
1 ,20 x D50 ≤ D = 45 cm ≤ 1,40 x D50
|
2,00 x W50 < W ~ 125 Kg < 2,75 x W50
|
85%
|
1,00 x D50 ≤ D = 35 cm ≤ 1,15 x D50
|
1,00 x W50 < W ~ 60 Kg < 1,50 x W50
|
50%
|
0,40 x D50 ≤ D = 15 cm ≤ 0,60 x D50
|
0,10 x W50 < W ~ 5 Kg < 0,20 x W50
|
15%
|
| • | οι λίθοι πρέπει να έχουν έντονο γωνιώδες σχήμα, |
| • | η διαβάθμιση των διαθέσιμων λίθων, δεν πρέπει να περιλαμβάνει ποσοστό > 30% με σχέση διαμέτρων a/c >2,5, |
| • | η διαβάθμιση των διαθέσιμων λίθων, δεν πρέπει να περιλαμβάνει ποσοστό >15% με σχέση διαμέτρων a/c >3,0, |
| • | οι λίθοι πρέπει να έχουν σχέση διαμέτρων a/c <3,5. |
Επειδή ο καθορισμός της διαβάθμισης έχει επίσης και οικονομικό σκέλος θα πρέπει να εξετάζονται:
| • | η ποιότητα των λίθων (συνοχή και σταθερότητα κάτω από τις συνθήκες λειτουργίας και συντήρησης), |
| • | το κόστος παραγωγής και προμήθειας ανά τόνο βάρους λίθων στο λατομείο ή το δανειοθάλαμο (περιλαμβάνεται η δυνατότητα να παραχθούν στο λατομείο οι συγκεκριμένες διαστάσεις της διαβάθμισης), |
| • | η ποσότητα (σε τόνους βάρους) των λίθων που απαιτούνται, |
| • | το κόστος μεταφοράς των λίθων ανά km x t, |
| • | το κόστος τοποθέτησης των λίθων ανά τόνο βάρους, |
| • | η ανάγκη τοποθέτησης και το κόστος ενδιάμεσου υλικού απόθεσης (φίλτρο), |
| • | ο έλεγχος ποιότητας κατά τη διάρκεια κατασκευής (είναι ευκολότερος ο έλεγχος και εξασφαλίζεται περισσότερο η ποιότητα της κατασκευής όταν η διαβάθμιση είναι στενότερη), |
| • | ο αριθμός των διαφορετικών διαβαθμίσεων των στρώσεων που θα απαιτηθούν (συχνά προκύπτει σημαντική οικονομία όταν χρησιμοποιούνται λιγότερες διαβαθμίσεις). |
Διαστάσεων λιθορριπής. Ο σχεδιασμός των στρώσεων λιθορριπής πρέπει να αποβλέπει στη διευκόλυνση της κατασκευής. Οι λίθοι δεν πρέπει να προεξέχουν σημαντικά της επιφάνειας της στρώσης, ώστε να παρέχουν μέγιστη αντίσταση στις διαβρωτικές δυνάμεις. Υπερμεγέθεις λίθοι, ακόμη και σε μεμονωμένες θέσεις, μπορεί να προξενήσουν κατάρρευση της λιθορριπής αφαιρώντας την υποστήριξη από τη συνολική κατασκευή και τη συνοχή από τους γειτονικούς λίθους. Δημιουργούνται έτσι μεγάλα κενά που διευκολύνουν την απόπλυση του υλικού έδρασης (φίλτρου) και την επιτάχυνση της αστοχίας της κατασκευής. Στη συνέχεια, προκειμένου να αποφεύγονται αυτά τα ενδεχόμενα, ο σχεδιασμός της λιθορριπής πρέπει να ακολουθεί τα εξής:
Πάχος λιθορριπής. Το πάχος της λιθορριπής δεν πρέπει να είναι μικρότερο από τη μέγιστη διάμετρο της διαβάθμισης (W100 ή D100) ή μικρότερο από 1,5 φορές της μέγιστης μέσης διαμέτρου (W50 ή D50), λαμβάνεται όποιο όριο είναι μεγαλύτερο. Το πάχος όπως προσδιορίζεται από τα προηγούμενα πρέπει να αυξάνεται κατά 50% όταν οι εργασίες τοποθέτησης της λιθορριπής θα γίνουν κάτω από το νερό, ώστε να καλύπτονται απρόβλεπτοι παράγοντες που συσχετίζονται με τον τύπο αυτής της εργασίας.
Η μέγιστη κλίση της επένδυσης πρέπει να περιορίζεται στην τιμή υ:β ≤ 1:1,5. Είναι μάλιστα επιθυμητή η ανάλυση της ευστάθειας των πρανών.
Διαμόρφωση του ποδός και των άκρων της λιθορριπής.
| • | Κορυφή της επένδυσης, το ύψος της λιθορριπής πρέπει να καλύπτει το ελεύθερο περιθώριο της διατομής. Αυτό παρέχει προστασία από μη αναμενόμενες αυξήσεις της στάθμης της ροής, από κυματισμούς και από επιπλέοντα σώματα (π.χ. κορμοί). |
| • | Ανάντη και κατάντη άκρα της επένδυσης, το πάχος (Τ) των άκρων της λιθορριπής πρέπει να αυξάνεται σύμφωνα με τον επόμενο Πίνακα. |

|
Οι στρώσεις λιθορριπής με πάχος ≤ 30 cm πρέπει να επεκτείνονται σε περιοχές όπου οι ταχύτητες ροής δε θα διαβρώσουν τις όχθες της κοίτης. Συνιστάται επέκταση σε μήκος ίσο με το ύψος της λιθορριπής.
|

|
Οι στρώσεις λιθορριπής που υπερβαίνουν το πάχος των 30 cm μπορεί να μειώνονται για μια απόσταση a στην οποία η ταχύτητα ροής θα είναι μειωμένες ώστε να μη διαβρώνεται η κοίτη.
|

|
Κάθε φύσεως λιθορριπές που δεν περατώνονται σε περιοχές που οι ταχύτητες διαβρώνουν την φυσική κοίτη, τα ανάντη και κατάντη άκρα πρέπει να ενισχυθούν σύμφωνα με το σχήμα. Το πλάτος της ενίσχυσης πρέπει είναι 3 φορές το πάχος της λιθορριπής (Τ) και το πάχος της ενίσχυσης 2 φορές το πάχος της λιθορριπής (Τ)
|
Η απόφαση να τερματίζεται η λιθορριπή σε περιοχές όπου η ταχύτητα υπερβαίνει την ταχύτητα διάβρωσης της φυσικής κοίτης πρέπει να λαμβάνεται με προσοχή επειδή στην περιοχή του τερματισμού εξαιτίας της τύρβης που αναπτύσσεται από τη διαφοροποίηση της τραχύτητας είναι δυνατό να αναπτυχθούν εκτενείς διαβρώσεις και συνεπώς αστοχία της λιθορριπής.
Προστασία του ποδός της λιθορριπής, η προστασία του ποδός της λιθορριπής γίνεται κυρίως με δύο τρόπους που είναι:
| • | η επέκταση της λιθορριπής μέχρι το μέγιστο αναμενόμενο βάθος διάβρωσης. Αυτό μπορεί να είναι εξαιρετικά δύσκολο όταν η λιθορριπή γίνεται σε ποταμούς συνεχούς ροής, |
• η τοποθέτηση σωρών λίθων που μπορούν να ακολουθήσουν τις παραμορφώσεις εξαιτίας διαβρώσεων και ταπεινώσεων του πυθμένα της κοίτης. Αυτό μπορεί να προτείνεται σε όσες περιοχές αναμένονται ισχυρές διαβρώσεις. Ο σχεδιασμός αυτών των έργων έχει μεγαλύτερη επιτυχία σε αμμώδεις κοίτες παρά σε κοίτες με κροκάλες και χαλίκια.
Η αντιμετώπιση της προστασίας του ποδός της λιθορριπής μπορεί να γίνεται με την επιλογή ενός από τους τρόπους που παρουσιάζονται στα επόμενα σχήματα.

|
(1) Όταν οι εκσκαφές της θεμελίωσης του ποδός μπορούν να γίνουν εν ξηρώ οι στρώσεις λιθορριπής μπορούν να επεκταθούν κάτω από την υπάρχουσα στάθμη του πυθμένα σε βάθος που θα υπερβαίνει το αναμενόμενο βάθος διάβρωσης και υποσκαφής. Εάν το βάθος και οι ποσότητες εργασιών είναι σημαντικές μπορεί να εφαρμοστεί η τέταρτη λύση που δεν απαιτεί εκσκαφές.
|

|
(2) Όταν ο πυθμένας της κοίτης είναι υλικό που δεν διαβρώνεται εύκολα η τυπική στρώση της λιθορριπής πρέπει να αγκυρώνεται στον σχηματισμό του υλικού για την πρόληψη της ολίσθησης
|

|
(3) Όταν πρόκειται η λιθορριπή να τοποθετηθεί κάτω από το νερό και δεν αναμένεται σημαντική διάβρωση και υποσκαφή (όπως για παράδειγμα σε ροή ευθύγραμμης δίαιτας που δεν είναι κατάντη καμπύλων) ο πόδας μπορεί να διαμορφωθεί ως πρόβολος με την τοποθέτηση πάνω στον πυθμένα της κοίτης μιας στρώσης μήκους (c) ίσου με 5 φορές το πάχος (Τ1) και πάχους (a) ίσου με 1,5 φορές το πάχος (T1).
|

|
(4) Όταν απαιτείται να διαστρωθεί λιθορριπή σε υγρά κοίτη και είναι επιθυμητή η οικονομία στην κατασκευή μπορεί να επιλεχθεί η λύση της συσσώρευσης λίθων στον πόδα, οι οποίοι αργότερα θα καταλάβουν και θα ενισχύσουν την περιοχή της υποσκαφής. Η μέθοδος αυτή έχει σημαντικά πλεονεκτήματα όσον αφορά την συντήρηση διότι προλαμβάνει ξαφνικές καταρρεύσεις από διάβρωση. Η κατασκευή προσδιορίζεται από τις ακόλουθες αναλογίες:
κλίση προβολής ύψος:μήκος=1:2
βάθος υποσκαφής = υπάρχουσα στάθμη πυθμένα - μέγιστη στάθμη υποσκαφής
Πάχος μετά την προβολή = 1,5 φορές του πάχους της επένδυσης της όχθης.
Όγκος προβαλλόμενης λιθορριπής 3,35 x T1 (πάχος)
|
(3) Σχεδιασμός συμβολής τάφρων
Για σημαντικές παροχές, όταν ο πυθμένας της τάφρου της οδού δεν είναι σε υψηλότερη στάθμη από την ανώτατη στάθμη της ροής στο υδατόρεμα, τότε η συμβολή θα σχεδιάζεται με τα ακόλουθα κριτήρια:
| • | οι σχεδιαζόμενες ανώτατες στάθμες της ροής και στους δύο αποδέκτες (τάφρος και ρέμα) πρέπει κατά προσέγγιση να είναι ίσες στα ανάντη άκρα της συμβολής, |
| • | η γωνία των τεμνόμενων αξόνων της ροής των αποδεκτών πρέπει να είναι το πολύ 12°, |
| • | οι επιθυμητές συνθήκες ροής κατάντη της συμβολής μπορούν να επιτευχθούν με διαπλάτυνση της κοίτης του ρέματος σε μήκος ίσο με την μεταβατική ζώνη, |
| • | τα βάθη υπερκρίσιμης ροής δεν πρέπει να ξεπερνούν το 90% του κρίσιμου βάθους (ο αριθμός Froude δεν πρέπει να ξεπερνά την τιμή 1,13) ώστε να διατηρείται η μόνιμη ροή. |
Για την περίπτωση της συμβολής σε κατάσταση υποκρίσιμης ροής μπορούν να γίνουν οι ακόλουθες παραδοχές για την εφαρμογή της εξίσωσης της ορμής:
| • | η πλευρική τάφρος πρέπει να σχεδιαστεί με την ίδια μορφή της κύριας κοίτης του υδατορέματος, |
| • | οι κλίσεις του πυθμένα στην περιοχή της συμβολής πρέπει να είναι ίδιες και για τους δύο αποδέκτες, |
| • | οι ροές πρέπει να είναι παράλληλες με τοιχώματα στις όχθες στην περιοχή της συμβολής ανάντη και κατάντη, |
| • | τα βάθη ροής πρέπει να είναι περίπου ίσα και στους δύο αποδέκτες στην περιοχή της συμβολής, |
| • | η κατανομή της ταχύτητας είναι ομοιόμορφη στις αμέσως ανάντη διατομές της συμβολής. |
5. Καταπάτηση Ευρείας Κοίτης Ποταμών - Χειμάρρων
Στα σημεία όπου η χάραξη της οδού διασχίζει την ευρεία κοίτη πλημμύρας ποταμού, θα πρέπει επιπλέον να εξετάζεται ότι:
| • | ο υδραυλικός σχεδιασμός της διασταύρωσης της οδού με τον ποταμό δε θα βασίζεται σε απλή ανάλυση ομοιόμορφης ροής στο τμήμα του ποταμού κάτω από τη γέφυρα που έχει διευθετηθεί. Οι συνέπειες υπερύψωσης από το άκρο του διευθετούμενου τμήματος θα ακύρωνε τις θεωρήσεις που συνεπάγεται η μελετητική αυτή προσέγγιση, |
| • | επειδή η ροή δεν περιορίζεται στη φυσική τάφρο και υπάρχει σημαντική ροή εκτός των ορίων της κανονικής κοίτης, κάτω από φυσιολογικές συνθήκες κατά τη διάρκεια του πλημμυρικού επεισοδίου σχεδιασμού. Η κατασκευή επιχώματος αναγκάζει το σύνολο της ροής αυτής να περνάει μέσα από το διευθετημένο τμήμα κάτω από το σημείο διασταύρωσης / συναρμογής με τη γέφυρα με κίνδυνο να αναπτύσσονται υψηλές ταχύτητες στο διευθετούμενο τμήμα ή υπερβολική άνοδος της στάθμης νερού στα ανάντη, |
| • | όταν δημιουργούνται προβλήματα πλημμυρών από τη διέλευση της οδού προτείνονται μέτρα, τα οποία ελέγχονται με υδραυλικά υπολογιστικά μοντέλα ώστε να βελτιώνονται οι συνθήκες. Τα μέτρα αυτά μπορεί να περιλαμβάνουν επεμβάσεις που αυξάνουν την παροχετευτικότητα της κανονικής κοίτης των ποταμών - χειμάρρων. |
6. Προστασία από τη Διάβρωση
Οπωσδήποτε ο σχεδιασμός των υδραυλικών έργων περιλαμβάνει μέτρα για την πρόληψη της διάβρωσης της φυσικής κοίτης στην έξοδο των οχετών, στα βάθρα γεφυρών ή στην κοίτη διευθετούμενων τμημάτων των ποταμών - χειμάρρων.
Απαραίτητο είναι να προσδιορίζεται η έκταση της πιθανής υποσκαφής στα διάφορα έργα ή μέρη των έργων. Για το λόγο αυτό ο μελετητής μπορεί να ανατρέχει σε σχετική βιβλιογραφία και να εφαρμόζει αποδεκτές μεθόδους (π.χ. Laurcen, CSU equation, Froelich equation, HIRE equation κ.τ.λ.) εκτός των αναφερομένων εδώ, ώστε να διαμορφωθεί ολοκληρωμένη άποψη για την ορθότητα των αποτελεσμάτων.
Η εκτίμηση θα γίνεται με τις εξισώσεις:
α. Βάθος υποσκαφής DS κάτω από γέφυρες
εάν το μήκος της γέφυρας L είναι μικρότερο από το πλάτος W της δίαιτας της ροής τότε το (Βάθος υποσκαφής υπολογίζεται αναλόγως με τα ανοίγματα του τεχνικού:
Ανοίγματα γέφυρας
|
Χρησιμοποιούμενη εξίσωση
|
Ένα
|
DS = 1,25 Dn = 1,25 RS (W/L) 0,61
|
(10.6-1)
|
Πολλαπλά
|
DS = 2,0 Dn = 2,0 RS (W/L) 0,61
|
(10.6-2)
|
Πολύ περιορισμένα
|
DS = RS (W/L) 1,56
|
(10.6-3)
|
όπου:
Dn (m): κανονικό βάθος υποσκαφής
| • | όταν η διάβαση είναι ίσου ή μεγαλύτερου πλάτους από το πλάτος της κοίτης |
RS = 0,475 (Q/f)1/3 (10.6-4)
| • | όταν ή διάβαση είναι στενότερη από το πλάτος της κοίτης |
RS = 1,350 (q/f) 1/3 (10.6-5)
όπου:
RS (m) = υδραυλική ακτίνα της δίαιτας
Q (-) = μέγιστη πλημμυρική παροχή
q (m3/s) = η παροχή πλάτους της κοίτης
f (-) = 1,75 d0,5 (συντελεστής Lacey)
d (mm) = η μέση διάμετρος του υλικού της κοίτης
s (m) = το βάθος υποσκαφής
β. Βάθος υποσκαφής DS γύρω από βάθρα γεφυρών
DS = 4,2 b' (y0 / b) 0,78 Fr 0,52 (Inglis) (10.6-6)
όπου:
b' (m): πλάτος του βάθρου
y0 (m): το βάθος ροής ανάντη
Fr (-): ο αριθμός Froude
γ. Βάθος υποσκαφής στη θέση κοιτόστρωσης στα κατάντη (βάθος χαλινού)
Η = 2,6 (y2-y1) (10.6-7)
όπου:
y1 (m): το βάθος ομοιόμορφης ροής με τραχύτητα του επιφανειακού υλικού του πυθμένα στα ανάντη
y2 (m): το βάθος ομοιόμορφης ροής με τραχύτητα του λεπτόκοκκου υλικού που υπάρχει κάτω από την κοιτόστρωση.
δ. υποσκαφή στα κατάντη οχετών (Breusers & Raudkivi)
βάθος υποσκαφής από τη στάθμη του πυθμένα:
DS = 0,65H (V0 / VC)1/3 (10.6-8)
πλάτος υποσκαφής:
BS = 7,50 H Fr 2/3 (10.6-9)
μήκος υποσκαφής:
LS = 15 H Fr 2/3 (10.6-10)
κρίσιμη διατμητική ταχύτητα:
VC = (TC/p) 1/2 (10.6-11)
Διάτμηση:
TC = 0,04 έως 0,06 (ρS - ρ)g dS (10.6-12)
όπου:
Fr (-) = ο αριθμός Froude
H (m) = το βάθος ροής στον οχετό
V0 (m/s) = η ταχύτητα ροής
VC (m/s) = η κρίσιμη διατμητική ταχύτητα (Shields)
ρS (kg/m3) = το ειδικό βάρος του υλικού της κοίτης (η συνήθης τιμή είναι 2650 kg/m3)
ρ (kg/m3) = το ειδικό βάρος του νερού
g (m/s2) = η επιτάχυνση της βαρύτητας
dS (mm) = η μέση διάσταση του υλικού της κοίτης
Η έκταση των έργων πρέπει να περιορίζεται ώστε να ελαχιστοποιούνται οι επεμβάσεις στο περιβάλλον των ποταμών - χειμάρρων αλλά και οι έντονες επεμβάσεις στη δίαιτα της ροής τους. Τα έργα πρέπει κυρίως να αποβλέπουν στην προστασία της οδού, των οχετών, των γεφυρών και των συνοδών έργων.
Τα τοπικά έργα γύρω από τα βάθρα γεφυρών εκτείνονται σε:
| • | μήκος (κατά τον άξονα της ροής) (m): L = 7 x b |
| • | πλάτος (εγκάρσια στη ροή) (m): W = 6 x b |
όπου:
b (m): το καθαρό άνοιγμα στην κοίτη αφαιρουμένου του πλάτους των μεσόβαθρων
Τα τοπικά έργα στα ανάντη και στα κατάντη γεφυρών εκτείνονται σε:
| • | μήκος προς τα ανάντη (m): L = b' |
| • | μήκος προς τα κατάντη (m): L = 2 x b' έως 4 x b' |
όπου:
b' (m): το συνολικό πλάτος των μεσόβαθρων που μειώνουν το φυσικό πλάτος της ροής
Το συνολικό φυσικό πλάτος της κοίτης (στην πλημμύρα σχεδιασμού) πρέπει να είναι:
B=b+b'
Στα ενδεχόμενα μέτρα προστασίας από τη διάβρωση, αναλόγως με τις επικρατούσες υδραυλικές και γεωλογικές συνθήκες περιλαμβάνονται:
| • | ο σχεδιασμός μεταβατικών έργων για την ελαχιστοποίηση της διαφοράς μεταξύ της ταχύτητας εξόδου και ταχύτητας στην κατάντη συνεχόμενη φυσική κοίτη, |
| • | η επένδυση των πρανών (όχθεων) και της κοίτης με, εύκαμπτα κατά προτίμηση, υλικά όπως π.χ. λιθορριπές (rip-rap) ή λιθοπλήρωτα συρματοκιβώτια ή λιθοπλήρωτα συρματοστρώματα ή αλλιώς ονομαζόμενα στρωμνές (Reno mattresses), |
| • | τα τοπικά και περιορισμένα έργα κοιτοστρώσεων με σκυρόδεμα στις προσβάσεις (aprons), |
| • | οι αναβαθμοί και οι δεξαμενές ηρεμίας για τη θραύση της ενέργειας. |
Η επιλογή των υλικών των έργων γίνεται αναλόγως με τα αναμενόμενα όρια ταχυτήτων (βλέπε Πίνακα 10.6-1).
Πίνακας 10.6-1: Επιτρεπόμενες ταχύτητες αναλόγως των έργων και της επένδυσης
Ταχύτητες (m/s)
|
Συνιστώμενα έργα
|
|
απλές διαμορφώσεις - ισοπέδωση της κοίτης από υλικό:
|
< 0,75
|
| • | λεπτή άμμος και άργιλοι - ιλύες |
|
< 1,00
|
|
< 1,50
|
|
< 1,80
|
|
< 2,00
|
| • | χαλίκια με άργιλο ή / και ιλύ |
|
< 2,70
|
| • | χαλίκι ή / και κροκάλες διαστάσεων >20 cm |
|
< 4,50
|
| • | βραχώδες έδαφος - απλές λιθορριπές |
|
< 5,50
|
ισχυρές λιθορριπές σε ευαίσθητα σημεία του έργου
|
< 6,00
|
συρματοστρώματα και σε ευαίσθητα σημεία του έργου συρματοκιβώτια
|
< 7,00
|
ισχυρούς συρματοκλωβούς (συρματοκιβώτια ή συρματοστρώματα)
|
< 10,00
|
κοιτοστρώσεις με σκυρόδεμα
|
≥ 10,00
|
διατάξεις θραύσης ενέργειας
|
Όπου προτείνονται λιθορριπές για τον έλεγχο της διάβρωσης η διάμετρος και η κοκκομετρική διαβάθμιση των λίθων που θα χρησιμοποιηθούν πρέπει να καθορίζονται με τη χρήση αναγνωρισμένων μεθόδων κατάλληλων για:
α. την κλίση, τη μορφολογία και το υπάρχον υλικό της κοίτης,
β. τη ταχύτητα και το βάθος νερού σε σχέση με την προτεινόμενη διάμετρο των λίθων.
Πρέπει να παρουσιάζονται αναλυτικώς οι υπολογισμοί καθώς και η προδιαγραφή των υλικών που προτείνονται. Επίσης θα παραδίδονται σχέδια οριζοντιογραφίας, κατά μήκος τομής και διατομών της περιοχής της στρώσης λιθορριπής.
Για τη διαστασιολόγηση των λίθων προτείνονται οι σχέσεις:
Μέση διάσταση λίθων
|
d=0,06-0,033V+0,04 V2
|
(10.6-13)
|
Μέση κρίσιμη ταχύτητα VS για τον έλεγχο της επιλεγείσας διάστασης των λίθων
|
VC = 6 d1/3 y05/3
|
(10.6-14)
|
Ελάχιστη διάσταση λίθων προστασίας πυθμένα
|
dmin=0,25 H - Fr
|
(10.6-15)
|
Μέσο μέγεθος λίθων:
|
|
|
μέθοδος USGS
|
D50 = 0,01 Va2,44
|
(10.6-16)
|
μέθοδος USBR
|
D50 = 0,0122 Va2,08
|
(10.6-17)
|
όπου:
V (m/s): η ταχύτητα ροής
d (m): η μέγιστη διάσταση των λίθων
y0 (m): το κανονικό βάθος ροής στην ανάντη διατομή του έργου
H (m): το βάθος ροής στον οχετό
Fr (-): ο αριθμός Froude
D50 (mm): το μέσο μέγεθος λίθων
Va (m/s): η μέση ταχύτητα ροής
Τα ειδικά βάρη των λίθων για τη χρήση των μεθόδων ASCE και Isbash δίνονται στον επόμενο Πίνακα 10.6-2.
Πίνακας 10.6-2: Ειδικά βάρη
Είδη πετρωμάτων
|
Ειδικό Βάρος (kg/m)
|
Χαλαζιακά και άστριοι
|
2 650
|
Σιδηρομαγνησιούχα
|
3 000 - 3 500
|
Γρανίτες
|
2 640 - 2 760
|
Συκνίτες
|
2 700 - 2 900
|
Διοριτικά
|
1 500 - 2 000
|
Περιδοτίτες - Γάβρος
|
3 000
|
Προφύρες
|
2 500 - 2 800
|
Βασάλτες
|
2 700 - 3 300
|
Τραχίτες
|
2 600
|
Ανδεσιτικά
|
2 500 - 2 850
|
Δολομίτες
|
2 660 - 2 790
|
Ασβεστόλιθοι
|
2 700
|
Όταν προτείνονται έργα σε ομάδες οχετών θα πρέπει για λόγους ευκολίας της κατασκευής τα δεδομένα από την επίλυση να ομαδοποιούνται σε χαρακτηριστικά μεγέθη προς τη μεριά της ασφάλειας, ώστε να αποφεύγονται οι συγχύσεις και να είναι εύκολη η κατανόηση των έργων. Για παράδειγμα όταν από τους υπολογισμούς εξάγεται ότι πρέπει να γίνουν λιθορριπές στην έξοδο (έστω δέκα) οχετών με διαφορετικές μέσες διαμέτρους λίθων θα πρέπει να προδιαγράφονται για την κατασκευή μια ή δυο μόνο μέσες διάμετροι λίθων.
Όταν χρησιμοποιούνται λιθοπλήρωτοι συρματοκλωβοί, η μελέτη θα βασίζεται σε προδιαγραφές και συστάσεις που δίνονται σε κατασκευαστικές οδηγίες, (π.χ. Maccaferri): Flexible gabion and reno mattress structures in river and stream training works.
Η μελέτη των αναβαθμών και λεκανών ηρεμίας για τη θραύση ενέργειας μπορεί να βασίζεται στην εγκύκλιο:
Hydraulic design of energy dissipators for culverts and channels, HEC 14. FHWA, US Department of Transportation, 1975.
7. Μελέτη της Μεταφοράς Φερτών Υλικών
Για την αποκατάσταση της φυσικής δίαιτας των φερτών υλικών σε ένα υδατόρεμα και για την άρση των επιπλοκών, απαιτείται μελέτη για να:
| • | καθοριστεί η διαχείριση της στερεομεταφοράς στον υδραυλικό σχεδιασμό, |
| • | δοθεί κάποιο μέσο για τη διαστασιολόγηση εφικτών έργων ελέγχου της στερεομεταφοράς (διάβρωσης ή απόθεσης), |
| • | καθοριστούν οι θέσεις όπου απαιτούνται τέτοια έργα, |
| • | εκτιμηθούν ποσοτικά εφικτές δραστηριότητες συντήρησης. |
Βασικές πληροφορίες μπορούν να συγκεντρωθούν με:
| • | επισκέψεις αυτοψίας στις θέσεις ενδιαφέροντος και ελέγχου του υλικού στον πυθμένα των ρεμάτων για την εκτίμηση της διαβρωσιμότητας της λεκάνης απορροής, |
| • | επιθεώρηση της μορφής της κοίτης σε υπάρχουσες κατασκευές γεφυρών - οχετών για την απόκτηση αποδείξεων περί των αποθέσεων φερτών ή της διάβρωσης, |
| • | πληροφορίες από τις αρμόδιες Δημόσιες Υπηρεσίες για τη διαχείριση των συγκεκριμένων ρεμάτων, |
| • | πληροφορίες από την εμπειρία των κατοίκων της περιοχής, |
| • | συγκριτική αξιολόγηση αεροφωτογραφιών της περιοχής από φωτοληψίες, οι οποίες πρέπει να απέχουν μεταξύ τους τουλάχιστο 10 έτη. |
Σε ακραίες περιπτώσεις μπορεί να είναι απαραίτητο να εκτιμηθεί ο όγκος φερτών ενός ρέματος ώστε να διαστασιολογηθούν έργα ελέγχου των φερτών όπως δεξαμενές (παγίδες) συγκράτησης φερτών.
Ο όγκος φερτών (μέσος ετήσιος όγκος των υλικών που μεταφέρονται από ένα ρέμα) μπορεί να βρεθεί από:
α. προηγούμενες μελέτες έργων που έγιναν στην περιοχή ενδιαφέροντος,
β. αρχεία εργασιών ελέγχου φερτών υλικών που ανέλαβαν οι αρμόδιες Υπηρεσίες, για την διαχείριση των ποταμών,
γ. εφαρμογή εμπειρικών μεθόδων που βασίζονται στα χαρακτηριστικά των λεκανών απορροής όπως η Universal Soil Loss Equation. Αυτό απαιτεί την καταγραφή της χρήσης των εδαφών στις συνεισφέρουσες λεκάνες απορροής.
Εκεί όπου βρεθεί ότι είναι απαραίτητο να ληφθεί υπόψη στον υδραυλικό σχεδιασμό η διαχείριση των φερτών πρέπει να καθοριστούν και να εισαχθούν συνολικά στο υδραυλικό μοντέλο οι συσχετιζόμενες συνθήκες της κοίτης του ρέματος και των ανάντη ή κατάντη του αυτοκινητοδρόμου κατασκευών οχετών ή διευθετήσεων.
Η συμπεριφορά του ρέματος από αντίδραση στις επιβαλλόμενες κατασκευές μέσα σε ένα μεγάλο χρονικό διάστημα πρέπει να κατανοηθεί πλήρως στα σημεία των αναμενόμενων περιοχών της απόθεσης φερτών, της υποβάθμισης και διάβρωσης της κοίτης. Παραλλήλως πρέπει να γίνουν οι σχετικές εκτιμήσεις των απαιτήσεων συντήρησης όσον αφορά στην διαχείριση των φερτών.
Ο σχεδιασμός των έργων πρέπει να εξασφαλίζει τη μακροχρόνια σταθερότητα και να λαμβάνει υπόψη τα σχέδια και τις ενέργειες των άλλων Υπηρεσιών όπως της Γεωργίας και των Δασών των οποίων οι δραστηριότητες μέσα στη λεκάνη απορροής μπορεί να έχουν επιπτώσεις στα φορτία φερτών του ρέματος.
Η μελέτη θα πρέπει να περιλαμβάνει εναλλακτικές επιλογές διαχείρισης και στρατηγικές διαχείρισης των φερτών υλικών, όπως για παράδειγμα κατασκευή στα ανάντη φραγμάτων ελέγχου από συρματοκιβώτια φθοράς, παγίδες φερτών στα ανάντη των κατασκευών, διατήρηση των υψηλών ταχυτήτων μέσω των κατασκευών κ.τ.λ.
Οι επιλογές και προτάσεις πρέπει να παρουσιάζονται στο αρχικό στάδιο της μελέτης για την προέγκριση τους πριν από την υποβολή της ολοκληρωμένης οριστικής μελέτης. Επίσης μπορεί να προτείνονται και μακροχρόνια προγράμματα για τη βελτίωση της κατάστασης. Όμως η μελέτη θα πρέπει να προσφέρει το σχεδιασμό ενός επαρκούς έργου το οποίο θα λειτουργεί και χωρίς την εφαρμογή τέτοιων προγραμμάτων.
8. Υδραυλικές Κατασκευές με Λιθοπλήρωτους Συρματόπλεκτους Κλωβούς
8.1. Γενικά
Τα υδραυλικά έργα που σχεδιάζονται να κατασκευαστούν με λιθοπλήρωτους συρματοκλωβούς (συρματοστρώματα και συρματοκιβώτια) πρέπει να φέρουν με ασφάλεια όλα τα αναμενόμενα φορτία που προέρχονται από τις δυνάμεις που ασκούνται από τη:
| • | ροή του νερού είτε στην επιφάνειά των συρματοκλωβών είτε όταν ρέει δια μέσου του όγκου των λίθων, |
| • | το έδαφος που προστατεύεται και αντιστηρίζεται με τους συρματοκλωβούς, |
| • | το ίδιο βάρος στην κατασκευή ή και τις ανωστικές δυνάμεις, όταν η κατασκευή βρίσκεται βυθισμένη στο νερό, |
| • | τις μεγάλες παραμορφώσεις του συνόλου της κατασκευής, που οδηγούν σε διάρρηξη της συνοχής του έργου και κατάρρευση. |
Για την εκτίμηση των δυνάμεων και τον τρόπο επίδρασής τους πάνω στην κατασκευή ο μελετητής πρέπει να ανατρέξει σε έγκριτα συγγράμματα ή ακόμη και σε τύπους που παρέχονται στις παρούσες οδηγίες.
Η εκτίμηση των υδροστατικών και υδροδυναμικών φορτίσεων είναι θέμα υδραυλικής προσέγγισης και συνεπώς με κατάλληλη προσομοίωση μπορεί να προσδιορίζονται τα υδραυλικά μεγέθη (π.χ. ταχύτητα) που συσχετίζονται με αυτές τις φορτίσεις σε κάθε τμήμα της κατασκευής.
Η εκτίμηση των ωθήσεων που μπορεί να ασκεί το έδαφος στους συρματοκλωβούς είναι θέμα εδαφομηχανικής και γεωτεχνικής προσέγγισης επομένως πρέπει να υπάρχει πλήρης γνώση των εδαφών, όπου πρόκειται να θεμελιωθούν οι κατασκευές, αλλά και των εδαφών που πρόκειται αυτές θα προστατεύουν και αντιστηρίζουν. Έτσι με τις συνήθεις μεθόδους της εδαφομηχανικής θα εκτιμώνται με ορθότητα οι συνθήκες ισορροπίας των εδαφών και των κατασκευών τόσο μετά την κατασκευή όσο και μετά από την εμφάνιση των αναμενόμενων παραμορφώσεων, καθιζήσεων και διαβρώσεων μακροχρονίως.
Η εκτίμηση των δυνάμεων που ασκούνται στην κατασκευή από το ίδιο βάρος της ή από την άνωση, στα τμήματα της κατασκευής που είναι βυθισμένα στο νερό, είναι από τις πλέον απλές προσεγγίσεις αφού βασίζεται σε απλούς τύπους. Είναι όμως εξαιρετικά μεγάλης σημασίας επειδή αυτές οι δυνάμεις υπεισέρχονται στις συνθήκες ισορροπίας της κατασκευής.
Τέλος η εκτίμηση των δυνάμεων που ασκούνται στην κατασκευή από τις αναμενόμενες παραμορφώσεις απαιτεί ιδιάζουσα προσέγγιση, επειδή πρέπει πρώτα να εκτιμηθούν με κατάλληλη μέθοδο οι παραμορφώσεις αυτές και στη συνέχεια να διαπιστωθεί εάν και σε τι βαθμό οι παραμορφώσεις αυτές θα επηρεάσουν καταστροφικά την κατασκευή.
Προκειμένου να εκτιμηθούν όλες οι δυνάμεις που ασκούνται στην κατασκευή παρατίθενται στη συνέχεια οι αρχές σχεδιασμού και διαστασιολόγησης αυτών των κατασκευών.
Ο σχεδιασμός και ο έλεγχος της ευστάθειας των έργων μπορεί να γίνεται είτε θεωρώντας ότι αυτές συμπεριφέρονται ως κατασκευές βαρύτητας, είτε θεωρώντας ότι μπορούν να λειτουργήσουν και ως κατασκευές ημιβαρύτητας. Η δεύτερη περίπτωση δηλαδή η θεώρηση ότι μπορούν να φέρουν κάποια φορτία εντός των πλαισίων της μικρής τους ελαστικότητας, επιτρέπει το σχεδιασμό οικονομικότερων έργων.
Οι κατασκευές με λιθοπλήρωτους συρματοκλωβούς μπορούν να φέρουν θλιπτικές, εφελκυστικές και διατμητικές τάσεις. Οι εφελκυστικές τάσεις λαμβάνονται κυρίως από το δικτυωτό σύρμα που περιβάλει τους λίθους και για αυτό το λόγο θα πρέπει τα επιμέρους κιβώτια να δένονται ισχυρά μεταξύ τους για την επίτευξη της μέγιστης και ασφαλούς μεταβίβασης των εφελκυστικών τάσεων χωρίς τον κίνδυνο ολίσθησης μεταξύ τους.
Για τους υπολογισμούς που ακολουθούν απαιτείται πρώτα ο καθορισμός των ειδικών βαρών των λίθων κατασκευής.
Το βάρος ανά μονάδα όγκου του νερού είναι συνήθως 1 000 kg/m3, ενώ σε κάποιες περιπτώσεις εξαιρετικά τυρβώδους ροής που το νερό μεταφέρει εν αιώρηση λεπτόκοκκα φερτά, μπορεί να έχει την τιμή 1 500 kg/m3. Ενδιάμεσες τιμές μπορούν να υιοθετούνται εκτιμώντας τις τοπικές συνθήκες ροής.
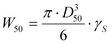
Τα βάρη των λίθων δίνονται στον πίνακα 10.5-2. Το βάρος ανά μονάδα όγκου των κατασκευασμένων λιθοπλήρωτων συρματοκλωβών εξαρτάται από το μέγεθος των κενών και το μέγεθος ή τη διαβάθμιση των λίθων που θα χρησιμοποιηθούν. Για την προσέγγιση του μεγέθους αυτού μπορεί να χρησιμοποιηθεί η εξίσωση:
γg = γS (1 - ε) (10.8-1)
όπου:
γg (kN/m3): το βάρος ανά μονάδα όγκου του λιθοπλήρωτου συρματοκιβώτιου
γS (kN/m3): το βάρος ανά μονάδα όγκου του λίθου
ε (-): ο λόγος των κενών, ο όγκος των οποίων πρέπει να κυμαίνεται από 30% έως 40% του όγκου του κλωβού. Επιτρέπεται το ποσοστό των κενών να λαμβάνεται ίσο με 20%, όταν αναμένεται ότι αυτά θα γεμίσουν με φερτά υλικά κατά τη διάρκεια της ζωής του έργου.
Όταν το συρματοκιβώτιο είναι βυθισμένο, τα κενά γεμίζουν με νερό οπότε η εξίσωση γίνεται:
γGU = (γS (1 - ε ) + ε x u x γW) (10.8-2)
όπου:
γGU (kN/m3): το βάρος ανά μονάδα όγκου του συρματοκλωβού βυθισμένου
γS (kN/m3): το βάρος ανά μονάδα όγκου του λίθου
γW (kN/m3): το βάρος ανά μονάδα όγκου του νερού
u (-): το ποσοστό πλήρωσης των κενών με νερό (u=1 όταν ο συρματοκλωβός είναι πλήρως βυθισμένος)
Όταν ο συρματοκλωβός είναι πλήρως βυθισμένος, τότε ενεργούν πλήρως και οι ανωστικές δυνάμεις οπότε η εξίσωση γίνεται:
γGU = (γS -γW) x (1 - ε ) (10.8-3)
όπου:
γGW (kN/m3): το βάρος ανά μονάδα όγκου του συρματοκλωβού πλήρως βυθισμένου
γS (kN/m3): είναι το βάρος ανά μονάδα όγκου του λίθου
γW (kN/m3): είναι το βάρος ανά μονάδα όγκου του νερού
ε (-): ο λόγος των κενών, ο όγκος των οποίων πρέπει να κυμαίνεται από 30% έως 40% του όγκου του κλωβού. Επιτρέπεται το ποσοστό των κενών να λαμβάνεται ίσο με 20%, όταν αναμένεται ότι αυτά θα γεμίσουν με φερτά υλικά κατά τη διάρκεια της ζωής του έργου.
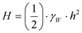
Η επιτρεπόμενη θλιπτική τάση για τις κατασκευές λιθοπλήρωτων συρματοκλωβών είναι:
rS (t/m3)
|
σam (kg/cm)
|
1,4
|
4,0
|
1,6
|
5,0
|
1,8
|
6,0
|
Για ενδιάμεσες τιμές μπορεί να γίνει γραμμική παρεμβολή με τον τύπο σam = 5 γS - 3
Η επιτρεπόμενη διατμητική τάση για τις κατασκευές λιθοπλήρωτων συρματοκλωβών είναι περίπου 20 kg/m2 για κατασκευές με πάχος από 40 cm έως 100 cm.
Στην περίπτωση που οι κατασκευές είναι βυθισμένες σε νερό στον πυθμένα τότε ως επιτρεπόμενη διατμητική τάση θα λαμβάνεται το μέγεθος:
τC = C x (γS - γW)· dM (10.8-4)
όπου:
τC (kN/m3): η επιτρεπόμενη διατμητική τάση
C (-): ο συντελεστής Shields (C= 0,10 για τα συρματοκιβώτια)
dM (m): η μέση διάμετρος.
Εάν οι κατασκευές βρίσκονται στις όχθες τότε ως επιτρεπόμενη τάση θα λαμβάνεται το μέγεθος:
(10.8-5)
όπου:

Η αναπτυσσόμενη διατμητική τάση από τη ροή στον πυθμένα είναι:
(10.8-6)
όπου:
τb (kN/m2): η διατμητική τάση
γW (kN/m3) : το ειδικό βάρος του νερού
y (m/m): το βάθος του νερού
i (m/m): η κλίση του πυθμένα
Η αναπτυσσόμενη διατμητική τάση από τη ροή στις όχθες είναι:
(10.8-7)
όπου:
τM (kN/m2): η διατμητική τάση
8.2. Αρχές σχεδιασμού
Οι λιθοπλήρωτοι συρματοκλωβοί κατασκευάζονται ως μεμονωμένα κιβώτια παραλληλεπίπεδες έδρες ή ως διαδοχικοί κλωβοί με ενιαίες εξωτερικές επιφάνειες και εσωτερικά διαφράγματα.
Οι διαστάσεις τους σχεδιάζονται έτσι ώστε τοποθετούμενα το ένα πάνω στο άλλο ή σε επαφή δίπλα το ένα στο άλλο, να σχηματίζουν με ικανοποιητική ακρίβεια τη διατομή του έργου προστασίας. Συνήθως οι διαστάσεις τους σχεδιάζονται έτσι ώστε τελικά να προκύπτει μικρότερη απώλεια (φύρα) σε επιφάνεια πλέγματος, επειδή κάποια κομμάτια του πλέγματος στο κόψιμο δεν μπορούν να αξιοποιηθούν στην κατασκευή. Οι διαστάσεις αυτές προσδιορίζονται από τις διαστάσεις της κουλούρας του πλέγματος που κυκλοφορεί στο εμπόριο, (συνήθεις διαστάσεις πλάτος / μήκος (3 έως 5) / (25 έως 35) m.
Οι διαστάσεις των κιβωτίων πρέπει να είναι πολλαπλάσιες των 50 cm, με βέλτιστες διαστάσεις 50 x 100 x 200 cm, ώστε τα κιβώτια να προκύπτουν με κοπή και δίπλωμα του πλέγματος και όχι μόνο με κοπή.
Αν και από πλευράς αντοχής της επένδυσης το πάχος των στρωμάτων μπορεί να είναι μέχρι και 15 cm στην περίπτωση συρματοστρώματος (στρώμνης). Εντούτοις επειδή η συμπεριφορά των χειμάρρων είναι απρόβλεπτη, με μεγάλες αυξήσεις στις ταχύτητες, δε θα πρέπει να επιλέγεται διάσταση πάχους μικρότερη από 50 cm. Ομοίως πάχος ή πλάτος συρματοκιβώτιου με διάσταση μεγαλύτερη από 100 cm πρέπει να αποφεύγεται. Για το λόγο αυτό τα συρματοκιβώτια με πλάτος >100 cm πρέπει να σχεδιάζονται με ενδιάμεσα διαφράγματα ώστε να περιορίζεται η παραμόρφωση τους από το ίδιο βάρος των λίθων.
Η τοποθέτηση των συρματοκιβωτίων καθ' ύψος (το ένα πάνω στο άλλο) πρέπει να γίνεται, με τρόπο που να ευνοεί την ευστάθεια προς την κατεύθυνση της μέγιστης φόρτισης. Αυτή η ευστάθεια εκφράζεται κυρίως με την εξασφάλιση του ότι το κέντρο βάρους της κατασκευής θα βρίσκεται πάντα εντός του πυρήνα της επιφάνειας θεμελίωσης, (π.χ. στο μεσαίο 1/3 του πλάτους της) ακόμη και σε συνθήκες υποσκαφής δηλαδή μείωσης της επιφάνειας θεμελίωσης. Για να εξασφαλιστεί αυτό θα πρέπει να ληφθεί μέριμνα ώστε σε περιπτώσεις μεγάλων αναμενόμενων υποσκαφών, οι υποχωρήσεις της θεμελίωσης να προκαλούν μεταπτώσεις της κατασκευής σε σταθερότερες καταστάσεις ισορροπίας. Κάτι τέτοιο μπορεί να επιτευχθεί με προσχεδιασμένες αρνητικές εκκεντρότητες στην κατασκευή οι οποίες στην χειρότερη περίπτωση μηδενίζονται από τις παραμορφώσεις. Τέτοιος σχεδιασμός είναι αυτός που παρουσιάζεται στο επόμενο σχήμα 1, ο οποίος με περίπτωση υποσκαφής δημιουργεί πτώση της κατασκευής προς τα πίσω και όχι προς τη ροή (όπως το επόμενο σχήμα 2). Μια καλύτερη προσέγγιση είναι αυτή του επόμενου σχήματος 3 που σε περίπτωση υποσκαφής η κατασκευή ολισθαίνει στο σύνολό της χωρίς να ανατραπεί. Λόγω αυτής της δυνατότητας σχεδιασμού η ανάγκη για προστασία με πλήρη κάλυψη της περιοχής όπου αναμένεται η υποσκαφή είναι μειωμένη και συνεπώς οι κατασκευές θα είναι οικονομικότερες.
Ακριβέστερη εκτίμηση του ελάχιστου πάχους της στρώσης της επένδυσης μπορεί να γίνει σε σχέση με την ταχύτητα ροής για διάσταση βρόχου του σύρματος 6 x 8 cm από τον Πίνακα 10.8-2.
Τύπος
|
Πάχος (cm)
|
Λίθοι πλήρωσης
|
Κρίσιμη ταχύτητα
(m/s)
|
Μέγιστη ταχύτητα
(m/s)
|
Διάσταση (cm)
|
Μέση διάμετρος (d50) (cm)
|
Στρώματα
|
30
|
0,07-0,12
|
0,100
|
4,20
|
5,50
|
0,12-0,15
|
0,125
|
5,00
|
6,40
|
Κιβώτια
|
50
|
0,10-0,20
|
0,150
|
5,80
|
7,60
|
0,12-0,25
|
0,190
|
6,40
|
8,00
|
Οι τιμές του πάχους μπορεί να αυξηθούν προκειμένου να χρησιμοποιηθούν λίθοι με μεγαλύτερη διάσταση ώστε να αποκτήσει η κατασκευή μεγαλύτερο βάρος. Στις περιπτώσεις αυτές πρέπει ο σχεδιασμός της διαβάθμισης των λίθων να μην περιέχει λίθους μεγαλύτερους από το 1/1,2 έως 1/1,5 της ελάχιστης διάστασης του συρματοκιβώτιου. Η κάθε κατασκευή λιθοπλήρωτων συρματοκλωβών πρέπει να τοποθετείται πάνω σε σταθερό έδαφος είτε πρόκειται για ξηρά κοίτη ή όχθη, είτε πρόκειται για κοίτη με νερό. Η αντοχή του εδάφους θεμελίωσης σε κατακόρυφα φορτία θα καθορίζεται από τη γεωτεχνική μελέτη.
Όταν πρόκειται να εδραστεί η κατασκευή σε κοίτες ή όχθες με νερό τότε πρέπει να εξετάζεται η σταθερότητα των εδαφών σε διατμητική δύναμη εξαιτίας της ροής. Πριν και μετά την τοποθέτηση της επένδυσης. Εάν η επιτρεπόμενη διατμητική είναι μικρότερη από την αναπτυσσόμενη τότε θα απαιτηθεί είτε αύξηση του πάχους της επένδυσης είτε ενδιάμεση στρώση έδρασης (φίλτρο).
Ο μελετητής μπορεί να εφαρμόσει τα ακόλουθα για την εύρεση των διατμητικών τάσεων. Η χρήση των εξισώσεων 10.8-6 και 10.8-7 δίνει τις αναπτυσσόμενες διατμητικές τάσεις όταν το υλικό του εδάφους κοίτης / όχθης είναι αδρόκοκκο.
Όταν το υλικό του εδάφους είναι λεπτόκοκκο, η τροποποιημένη εξίσωση Manning δίνει τις αναπτυσσόμενες διατμητικές τάσεις:
(10.8.2-1)
Η επιτρεπόμενη ταχύτητα V λαμβάνεται από τον επόμενο πίνακα:
Υλικό κοίτης (πυθμένας - όχθες)
|
Επιτρεπόμενη ταχύτητα (m/s)
|
Κατά προσέγγιση συνιστώμενες τιμές διατμητικών τάσεων
(kg/m2)
|
ροή χωρίς φορτίο σε αιώρηση
|
ροή με φορτίο σε αιώρηση
|
Λεπτόκοκκη άμμος
|
0,45
|
0,75
|
_
|
Χονδρή άμμος
|
0,75
|
1,05
|
0,05 έως 0,10
|
Χάλικες (από 1 έως 10 cm)
|
1,20
|
1,85
|
0,10 έως 1,00
|
Στιφρή άργιλος
|
1,85
|
1,85
|
|
Τα λοιπά μεγέθη της εξίσωσης είναι όπως ακριβώς ορίζονται στην υδραυλική, δηλαδή:
n (m-1/3s): ο συντελεστής τραχύτητας
R (m): η υδραυλική ακτίνα
γ (kg/m3): το ειδικό βάρος του νερού
Η εκτίμηση της αναπτυσσόμενης ταχύτητας κάτω από την επένδυση για τον σχεδιασμό του φίλτρου μπορεί να γίνει σύμφωνα με τα επόμενα:
Η επιτρεπόμενη ταχύτητα VE υπολογίζεται ανάλογα με τη συνεκτικότητα των εδαφών.
| • | Για συνεκτικά εδάφη από τον επόμενο πίνακα: |
Υλικό κοίτης (πυθμένας - όχθες)
|
Λόγος κενών του υλικού της κοίτης (εξαρτάται από τη συμπύκνωση)
|
Επιτρεπόμενη ταχύτητα VE (m/s)
|
Αργιλοαμμώδες με περιεκτικότητα σε άμμο <50%
|
0,2 έως 0,4
|
2,2 έως 1,3
|
0,4 έως 0,7
|
1,3 έως 1,0
|
0,7 έως 1,5
|
1,0 έως 0,6
|
1,5 έως 2,0
|
0,6 έως 0,3
|
Αργιλώδες με μικρό ποσοστό αργίλου
|
0,2 έως 0,4
|
1,5 έως 1,1
|
0,4 έως 0,7
|
1,1 έως 0,8
|
0,7 έως 1,5
|
0,8 έως 0,5
|
1,5 έως 2,0
|
0,5 έως 0,3
|
| • | Για τα χαλαρά εδάφη από την ακόλουθη εξίσωση: |
(10.8.2-2)
Τέλος υπολογίζεται η απομένουσα ταχύτητα στον πυθμένα από την εξίσωση:
(10.8.2-3)
όπου:
n (m-1/3s): ο συντελεστής τραχύτητας λαμβάνεται από 0,020 έως 0,030
V (m/s): η ταχύτητα ροής στο υδατόρεμα,
Ελέγχεται εάν 2 VE < V < 4 VE
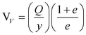
Η ταχύτητα μέσα από τον όγκο των λίθων στο συρματοκλωβό εκτιμάται από την εξίσωση:
(10.8.2-4)
όπου:
Q (m3/s): η παροχή
y (m): το βάθος
e (-): ο λόγος των κενών
Ο σχεδιασμός της κλίσης των πρανών της όχθης που πρόκειται να επενδυθεί μπορεί να έχει τις ελάχιστες τιμές του επόμενου Πίνακα:
Τύπος εδάφους
|
Κλίση πρανών - υ:β
|
Στιφρή άργιλος
|
1:1,00 έως 1:1,25
|
Αργιλοαμμώδες
|
1:1,25 έως 1:1,50
|
Σε χαλαρά εδάφη χωρίς συνοχή ή και με οργανικές προσμίξεις θα πρέπει οι κλίσεις να σχεδιάζονται ηπιότερες, με ελάχιστη τιμή υ:β=1:3 ενώ σε ημιβραχώδη και βραχώδη εδάφη οι κλίσεις μπορούν να αυξηθούν με μέγιστη τιμή 1:0,20 μετά όμως από διερεύνηση της ευστάθειας τους χωρίς επένδυση.
8.3. Ειδικοί έλεγχοι για το σχεδιασμό
Ο έλεγχος παραμόρφωσης από τη φόρτιση των διατμητικών τάσεων της ροής γίνεται όταν Tb <1,2 Tc
Υπολογίζεται αρχικά ο συντελεστής (ενεργός παράμετρος) Shields C από τις ακόλουθες εξισώσεις:
Για τον πυθμένα C' = (T - TC) / (γS - γW) dM (10.8.3-1)
Για τις όχθες C' = (TM - TC) / (γS - γW) dM (10.8.3-2)
Με την προκύπτουσα τιμή του C ευρίσκεται κατά προσέγγιση η παράμετρος παραμόρφωσης από τον ακόλουθο πίνακα:
C'
|
0,12
|
0,10
|
0,08
|
0,06
|
0,04
|
0,02
|
0,01
|
0,001
|
ΔZ/dM
|
1,65
|
1,61
|
1,55
|
1,50
|
1,35
|
1,18
|
0,90
|
0,02
|
Θα πρέπει να είναι πάντοτε ΔZ/dM < 2 (t / dM - 1), (10.8.3-3)
όπου:
t (m): το πάχος της επένδυσης
Ο έλεγχος σε ολίσθηση θα πρέπει να ικανοποιεί τη σχέση:
ΣΗ < ΣΝ x tan φ (10.8.3-4)
όπου ΣΗ είναι η συνισταμένη των οριζοντίων δυνάμεων οι οποίες ορίζονται ως ακολούθως:
Υδροστατικές πιέσεις
(10.8.3-5)
Ωθήσεις εδάφους
(10.8.3-6)
όπου 
Υδροδυναμικές πιέσεις Η = f(Q,V,p) (10.8.3-7)
Ο συντελεστής ευστάθειας έναντι ολίσθησης εκφράζεται από τη σχέση:
(10.8.3-8)
και πρέπει να είναι SS < 1,3
Έλεγχος σε άνωση. Ο συντελεστής ευστάθειας σε άνωση πρέπει να ικανοποιεί τη σχέση:
(10.8.3-9)
Σε αυτή τη σχέση p είναι η υδροστατική πίεση στον πυθμένα της κατασκευής, h το βάθος του νερού και t το πάχος της επένδυσης.
Έλεγχος ευστάθειας σε ανατροπή. Ο έλεγχος ευστάθειας στις ροπές ανατροπής πρέπει να ικανοποιεί τη σχέση:
(10.8.3-10)
Αναπτυσσόμενη τάση εφελκυσμού στο πλέγμα. Σε σχέση με τις διαστάσεις του πλέγματος και της διαμέτρου του σύρματος η μέγιστη δύναμη που μπορεί να παραληφθεί ανά μέτρο πλάτους του πλέγματος (με εξαγωνικούς βρόχους) είναι:
(10.8.3-11)
όπου:
f (kN/m2): η επιτρεπόμενη τάση του σύρματος
k (m): η διάσταση (άνοιγμα) των βρόγχων στην παράλληλη διεύθυνση με τη ροή
t (m): η διάμετρος του σύρματος
8.4. Υλικά συρματόπλεκτων κλωβών
Οι κλωβοί θα κατασκευάζονται ως ορθογώνια παραλληλεπίπεδα με συρματόπλεγμα και θα πληρούνται με αργούς λίθους. Οι κλωβοί θα είναι δύο τύπων:
α. Μη αποπλεκώμενου πλέγματος διπλής περιστροφής, εξαγωνικού βρόχου, που θα αποτελείται από δύο σύρματα συνεστραμμένα με δύο στροφές 180°
β. Συγκολλητού πλέγματος - ηλεκτροσυγκολλημένο πλέγμα συρμάτων, σε σχήμα ορθογωνίων παραλληλεπιπέδων με σταθερή συγκόλληση σε κάθε διασταύρωση. Οι συγκολλήσεις θα πληρούν τις προδιαγραφές ASTM Α 185, περιλαμβανομένου και του μικρότερου σύρματος με διάμετρο 3 mm. Επιπλέον οι συγκολλήσεις θα έχουν μέση διατμητική αντοχή στο 70% και ελάχιστη διατμητική αντοχή στο 60% της ελάχιστης εφελκυστικής αντοχής του σύρματος.
Οι συρματόπλεκτοι κλωβοί θα είναι μορφής κιβωτίων (συρματοκιβώτια) ή στρωμάτων (συρματοστρώματα), σύμφωνα με τα σχέδια της μελέτης. Τα συρματοκιβώτια θα έχουν ύψος ελάχιστο 30 cm και μέγιστο 100 cm. Τα συρματοστρώματα θα έχουν ύψος μέγιστο 30 cm και ελάχιστο 15 cm. Τα κιβώτια και τα στρώματα θα κατασκευάζονται με ανοχή στις διαστάσεις τους ± 5% εκτός από το ύψος των στρωμάτων όπου η ανοχή θα είναι ± 10%.
Οι συρματοκλωβοί θα συναρμολογούνται και εγκαθίστανται σύμφωνα με τις οδηγίες του βιομηχανικού κατασκευαστή.
Το σύρμα των συρματοκλωβών θα είναι γαλβανισμένο εν θερμώ. Το σύρμα θα έχει ελάχιστη εφελκυστική αντοχή 420 MPa. To γαλβανισμένο χαλύβδινο σύρμα θα συμμορφώνεται με ASTM Α 641, Class 3, Soft Temper.
Οι σπειροειδείς συνδετήρες θα είναι πρότυποι σύνδεσμοι για ηλεκτροσυγκολλημένα κιβώτια και στρώματα και θα αποτελούνται από σύρμα της ίδιας ποιότητας και πάχους γαλβανίσματος, όπως οι κλωβοί. Εναλλακτικοί συνδετήρες, οι οποίοι μπορεί να χρησιμοποιούνται, όπως συνδετήρες τύπου δακτυλίου, θα κατασκευάζονται από σύρμα με τις ίδιες απαιτήσεις ποιότητας και γαλβανίσματος όπως τα κιβώτια και στρώματα. Στα κιβώτια ή στρώματα με επένδυση PVC, οι συνδετήρες τύπου δακτυλίου θα είναι από ανοξείδωτο χάλυβα ή από σπειροειδείς συνδετήρες με επένδυση PVC. Όλοι οι συνδετήρες θα υπακούουν στις απαιτήσεις του κατασκευαστή συρματοκλωβών.
Οι διαστάσεις του βρόχου και της διαμέτρου του σύρματος και ο αριθμός διαφραγμάτων προσδιορίζονται σύμφωνα με τα υδραυλικά χαρακτηριστικά του έργου που κατασκευάζεται και επιλέγονται κάθε φορά από τους καταλόγους προϊόντων του προμηθευτή.
Η ελάχιστη επένδυση με PVC θα είναι 0,5 mm και του γαλβανίσματος 3 g/cm2.
Η επένδυση του σύρματος θα είναι χρώματος μαύρου, γκρι, πράσινου ή αργυρώδους και οι αρχικές ιδιότητες της επένδυσης PVC θα συμφωνούν με:
| • | ειδικό βάρος: μεταξύ 1,25 και 1,35 της ASTM D 792, |
| • | αντοχή σε τριβή: το ποσοστό της απώλειας βάρους θα να μικρότερο από 12% όταν δοκιμάζεται σύμφωνα με ASTM D 1242, Μέθοδος Β στους 200 κύκλους, CSI - Abrader Tape, 80 Grit, |
| • | θερμοκρασία θρυμματισμού: Μικρότερη από 15° F σύμφωνα με ΑSTM D 746, |
| • | αντοχή σε εφελκυσμό: Για την εξελασσόμενη επένδυση μεγαλύτερη από 21 MPa σύμφωνα με ASTM D 412. Για την επένδυση με σύντηξη μεγαλύτερη από 16 MPa (ASTM D 638), |
| • | μέτρο Ελαστικότητας: Για την εξελασσόμενη επένδυση μεγαλύτερο από 2 700 PSI στο 100% της φόρτισης. Για την επένδυση με σύντηξη μεγαλύτερο από 14 MPa στο 100% της φόρτισης, |
| • | έκθεση σε υπεριώδη ακτινοβολία: δοκιμαστική περίοδος μεγαλύτερη από 3 000 h, με χρήση συσκευής Τύπου Ε στους 63°C σύμφωνα με ΑSTM G 23, |
| • | έλεγχος αντοχής σε άλατα: δοκιμαστική περίοδος μεγαλύτερη από 3 000 h σύμφωνα με ASTM Β 117. |
Οι διαστάσεις των χρησιμοποιούμενων λίθων θα ανταποκρίνονται στις απαιτήσεις του βιομηχανικού κατασκευαστή.