| Συνδεθείτε στην Υπηρεσία Νομοσκόπιο | | | | | Νέοι χρήστες | | Εάν είστε νέος χρήστης, θα πρέπει να δημιουργήσετε ένα ΔΩΡΕΑΝ λογαριασμό προκειμένου να φύγει το παράθυρο αυτό και να αποκτήσετε πλήρη πρόσβαση στην υπηρεσία Νομοσκόπιο. | | Δημιουργία νέου λογαριασμού | | |
Ως οχετοί χαρακτηρίζονται τα τεχνικά έργα γεφυρώσεων συνολικού ανοίγματος LT ≤ 6,00 m.
Ενώ γενικώς οι οχετοί είναι απλές κατασκευές με ένα στόμιο εισόδου και ένα εξόδου, από υδραυλική άποψη χρειάζεται να ανταποκρίνονται σε πολυσύνθετη λειτουργία.
Για τις συνήθεις κατασκευές οχετών χρησιμοποιούνται:
| • | προκατασκευασμένοι τσιμεντοσωλήνες κυκλικής διαμέτρου άοπλου ή οπλισμένου σκυροδέματος αναλόγως με το μέγεθος της διαμέτρου και τα φορτία που θα φέρουν, τοποθετούμενοι απλοί ή πολλαπλοί κατά παράθεση (σε παραλληλία), |
| • | κλειστοί κιβωτοειδείς οχετοί οπλισμένου σκυροδέματος είτε με επιτόπου σκυροδέτηση είτε με προκατασκευασμένα τεμάχια, τοποθετούμενοι με ένα άνοιγμα ή πολλαπλά ανοίγματα, |
| • | άλλου είδους υλικών, όπως π.χ. από γαλβανισμένη χαλύβδινη αυλακωτή λαμαρίνα, σε σχήματα καμπυλών διατομών. Αυτά τα είδη δε συνιστώνται για τις συνθήκες που επικρατούν στη χώρα, από άποψη οικονομίας και κατασκευαστικών αναγκών. |
Ο σχεδιασμός των οχετών περιλαμβάνει τον καθορισμό των εξής στοιχείων:
| • | τη χάραξη, την κλίση, το μήκος της κοίτης, |
| • | τη διαστασιολόγηση, το είδος, τη διαμόρφωση στα στόμια, το ύψος νερού, την ταχύτητα του νερού στην έξοδο, |
| • | το ύψος της κάλυψης και το είδος της, |
| • | την ανάγκη διέλευσης πανίδας, |
| • | την ανάγκη ειδικών διαμορφώσεων των στομίων. |
| • | τη γενικότερη αρχιτεκτονική διαμόρφωση της μορφής της κατασκευής ώστε να ενσωματώνεται στο φυσικό περιβάλλον ανάλογα με την αισθητική του σημαντικότητα. |
Ακόμη για το σχεδιασμό επιβάλλεται να ελέγχονται οι συνέπειες που μπορεί να δημιουργεί η κατασκευή ενός οχετού όπως είναι:
| • | οι ενδεχόμενες ζημίες σε χρήσεις γης και σε κάθε φύσης δίκτυα λόγω του περιορισμού της ελεύθερης ροής που προξενεί υπερύψωση της στάθμης της ροής προς τα ανάντη, ή προς τα κατάντη εξαιτίας της αύξησης της ταχύτητας, της εκτροπής της ροής σε άλλη κατεύθυνση ή τη συγκέντρωση των επιφανειακώς κατανεμημένων ή διάσπαρτων ροών σε μια συγκεκριμένη κατεύθυνση, μέσα σε περιοχή όπου κατάντη της οδού δεν υπάρχει φυσική διαμορφωμένη κοίτη. |
| • | η βλάβη στον ίδιο τον οχετό αλλά και στην οδό, |
| • | η διακοπή της κυκλοφορίας εφόσον κατασκευάζεται σε υφιστάμενη οδό, |
| • | ο κίνδυνος για ανθρώπινες ζωές, κατά τη διάρκεια της κατασκευής, αλλά και κατά την επιθεώρηση, τη συντήρηση και τη λειτουργία υπό πλημμυρική παροχή, |
| • | η διαφοροποίηση του ελεύθερου ύψους πάνω από την ανώτατη στάθμη του νερού, μέσα στην υπάρχουσα ή τεχνητά διαμορφωμένη κοίτη, |
| • | το ύψος της επιφάνειας της κυκλοφορίας της οδού πάνω από τον οχετό ή πάνω από την ανώτατη στάθμη ύδατος για την παροχή μελέτης, |
| • | η στάθμη με την οποία το νερό θα ρέει προς τον επόμενο γειτονικό οχετό, |
| • | η ενδεχόμενη διαταραχή στις χρήσεις του νερού στην περιοχή της κοίτης, η ύπαρξη έργων υδροληψίας (πηγών κ.τ.λ.), αρδευτικών και στραγγιστικών δικτύων ή αποχετευτικών διατάξεων ομβρίων και αντιπλημμυρικών έργων. |
| • | η επιλογή μεταξύ κυκλικών ή ορθογωνικών οχετών θα γίνεται με κριτήρια που έχουν σχέση με: τη θέση του οχετού, αστικό ή υπεραστικό περιβάλλον, το μήκος του οχετού, την επισκεψιμότητα, το διαθέσιμο ύψος κάτω από το οδόστρωμα της οδού μέχρι τη στάθμη του πυθμένα της ροής, το ελεύθερο ύψος πάνω από την ανωτάτη στάθμη της επιφάνειας της ροής, την αναπτυσσόμενη ταχύτητα της ροής και τις λοιπές τοπικές συνθήκες. Η επιλογή της διαμέτρου κυκλικών οχετών μπορεί να γίνεται από τον προηγούμενο Πίνακα 6.1-1. |
1. Βασικές Αρχές και Κανόνες Σχεδιασμού Οχετών
α. Πρέπει να αποφεύγονται κατά το δυνατόν υδραυλικά επικίνδυνες ταπεινώσεις του προς διασταύρωση υδατορέματος. Ομοίως να αποφεύγονται οι τροποποιήσεις των υδραυλικών χαρακτηριστικών της ροής (βάθος και ταχύτητα) στο υδατόρεμα.
β. Δεν πρέπει να προκύπτει υπερύψωση της ελεύθερης επιφάνειας του νερού στα ανάντη του οχετού. Η διατομή του οχετού να εξασφαλίζει ελεύθερη ροή με ελεύθερο περιθώριο (freeboard) για την παροχή σχεδιασμού σύμφωνα με τον Πίνακα 2.4-1.
γ. Κατ' εξαίρεση είναι δυνατόν σε δυσχερείς θέσεις να περιορίζεται ή / και να μηδενίζεται το ελεύθερο περιθώριο μετά από τεκμηριωμένη επιλογή λόγω αδυναμίας εύρεσης διαφορετικής και τεχνικώς εφικτής λύσης.
δ. Η σχεδίαση της κατασκευής των κιβωτοειδών οχετών θα τυποποιείται με ελεύθερα ανοίγματα LW ανά 1,00 m (δηλαδή LW = 1,00, 2,00, 3,00, 4,00, 5,00 και 6,00 1 m.). Για τα ελεύθερα ύψη Lh, εφόσον αυτά τηρούνται σταθερά, θα εφαρμόζεται τυποποίηση ανά βαθμίδες 0,50 m. Σε περιπτώσεις που υπάρχουν περιορισμοί για την εκλογή του κατάλληλου τυποποιημένου ελεύθερου ύψους επιτρέπεται η επιλογή ενδιάμεσων υψών.
1 Τα τεχνικά έργα με LW ≥ 6,00 κατατάσσονται στην κατηγορία των γεφυρών.
Πίνακας 9.1-1: Τυποποιημένες διαστάσεις κιβωτοειδών οχετών (υ x β)
|
Άνοιγμα οχετού
|
(m)
|
2,00
|
3,00
|
4,00
|
5,00
|
6,00
|
Ελεύθερο ύψος οχετού
|
4,00
|
|
|
4 x 4
|
4 x 5
|
4 x 6
|
3,50
|
|
|
3,5 x 4
|
3,5 x 5
|
3,5 x 6
|
3,00
|
|
3 x 3
|
3 x 4
|
3 x 5
|
3 x 6
|
2,50
|
|
2,5 x 3
|
2,5 x 4
|
2,5 x 5
|
2,5 x 6
|
2,00
|
2 x 2
|
2 x 3
|
2 x 4
|
2 x 5
|
2 x 6
|
1,50
|
1,5 x 2
|
1,5 x 3
|
1,5 x 4
|
1,5 x 5
|
1,5 x 6
|
1,00
|
1 x 2
|
|
|
|
|
ε. Οι άξονες εισόδου και εξόδου των οχετών πρέπει πάντοτε να ευρίσκονται στον άξονα της ροής του ρέματος.
στ. Γενικώς είναι επιθυμητό οι οχετοί να σχεδιάζονται για κατασκευή με ευθύγραμμη χάραξη και όχι με γωνίες ή καμπύλες. Επιτρέπεται ο σχεδιασμός καμπύλων οχετών με ελάχιστη ακτίνα οριζοντιογραφικής καμπύλης ίση προς το δεκαπλάσιο του καθαρού ανοίγματος του οχετού. Σε δυσχερείς περιπτώσεις επιτρέπεται η κατασκευή οριζοντίων καμπυλών μικρότερης ακτίνας, ύστερα από λεπτομερή υπολογισμό και κατάλληλη προσομοίωση και μετά από σύμφωνη γνώμη της Υπηρεσίας, στην οποία θα υποβάλλονται οι υπολογισμοί και τα αποτελέσματά τους.
Μετά από υπολογιστικό έλεγχο που θα συνοδεύει τη μελέτη για τις δυνάμεις που αναπτύσσονται στα τοιχώματα από τις απότομες αλλαγές της κατεύθυνσης ροής, επιτρέπεται οι οριζόντιες καμπύλες να υποκαθίστανται με διαδοχικά ευθύγραμμα τμήματα. Όμως, πάντα θα τεκμηριώνεται με υπολογισμούς κάθε τέτοια διαμόρφωση.
Είναι επίσης δυνατό να επιτραπεί ο σχεδιασμός οχετών με τεθλασμένη χάραξη του άξονα (αντί καμπυλών) όταν οι σχηματιζόμενες γωνίες θ περιορίζονται από 160° έως 200°. Επίσης είναι δυνατό να επιτραπεί ο σχεδιασμός οχετών με συνεχόμενες αντίρροπες γωνιές του άξονα εφόσον:
| • | η παροχή είναι ≤ 20 m3/sec, |
| • | η ταχύτητα είναι ≤ 4 m/sec, |
| • | οι διαδοχικές αντίρροπες γωνίες είναι 170° < θ < 190°, |
| • | η απόσταση μεταξύ των διαδοχικών αντίρροπων γωνιών είναι δεκαπλάσια του πλάτους του οχετού, |
| • | το πλάτος του οχετού είναι ≥ 2,50 m. |
ζ. Ο σχεδιασμός του οχετού και των συνοδών έργων προστασίας έναντι διάβρωσης, πρέπει να διασφαλίζει ότι δε θα αναπτύσσονται ταχύτητες υψηλότερες από εκείνες που αντέχει η κοίτη του φυσικού αποδέκτη κατάντη του οχετού. Είναι πολύ σημαντικό να γνωρίζει ο μελετητής τα αναφερόμενα στην παράγραφο 1.2.3.
Ο διπλασιασμός της ταχύτητας του νερού αυξάνει: τη διαβρωτική του ενέργεια κατά τέσσερις φορές, το μέγεθος των σωματιδίων των υλικών που μπορεί να μεταφέρονται κατά 64 φορές, και τη μάζα του εδάφους που μπορεί να μεταφέρεται κατά 32 φορές (Israelson, 1980).
Τα αποτελέσματα της μελέτης, των White & Bayaillian που συσχετίζει το μέγεθος των υλικών της κοίτης φυσικού υδατορέματος με το μέγεθος της ταχύτητας που μπορεί να μεταφέρει αυτά, άρα να προκαλείται διάβρωση, παρατίθενται στον επόμενο Πίνακα 9.1.1-2.
Πίνακας 9.1.1-2: Επιτρεπόμενες ταχύτητες ροής ανάλογα με το μέγεθος υλικών της φυσικής κοίτης ρέματος
Κατηγορία υλικών κοίτης
|
Διάμετρος υλικού
|
Μέση ταχύτητα
|
Γενική
|
Κατά Lehansky
|
(mm)
|
(cm/s)
|
Ιλύς
|
Ιλύς
|
0,005
|
15
|
Άμμος
|
Λεπτόκοκκη
|
0,05
|
20
|
Μέσης διαβάθμισης
|
0,025
|
30
|
Χονδρόκοκκη
|
1,0
|
55
|
Χάλικες
|
Λεπτόκοκκοι
|
2,5
|
65
|
Μέσης διαβάθμισης
|
5,0
|
80
|
Χοντρόκοκκοι
|
10,0
|
100
|
Λεπτά βότσαλα
|
15,0
|
120
|
Μέσου μεγέθους βότσαλα
|
25,0
|
140
|
Χονδρές κροκάλες
|
40,0
|
180
|
Πλακοειδή βότσαλα
|
Μεγάλα
|
75,0
|
240
|
100,0
|
270
|
150,0
|
330
|
Ογκόλιθοι
|
|
200,0
|
390
|
η. Η υδραυλική μελέτη μεμονωμένων οχετών θα πρέπει να εκπονείται κατά προτίμηση μόνο με τη χρήση αξιόπιστου λογισμικού (Σ.Σ. Τέτοιο λογισμικό είναι οι Οχετοί της TechnoLogismiki).
θ. Πρέπει να εξετάζεται η δυνατότητα εξυπηρέτησης των χρήσεων γης, παράλληλα με την αποχετευτική λειτουργία του οχετού. Τα κριτήρια που πρέπει να λαμβάνονται υπόψη είναι:
| • | κατά τη διάρκεια επιλεγόμενου μεγέθους πλημμύρας ο οχετός προσωρινά δεν είναι διελεύσιμος από πεζούς και οχήματα, όμως κατά τη διάρκεια μικρότερου μεγέθους πλημμύρας μπορεί να προσφέρει την εξυπηρέτηση διέλευσης, |
| • | η κατασκευή οχετού με περισσότερα του ενός ανοίγματα, μπορεί να προσφέρει εξυπηρέτηση διέλευσης από το ένα εκ των ανοιγμάτων το οποίο τοποθετείται υψομετρικά κατάλληλα ώστε να παραμένει εκτός της ροής κατά τη διάρκεια του επιλεγόμενου μεγέθους πλημμύρας. Το ίδιο μπορεί να επιτυγχάνεται με διαμόρφωση της κοίτης οχετού ενός ανοίγματος σε δυο επίπεδα με κατάλληλο ελεύθερο πλάτος στο καθένα. |
2. Παραδοχές Υδραυλικών Υπολογισμών
Ο υδραυλικός υπολογισμός των οχετών θα γίνεται για ανομοιόμορφη ροή, συνεκτιμώμενης της υπερύψωσης στις καμπύλες, αλλά και της εισρόφησης αέρα για ταχύτητες μεγαλύτερες των 6 m/s.
Ο υδραυλικός υπολογισμός με ανομοιόμορφη ροή γίνεται:
| • | αναλυτικώς με χρήση αποδεκτών μεθόδων (π.χ. Standard step method ή Direct step method) με επίλυση προς στα ανάντη όταν η ροή είναι υποκρίσιμη ή στα κατάντη όταν η ροή είναι υπερκρίσιμη, |
| • | με τη χρήση ευρύτατα αποδεκτών προγραμμάτων Η/Υ. |
Για την ακρίβεια των υπολογισμών θα πρέπει να καθορίζονται στα δεδομένα οι αρχικές συνθήκες ροής (βάθος - ταχύτητα) και στα αποτελέσματα οι τελικές συνθήκες ροής (βάθος - ταχύτητα).
Ομοίως θα πρέπει να υπεισέρχονται στους υπολογισμούς οι τοπικές συνθήκες με την επιλογή κατάλληλων συντελεστών τραχύτητας (Manning) και απωλειών ενέργειας στα έργα εισόδου και εξόδου.
Όλοι οι υπολογισμοί θα πρέπει να αναφέρονται σε συγκεκριμένες διατομές, κοινές για κάθε επίλυση και διαμόρφωση, οι οποίες θα είναι σε χαρακτηριστικά σημεία της φυσικής κοίτης και της κατασκευής, ώστε να μπορεί να γίνει σύγκριση των υδραυλικών μεγεθών, δηλαδή της στάθμης ροής και της ταχύτητας, πριν και μετά την κατασκευή των έργων.
Στους υπολογισμούς πρέπει να προσομοιώνονται επίσης και τα έργα εισόδου και εξόδου από τον οχετό ώστε να καθορίζεται η μηκοτομή της επιφάνειας του νερού κατά τη διαδρομή του, διαδοχικά από την φυσική κοίτη προς τον οχετό μέσω του έργου εισόδου και στη συνέχεια προς τη φυσική κοίτη μέσω του έργου εξόδου. Ασυνέχειες στη ροή που μπορεί να δημιουργούνται από πτώσεις ή υδραυλικά άλματα στα τμήματα εκτός του οχετού πρέπει να προσδιορίζονται και να προσομοιώνονται καταλλήλως.
Ειδικά για οχετούς με παροχές μικρότερες των 5 m3/s και για κατά μήκος κλίσεις μικρότερες από 5%, ο αναλυτικός υπολογισμός μπορεί να αντικαθίσταται με απλούς ελέγχους οι οποίοι θα εξασφαλίζουν ότι:
| • | εντός του οχετού και των έργων εισόδου-εξόδου δε συμβαίνουν υδραυλικά άλματα, |
| • | η μεταβαλλόμενη ροή περιορίζεται μέσα στον οχετό, |
| • | ο οχετός θα λειτουργεί χωρίς υπερπλήρωση και συνεπώς δεν θα λειτουργεί υπό πίεση, |
| • | θα είναι γνωστές οι ταχύτητες εισόδου και εξόδου αντιστοίχως στην είσοδο και έξοδο του οχετού. |
Για αυτό το λόγο ανάλογα με την κατάσταση της εισερχόμενης ροής πρέπει:
α. Όταν η ροή από το υδατόρεμα έρχεται σε υποκρίσιμη κατάσταση
| • | Για υποκρίσιμη ροή από την είσοδο μέχρι και την έξοδο να ισχύουν οι περιορισμοί: |
Η < Η*
Yt > Yc
| • | Για υποκρίσιμη ροή από την είσοδο και μέσω του οχετού αλλά με υπερκρίσιμη στην έξοδο (έλεγχος στην είσοδο) να ισχύουν οι περιορισμοί: |
Η < Η*
Yt > Yc
| • | Για υπερκρίσιμη ροή από την είσοδο και μέσω του οχετού αλλά με υποκρίσιμη στην έξοδο (έλεγχος στην έξοδο) να ισχύουν οι περιορισμοί: |
Η < Η*
Yt > Yc
όπου:
Η (m): το βάθος ροής ανάντη
Η* (m): 1,5 x d (d είναι το ύψος του οχετού)
Yt (m): το βάθος ροής κατάντη
Yc (m): το κρίσιμο βάθος ροής για την υφιστάμενη κλίση του οχετού
β. Όταν η ροή από το υδατόρεμα έρχεται σε κρίσιμη ή υπερκρίσιμη κατάσταση τότε θα πρέπει να διατηρείται σε όλες τις θέσεις ελέγχου η κατάσταση αυτή ώστε να μη συμβαίνει υδραυλικό άλμα μέσα στον οχετό ή γενικώς στην περιοχή των έργων. Στην περίπτωση αυτή είναι σημαντικό οι ταχύτητες να κυμαίνονται εντός των επιτρεπομένων ορίων και η ροή να έχει την απαραίτητη ενέργεια για να διέλθει από τον οχετό.
| • | στις διατομές εισόδου πρέπει να γίνεται έλεγχος της ενέργειας με τη σχέση: |
(9.2-1)
όπου:
Ε (m): το ύψος της γραμμής ενέργειας
Υ (m): το βάθος ροής
Ζ (m): το απόλυτο υψόμετρο της κοίτης
V (m/s): η ταχύτητα ροής
g (m/s2): η επιτάχυνση της βαρύτητας
Κe (-): ο συντελεστής τοπικών απωλειών εισόδου ο οποίος λαμβάνει τιμή Κe = 1 όταν ο οχετός λειτουργεί με ελεύθερη επιφάνεια και τιμές Κe < 1 σύμφωνα με τα επόμενα σχήματα όταν λειτουργεί υπό πίεση.


Σχήμα 9.2-1: Διαμορφώσεις στομίου εισόδου κιβωτοειδούς οχετού με γωνία πτερυγότοιχων 10° ≤ θ ≤ 25°
| • | με απότμηση της στέψης, Κe=0,20 |

α. με λοξότητα πτερυγότοιχων 90°
| • | με αποτμήσεις στις κατακόρυφες ακμές και στη στέψη, Κe = 0,20 |
| • | με αποτμήσεις μόνο στις κατακόρυφες ακμές, Κe = 0,50 |

β. με λοξότητα πτερυγότοιχων <90° και απότμηση μόνο στη μια κατακόρυφη ακμή και στη στέψη Κe = 0,50
Σχήμα 9.2-2: Διαμορφώσεις στομίου εισόδου κιβωτοειδούς οχετού με μετωπικούς πτερυγότοιχους (παράλληλοι της οδού).

α. χωρίς απότμηση στη στέψη, Κe = 0,40

β. με απότμηση στη στέψη, Κe = 0,20
Σχήμα 9.2-3: Διαμορφώσεις στομίου εισόδου κιβωτοειδούς οχετού με λοξούς πτερυγότοιχους υπό γωνία 30° ≤ θ ≤ 75°. Οι κατακόρυφες ακμές του στομίου στην ίδια θέση με τη θλάση που γίνεται στη στέψη.
Σημείωση: Όταν θ ≤ 30° τότε Κe = 0,06
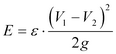
| • | Στις διατομές εξόδου ο έλεγχος θα γίνεται με την εξίσωση: |
(9.2-2)
όπου:
ε (-): ο συντελεστής απωλειών εξόδου και
V1 (m/s): η ταχύτητα ροής στα ανάντη
V2 (m/s): η ταχύτητα ροής στα κατάντη
g (m/s2): η επιτάχυνση της βαρύτητας
Ο συντελεστής τοπικών απωλειών εξόδου μπορεί να προσδιοριστεί από κάθε πρόσφορη πηγή ή απουσία αυτής από τον ακόλουθο πίνακα και με κατάλληλη παρεμβολή τιμών για ενδιάμεσες γωνίες πτερυγότοιχων.
Οχετός με έξοδο χωρίς πτερυγότοιχους
|
ε=0,82
|
Οχετός με πτερυγότοιχους εξόδου υπό γωνία θ = 45° (1/1)
|
ε=0,87
|
Οχετός με πτερυγότοιχους εξόδου υπό γωνία θ = 26° (1/2)
|
ε=0,68
|
Οχετός με πτερυγότοιχους εξόδου υπό γωνία θ = 18° (1/3)
|
ε=0,41
|
Οχετός με πτερυγότοιχους εξόδου υπό γωνία θ = 14° (1/4)
|
ε=0,27
|
Συνιστάται η γωνία θ των πτερυγότοιχων να σχεδιάζεται με τη σχέση:
(9.2-3)
όπου:
Fr (-): ο αριθμός Froude στο στόμιο του οχετού
γ. Στις προηγούμενες περιπτώσεις (α και β) για το σχεδιασμό των έργων εισόδου και εξόδου και τον καθορισμό του μήκους της μεταβαλλόμενης ροής θα πρέπει να γίνεται χρήση των εξισώσεων:
(9.2-4)
(9.2-5)
όπου:
ΔX (m): το μήκος μεταξύ των ελεγχομένων διατομών
ΔE (m): η διαφορά στις στάθμες της γραμμής ενέργειας
S0 (m/m): η κλίση του πυθμένα
Sf (m/m): η κλίση από τις απώλειες τριβής
n (s/m 1/3): ο συντελεστής Manning
V (m/s): η ταχύτητα ροής
R (m): η υδραυλική ακτίνα
δ. Όταν η κατά μήκος κλίση του οχετού υπερβαίνει την τιμή 10% τότε θα πρέπει να διατάσσονται αναβαθμοί σε αποστάσεις μεγαλύτερες από 5 m, με μέγιστο ύψος 0,50 m ώστε να διατηρείται η ταχύτητα στα επιτρεπόμενα όρια.
Εάν δεν είναι δυνατός ο έλεγχος της ροής με την διάταξη αναβαθμών τότε ο σχεδιασμός του οχετού θα γίνεται με την διάταξη συνεχών βαθμίδων (cascades) αλλά με μηδενική κλίση πατημάτων σύμφωνα με τα όσα αναφέρονται στο τεύχος The hydraulic design of stepped spillways CIRIA REPORT 33.
Η κατασκευή της κοίτης του οχετού με αναβαθμούς θα πρέπει να είναι η εναλλακτική λύση τελευταίας επιλογής. Δηλαδή θα πρέπει να εξαντλείται η διερεύνηση άλλων λύσεων π.χ. το στόμιο εξόδου να τοποθετείται ψηλότερα από το έδαφος της φυσικής κοίτης του ρέματος και να κατασκευάζεται κατάλληλη λεκάνη με λιθορριπή για την υποδοχή της πτώσης της ροής, ή/και να εκβαθύνεται η θέση του στομίου εισόδου. Τέτοιες εναλλακτικές λύσεις βρίσκουν εφαρμογή κυρίως σε μικρού ανοίγματος οχετούς, όπου συνήθως τα απαιτούμενα μέτρα είναι δόκιμα, χωρίς να δημιουργούνται κίνδυνοι για το σώμα της οδού, από τη διαβρωτική ενέργεια της ροής. Κάθε εναλλακτική λύση πρέπει να αξιολογείται από την εφικτότητα της, τις δυνατότητες ή τα εμπόδια που δημιουργεί στη συντήρηση του οχετού (καθορισμός από φερτά) και τους κινδύνους στους οποίους εκτίθεται το σώμα της οδού και του οχετού. Ακόμη πρέπει να λαμβάνεται υπόψη ότι ο κίνδυνος φθοράς στην κοίτη ενός οχετού είναι μεγαλύτερος από την πτώση (στις θέσεις αναβαθμών) των φερτών υλικών και μικρότερος από υψηλές ταχύτητες του νερού. Επομένως πρέπει να συνεκτιμώνται τα όποια μέτρα σε σχέση με τα μεγέθη των φερτών υλικών που μεταφέρει η ροή και αντιστοίχως να σχεδιάζονται πρόσθετα μέτρα π.χ. λεκάνες κατακράτησης στερεοπαροχής.
ε. Για την περίπτωση που η κλίση υπερβαίνει την τιμή 12% και οι αναπτυσσόμενες ταχύτητες είναι >7 m/s θα πρέπει να ελέγχεται εάν η ροή είναι εντός των παραδοχών ισχύος της γραμμικής κατανομής των πιέσεων στη διατομή της ροής (μη μόνιμη ροή).
στ. Επίσης θα πρέπει σε οποιοδήποτε βήμα των υπολογισμών ή έλεγχο να υπολογίζεται ο αριθμός Froude και να εμφανίζεται στους πίνακες υπολογισμών ώστε να φαίνεται η κατάσταση της ροής.
Ειδική περίπτωση έργου εισόδου αποτελούν τα προωθημένα φρεάτια πτώσης. Τα φρεάτια αυτά δεν πρέπει να έχουν κατακόρυφα πλευρικά τοιχία μεγάλου ύψους και το μέγιστο ύψος αυτών θα πρέπει να είναι ίσο τουλάχιστον με 1,5 φορά το ύψος του οχετού και το πολύ ≤3 m. Σε αντίθετη περίπτωση θα πρέπει να σχεδιάζονται ειδικές διατάξεις προστασίας από πτώση ατόμων ή μεγάλων ζώων ή να σχεδιάζονται τα τοιχία βαθμιδωτά ή με κλίση υ:β=1:2 οπότε εγκαθίσταται και διάταξη κλίμακας πλάτους 80 cm.
Κατά τους υδραυλικούς υπολογισμούς οχετών σε περιοχές με περιβαλλοντικά προβλήματα και για παροχές μεγαλύτερες των 50 m3/s επιβάλλεται να γίνεται συνεκτίμηση του όγκου της στερεοπαροχής αλλά και η επίλυση του προβλήματος από τη στερεοπαροχή με αποδεκτές μεθόδους (π.χ. σχέση Φ=f(ψ), Einstein).
Σε περίπτωση οχετών ανοίγματος LW > 2 m συνιστάται να γίνεται διαμόρφωση του οχετού με αμετάβλητη τη μέση υγρά διατομή.
Διεύρυνση της διατομής της ροής στη θέση του οχετού σε σχέση με τη διατομή του υδατορέματος πρέπει να αποφεύγεται γιατί παρουσιάζονται κίνδυνοι αποθέσεων.
Ο πυθμένας των σωληνωτών οχετών πρέπει να ευρίσκεται κάτω από τον πυθμένα του υδατορέματος κατά το 1/10 του ονομαστικού ανοίγματος ή τουλάχιστον 10 cm Συμφώνως με το DIN 19661, blatt 1.
Τα στόμια των οχετών πρέπει να προστατεύονται με κατάλληλο τρόπο π.χ. με λιθορριπές, λιθοστρώσεις και ενδεχομένως με στρώση σκυροδέματος κατάλληλα αγκυρωμένη με χαλινούς.
3. Διαμόρφωση Έργων Εξόδου
Τα έργα εξόδου των οχετών σχεδιάζονται έτσι ώστε να σταθεροποιούν και προστατεύουν την κοίτη από τη διάβρωση. Αυτό σημαίνει ότι η ροή μετά τη διέλευση της από το έργο εξόδου θα αποκτήσει χαρακτηριστικά ίδια με αυτά που είχε πριν από την κατασκευή του οχετού. Για να επιτευχθεί αυτό θα πρέπει να σχεδιαστούν έργα θραύσης της ενέργειας όπως λεκάνες ηρεμίας, αναβαθμοί (πτώσεις), και λιθορριπές. Σε περίπτωση κατασκευής πολλών οχετών σε μια περιοχή, τα έργα εξόδου θα πρέπει να ομαδοποιηθούν ώστε η κατασκευή να αντιμετωπίσει αυτά τα έργα με ενιαία τυποποίηση με σκοπό τη βελτιστοποίηση του κόστους.
Σε περίπτωση οχετών με περισσότερα ανοίγματα (δίδυμοι, τρίδυμοι κ.τ.λ.) θα πρέπει να γίνεται ο σχεδιασμός του μεσαίου τοιχείου με στρογγύλευση των ακμών του ώστε να μην παρουσιάζει σημαντική αντίσταση στη ροή.
Η κλίση των πρανών του έργου, με βάση την οποία γίνεται η διαμόρφωση των πτερυγότοιχων στα στόμια των οχετών, θα είναι πάντα υ:β ≤ 1:1,5. Είναι επιθυμητό σε ύψος τουλάχιστον 1 m πάνω από τον οχετό να εφαρμόζεται κλίση πρανών υ:β = 1:2.
4. Σύνδεση Αποχετευτικών Συστημάτων με Οχετούς
Οι συλλεκτήριοι αγωγοί (σωληνωτοί ή τάφροι) των ομβρίων επιτρέπεται να εκβάλουν μόνο μέσω φρεατίου στο σώμα οχετού επειδή:
| • | η διαφορετική ακαμψία μεταξύ αγωγών και οχετού ενδεχομένως να προκαλέσει θραύση στην ένωσή τους και να διηθείται το νερό προς το επίχωμα, |
| • | η εκβολή αγωγού εντός οχετού ενδεχομένως δημιουργεί προϋπόθεση κατά την πλημμυρική παροχή να αντιστραφεί η κατεύθυνση ροής εντός του αγωγού, |
| • | η ελεύθερη πτώση των νερών από τον αγωγό εντός του οχετού δημιουργεί κίνδυνο διάβρωσης του πυθμένα του οχετού, |
| • | σε περίπτωση ανάγκης λήψης μέτρων για τον έλεγχο ρύπανσης δεν είναι δυνατός ο περιορισμός της εισόδου των νερών του αγωγού μέσα στον οχετό. |
5. Ιρλανδικές Γέφυρες (διαβάσεις οδών επί της κοίτης υδατορεμάτων)
Γενικώς δεν επιτρέπεται η χωρίς αιτιολόγηση κατασκευή διάβασης οδού σε υδατόρεμα με διαμόρφωση του οδοστρώματος ως βαθιάς γραμμής υπό μορφή Ιρλανδικών γεφυρών.
Κατ' εξαίρεση σε εντελώς περιορισμένης σημασίας οδούς είναι δυνατόν να υιοθετηθούν στη μελέτη Ιρλανδικές γέφυρες, με πλήρη αιτιολόγηση.
Στην περίπτωση αυτή ο σχεδιασμός πρέπει να εξασφαλίζει ότι:
| • | το μέγιστο βάθος ροής για παροχή πενταετίας πάνω από την ερυθρά της οδού, σε οποιοδήποτε σημείο της δε θα υπερβαίνει τα 25 cm, |
| • | η ταχύτητα ροής του υδατορέματος πάνω στην οδό θα είναι ≤ 2 m/s, οι διαβρώσεις σε εξέλιξη στα ανάντη ή κατάντη της διάβασης που οδηγούν προοδευτικά σε υποσκαφές, δε θα προξενήσουν κατάρρευση του οδοστρώματος κατά τη διάρκεια της ροής ή και μετά από αυτή. Για αυτό το λόγο θα πρέπει να διατάσσονται ισχυροί χαλινοί στα εκατέρωθεν άκρα της διάβασης. H ακαμψία των χαλινών θα εξασφαλίζεται με την ισχυρή πάκτωσή τους στις όχθες και με εγκάρσιες συνδετήριες δοκούς σε αποστάσεις διπλάσιες του πλάτους της διάβασης αλλά ≤ 15 m. |
6. Ανεστραμμένοι Σίφωνες
Είναι τεχνικά έργα που οδηγούν υπό πίεση ένα υδατόρεμα κάτω από την οδό που βρίσκεται σε όρυγμα ή κάτω από ένα εμπόδιο που βρίσκεται σε κάποιο βάθος. Γενικώς δεν προβλέπεται η δυνατότητα κατασκευής ανεστραμμένων σιφώνων ομβρίων. Στην περίπτωση που γίνουν δεκτοί ανεστραμμένοι σίφωνες, ύστερα από σύμφωνη γνώμη της Υπηρεσίας, θα πρέπει αυτοί να σχεδιαστούν καταλλήλως με πρόβλεψη όλων των αναγκαίων μέτρων για τη σωστή λειτουργία τους. Στην είσοδο του σίφωνα σχεδιάζεται η τοποθέτηση πλέγματος συγκράτησης φερτών, η κατασκευή φρεατίου συγκράτησης με παγίδα ιλύος και ενδεχομένως εγκατάσταση αναρροφητικής αντλίας στο βαθύτερο σημείο του ανερχόμενου τμήματος εκροής. Η προσαγωγός τάφρος σχεδιάζεται με κλίση υ:β=1:3 και η απαγωγός με κλίση υ:β=1:5. Ο συντελεστής απώλειας φορτίου εισόδου λαμβάνεται ίσος με Κe=0,5.
7. Προστασία Κοίτης Οχετού Έναντι Διάβρωσης Λόγω Ταχύτητας Ροής
Η προστασία της κοίτης οχετών με υψηλές ταχύτητες ροής επιβάλλει την κατασκευή από αντίστοιχης κατηγορίας ποιότητα σκυροδέματος που μπορεί να αντιστέκεται στη διάβρωση ανάλογα με την αναμενόμενη μέγιστη ταχύτητα ροής (βλέπε Πίνακα 9.7-1).
Πίνακας 9.7-1: Κατηγορίες ποιότητας σκυροδέματος για μέγιστες ταχύτητες ροής
Ταχύτητα (m/s)
|
V ≤ 5
|
5 < V ≤ 6
|
6 < V ≤ 8
|
8 < V ≤ 9,5
|
9,5 < V ≤ 11
|
Κατηγορία σκυροδέματος
|
C8/10
|
C12/15
|
C20/25
|
C30/37
|
C35/45
|
8. Κριτήρια Ελέγχου Επιπτώσεων Αποχετευτικού Συστήματος Οδών σε Παρόδιες Χρήσης Γης
Οι κίνδυνοι που δημιουργούνται από τη συγκεντρωμένη ροή του αποχετευτικού συστήματος οδών (κυρίως των αυτοκινητοδρόμων), σε μη φυσικούς ή σε ανεπαρκούς παροχετευτικής ικανότητας φυσικούς αποδέκτες, πρέπει να αντιμετωπίζεται κατά τη μελέτη. Για αυτό το σκοπό παρατίθεται ένας κατάλογος ερωτημάτων που υποβοηθά στον έλεγχο για την αντιμετώπιση των υπόψη κινδύνων (βλέπε Πίνακα 9.8-1).
Πίνακας 9.8-1: Κριτήρια ελέγχου κινδύνων από το σχεδιασμό αποχετευτικού δικτύου
#
|
Κριτήρια
|
Ναι
|
Όχι
|
Παρατηρήσεις
|
1
|
Έχουν τοποθετηθεί οχετοί σε όλες τις μισγάγγειες;
|
|
|
|
2
|
Έγινε αποκοπή και / ή εκτροπή της ροής σε άλλη θέση χωρίς έλεγχο και κατάλληλα έργα;
|
|
|
|
3
|
Η διαστασιολόγηση των οχετών έχει προκύψει από μελέτη που διασφαλίζει πλήρως τη διέλευση παροχής σχεδιασμού;
|
|
|
|
4
|
Έχει ελεγχθεί τι θα συμβεί σε πολύ μεγάλο πλημμυρικό επεισόδιο π.χ. εκατονταετίας, μήπως θα προκληθεί εκτροπή με σημαντικές ζημίες στο περιβάλλον της οδού;
|
|
|
|
5
|
Η στατική κατασκευή των οχετών είναι επαρκής ώστε αυτοί να αντέχουν σε αναπτυσσόμενες υδραυλικές δυνάμεις;
|
|
|
|
6
|
Η οδός έχει περιορίσει την υφιστάμενη κοίτη ρέματος και έχει γίνει στην περίπτωση αυτή έλεγχος επάρκειας στη νέα διαμόρφωση;
|
|
|
|
7
|
Η υφιστάμενη πριν το έργο δίαιτα ροής είναι σταθερή ή δεν έχει επικρατήσει ακόμη ισορροπία και συνεπώς η κοίτη μεταβάλλεται οριζοντιογραφικά και / ή υψομετρικά;
Ο σχεδιασμός των οχετών θα μεταβάλλει τη δίαιτα της ροής με συνέπεια να επιταχυνθεί ή να αποσταθεροποιηθεί ο φυσικός ρυθμός μεταβολής της κοίτης υψομετρικά και οριζοντιογραφικά;
|
|
|
|
8
|
Έχει ελεγχθεί η περιβαλλοντική αποδοχή τυχόν υπερβολικά εκτεταμένων έργων που δημιουργούν σημαντική διαταραχή σε φυσικές κοίτες;
|
|
|
|