Οδηγία Μελετών Οδικών Έργων (ΟΜΟΕ) 12 - Άρθρο 8

Κεφάλαιο 8: Υπόγεια αποστράγγιση


Συνδεθείτε στην Υπηρεσία Νομοσκόπιο
Είσοδος στην υπηρεσία Νομοσκόπιο.
   
Χρήστης
Κωδικός
  Υπενθύμιση στοιχείων λογαριασμού
   
 
Νέοι χρήστες
Εάν είστε νέος χρήστης, θα πρέπει να δημιουργήσετε ένα ΔΩΡΕΑΝ λογαριασμό προκειμένου να φύγει το παράθυρο αυτό και να αποκτήσετε πλήρη πρόσβαση στην υπηρεσία Νομοσκόπιο.
Δημιουργία νέου λογαριασμού

 

 

1. Γενικά

 

1.1. Εισαγωγή

Μια κύρια αιτία πρόωρης αστοχίας του οδοστρώματος είναι ο κορεσμός με υγρασία των υλικών της δομικής διατομής ή των υποκείμενων στρώσεων αυτού. Επιπροσθέτως η κατάσταση κορεσμού μπορεί να οδηγεί σε ανεπιθύμητη διήθηση στο σύστημα αποστράγγισης και κάτω από την επίδραση των σεισμικών δυνάμεων ορισμένα είδη εδάφους μπορεί να υποστούν το φαινόμενο της ρευστοποίησης.

 

Συχνά απαιτούνται λύσεις σε προβλήματα υπόγειας αποστράγγισης για τις οποίες χρειάζεται η γνώση της γεωλογίας και της εφαρμοσμένης εδαφομηχανικής. Τέτοιες περιπτώσεις συμβαίνουν σε βαθιά ορύγματα που κατέρχονται σε βάθος κάτω από τον υπόγειο υδροφόρο ορίζοντα. Με αυτή τη θεώρηση γίνεται αντιληπτό ότι έχει ιδιαίτερη σημασία ο προσδιορισμός της μεταβολής της στάθμης του υδροφόρου ορίζοντα π.χ. κατά τις υγρές περιόδους που συμβαίνουν μετά από μακροχρόνια ξηρασία. Αυτά τα θέματα πρέπει αν απασχολούν ιδιαιτέρως το μελετητή στις θέσεις σηράγγων, βάθρων γεφυρών κ.τ.λ.

 

Η βάση για τη μελέτη της υπόγειας αποστράγγισης είναι η γεωλογική / γεωτεχνική έρευνα και οι συστάσεις που απ' αυτήν προκύπτουν.

 

Υπάρχουν πολλές παράμετροι και αβεβαιότητες ως προς τις πραγματικές εδαφικές συνθήκες. Γενικώς, όσο περισσότερο προφανή μπορεί να είναι, κατά το στάδιο της μελέτης, τα προβλήματα υπόγειας αποστράγγισης που αναμένονται, τόσο λιγότερο προφανή συχνά είναι τα προβλήματα που ανακαλύπτονται κατά την κατασκευή. Μπορεί να απαιτείται εκτεταμένο πρόγραμμα ερευνών και αναδρομή στη βιβλιογραφία για τον προσδιορισμό των παραμέτρων με εύλογη ακρίβεια.

 

1.2. Παροχή υπόγειου ορίζοντα

 

Ο υπόγειος υδροφόρος ορίζοντας, που διαφέρει από το νερό του φαινομένου των τριχοειδών, είναι ελεύθερο νερό που συναντάται σε μια κορεσμένη ζώνη κάτω από την εδαφική επιφάνεια. Η υπόγεια παροχή, ο ρυθμός με τον οποίο ο υδροφόρος ορίζοντας και τα διηθούμενα νερά μπορεί να απομακρύνονται εξαρτώνται από το ενεργό υδραυλικό ύψος και την υδροπερατότητα, το βάθος, την κλίση, το πάχος και την έκταση του υδροφόρου σχηματισμού. Αυτή η παροχή μπορεί να προσδιοριστεί με αναλυτικές μεθόδους. Όμως τέτοιες μέθοδοι συχνά αποδεικνύονται πολύ κοπιώδεις και μη ικανοποιητικές, ενώ οι έρευνες πεδίου παράγουν καλύτερα αποτελέσματα.

 

1.3. Προκαταρκτικές έρευνες

 

Οι έρευνες πεδίου μπορεί να περιλαμβάνουν:

 

Μελέτες γεωλογικές και γεωφυσικές.
Γεωτρήσεις, σκάμματα, ή τάφρους για την εύρεση της στάθμης, του βάθους και της έκτασης του υδροφόρου στρώματος.
Επιθεώρηση των γειτονικών πρανών υφισταμένων ορυγμάτων.
Μέτρηση της παροχής του υπόγειου ορίζοντα.

 

Οι προκαταρκτικές έρευνες θα πρέπει να είναι όσο το δυνατό ακριβείς και πλήρεις, αναγνωρίζοντας ότι περαιτέρω πληροφορία μερικές φορές αποκαλύπτεται κατά τη διάρκεια της κατασκευής. Όπου μια υφιστάμενη οδός αποτελεί μέρος του προς εκτέλεση έργου, η παρουσία και προέλευση του υδροφόρου ορίζοντα, συχνά είναι γνωστές και εύκολα ανιχνεύσιμες. Για τα θέματα ευστάθειας των πρανών και άλλων προβλημάτων ίσης σημασίας, απαιτείται μια εκτεταμένη γνώση των συνθηκών του υπεδάφους.

 

1.4. Επισημάνσεις για τις έρευνες

 

Γενικώς, οι έρευνες θα πρέπει να εκτελούνται στη διάρκεια της εποχής των βροχών ή μετά από τη τήξη των χιονιών σε περιοχές που είναι γνωστό ότι δέχονται συχνά χιονοπτώσεις. Εξαίρεση αποτελεί η περίπτωση όπου οι εκροές νερών προέρχονται από την άρδευση.

 

Οι δυσκολίες για το υπόγειο ορίζοντα συχνά προκύπτουν από τα νερά που εγκλωβίζονται σε αδιαπέραστα στρώματα σε αρκετή απόσταση πάνω από τον πραγματικό υπόγειο ορίζοντα. Τα προβλήματα εγκλωβισμένων νερών συχνά μπορεί να επιλύονται με οριζόντια στραγγιστήρια.

 

Τα πηγάδια άντλησης νερού συχνά δίνουν αναξιόπιστες ενδείξεις για τον υπόγειο ορίζοντα και αυτές θα πρέπει να χρησιμοποιούνται με προσοχή.

 

1.5. Κατηγορίες συστήματος

 

Σε συνάρτηση με το σκοπό και την πολυπλοκότητα του προβλήματος μια κατάλληλη λύση μπορεί να απαιτεί την εγκατάσταση ενός συνδυασμού διαφορετικών ειδών συστημάτων στράγγισης. Συνήθως το είδος του συστήματος στράγγισης αρχικώς θεωρείται ότι είναι το υπόγειο στραγγιστήριο.

 

Το στραγγιστήριο αποτελείται από διάτρητο σωλήνα τοποθετούμενο κοντά στον πυθμένα στενού σκάμματος μέσα σε υδροπερατό υλικό το οποίο περιβάλλεται με γαιοΰφασμα το οποίο επιτρέπει τη διήθηση.

 

Τα γαλλικά στραγγιστήρια έχουν αποδειχθεί ως αναξιόπιστα. Το γαλλικό στραγγιστήριο αποτελείται από ένα σκάμμα που διανοίγεται και επανεπιχώνεται με βραχώδες υλικό. Αυτά δε θα πρέπει να χρησιμοποιούνται όπου απαιτείται μια μόνιμη λύση. Εξαίρεση μπορεί να αποτελούν οι περιπτώσεις κατά τις οποίες το βάθος του στραγγιστηρίου και οι εδαφικές συνθήκες συγκρούονται με κανονισμούς ασφαλείας. Κάτω από τέτοιες περιπτώσεις μπορεί να χρησιμοποιείται η επανεπίχωση με υδροπερατό υλικό που περιβάλλεται με γαιοΰφασμα, χωρίς διάτρητο σωλήνα.

 

Επιπλέον από τα υπόγεια στραγγιστήρια, οι ακόλουθες ειδικές κατηγορίες στραγγιστηρίων χρησιμοποιούνται για να διακόπτουν, συλλέγουν και αποχετεύουν το υπόγειο νερό.

 

Πλευρικά στραγγιστήρια σε οδοστρώματα. Τέτοια στραγγιστήρια συστήματα κυρίως σχεδιάζονται για την ταχεία απομάκρυνση των διηθούμενων νερών δια των στρώσεων της οδοστρωσίας. Αυτά συντίθεται από διάτρητους σωλήνες εγκιβωτισμένους σε υδροπερατό υλικό που περιβάλλεται με γαιοΰφασμα (βλέπε παράγραφο 3)
Οριζόντια στραγγιστήρια. Τα οριζόντια στραγγιστήρια είναι σωλήνες με οπές ή σχισμές διαμέτρου 40 cm που τοποθετούνται σε διανοιγμένες οπές εντός του υδροφόρου σχηματισμού. Αυτά εγκαθίστανται σε πρανή ορυγμάτων και κάτω από επιχώματα με σκοπό να προφυλάσσουν περισσότερο την κατασκευή από θραύση, ανακουφίζοντας την υδροστατική πίεση, παρά να εμποδίζουν τον κορεσμό των εδαφικών στρώσεων κάτω από το οδόστρωμα. Αυτά μπορεί να χρησιμοποιούνται σε ποικίλα μήκη μέχρι 300 m σε κλίσεις που κυμαίνονται από 0 έως 25%. Γενικώς επίσης απαιτείται ένα σύστημα συλλεκτήρων για να απομακρύνουν το στραγγιζόμενο νερό από την περιοχή.
Έτοιμα γαιοσυνθετικά στραγγιστήρια. Αυτά διατίθενται σε φύλλα ή ρολά και παρέχουν μια οικονομικά αποτελεσματική λύση για την υπόγεια στράγγιση πίσω από βάθρα γεφυρών, πτερυγότοιχους και τοίχους αντιστήριξης. Αυτά τα στραγγιστήρια αποτελούνται από ένα πλαστικό πυρήνα στράγγισης που καλύπτεται από τη μία ή από τις δυο πλευρές με διηθητικό γαιοΰφασμα.
Σκάμματα σταθεροποίησης. Αυτή η κατηγορία συστημάτων υπόγειας στράγγισης κατασκευάζεται σε αβαθείς συγκεντρώσεις νερών, ρέματα και κάτω από τις πλευρές επιχωμάτων για να σταθεροποιήσουν θεμελιώσεις. Αυτά τα σκάμματα μπορεί να είναι μόνο τόσο μικρού πλάτους όσο ο κάδος του εκσκαφέα ή μπορεί να είναι αρκετά πλατιά για τη μετακίνηση των γαιών από μεγάλους εκσκαφείς. Συνήθως χρησιμοποιείται μια κλίση 1:1 στα πρανή. Τα σκάμματα περιλαμβανομένων και των παρειών τους καλύπτονται με μια παχιά στρώση από υδροπερατό υλικό. Ένας ή περισσότεροι διάτρητοι σωλήνες, συνήθως διαμέτρου 200 έως 300 mm, τοποθετούνται στον πυθμένα του σκάμματος ανάλογα με την ποσότητα του υπόγειου νερού, το είδος του υλικού, καθώς και την επιφάνεια προς σταθεροποίηση. Η χάραξη των σκαμμάτων και των συλλεκτήριων σωλήνων συνήθως είναι παράλληλη με τη χάραξη της οδού. Για καλύτερο σχεδιασμό, υπό ορισμένες συνθήκες, η χάραξη των σκαμμάτων μπορεί να είναι υπό κλίση ως προς τη χάραξη της οδού ή τα σκάμματα να σχηματίζουν διάταξη ψαροκόκαλου. Συνιστάται η επένδυση των σκαμμάτων με διηθητικά γαιοϋφάσματα. Το σύνηθες πάχος ενός μέτρου ή περισσότερο του υδροπερατού υλικού μπορεί να μειώνεται και μια ολιγότερο δαπανηρή διαβάθμιση μπορεί να προδιαγράφεται εφόσον χρησιμοποιείται ένα διηθητικό γαιοΰφασμα.
Φρεάτια στράγγισης. Τα φρεάτια στράγγισης αποτελούνται από μια ή πολλές σειρές πηγαδιών διαμέτρου 900 έως 1200 mm, που τοποθετούνται σε μικρές αποστάσεις μεταξύ τους, οι οποίες διανοίγονται με γεωτρύπανα μέχρι το απαιτούμενο βάθος για τη διακοπή του υδροφόρου ορίζοντα. Αυτές αποτελούν μια εναλλακτική των σκαμμάτων σταθεροποίησης και μπορεί να προσφέρουν μια πιο αποτελεσματική οικονομικώς λύση υπό ορισμένες συνθήκες. Τα φρεάτια στράγγισης είναι μια επιλέξιμη λύση όπου το βάθος του υπόγειου ορίζοντα υπερβαίνει τα οικονομικά ή πρακτικά όρια για ανοικτή εκσκαφή. Επειδή υπάρχει πιθανότητα ύπαρξης έγκοιλων ή κατολισθήσεων η διάνοιξη σκαμμάτων μπορεί να μην είναι πρακτική. Ο πυθμένας των διατρηόμενων πηγαδιών θα πρέπει να διασυνδέεται και ένας κατάλληλος συλλεκτήρας και σύστημα εκτόνωσης θα πρέπει να κατασκευάζεται. Τα πηγάδια επανεπιχώνονται με υδροπερατό υλικό. Η γεωτεχνική μελέτη θα πρέπει να προσδιορίζει τις συνιστώμενες αποστάσεις μεταξύ των πηγαδιών και το βάθος αυτών.

 

2. Σωληνωτά Στραγγιστήρια

 

2.1. Γενικά

 

Για τα στραγγιστήρια χρησιμοποιούνται διάτρητοι σωλήνες. Αυτά τα συστήματα αποτελούνται από διάτρητους σωλήνες διαμέτρου 150 έως 200 mm που τοποθετούνται στη βάση στενού σκάμματος. Τα τοιχώματα του σκάμματος συνήθως περιβάλλονται με γαιοΰφασμα και το σκάμμα επανεπιχώνεται με υδροπερατό υλικό γύρω από το σωλήνα.

 

2.2. Μονοσωλήνιες εγκαταστάσεις στραγγιστηρίων

 

Στραγγιστήρια με ένα μόνο σωλήνα συνήθως χρησιμοποιούνται στις περιπτώσεις:

 

Κατά μήκος του ποδός πρανούς ορύγματος προκειμένου να διακόπτονται τα αναβλύσματα νερών όταν δεν αποτελεί πρόβλημα η ευστάθεια του πρανούς.
Κατά μήκος του ποδός επιχώματος που βρίσκεται στην πλευρά της προέλευσης του υπόγειου ορίζοντα.
Εγκαρσίως της οδού στην κατεύθυνση της κατωφέρειας όπου η κατασκευή της από όρυγμα γίνεται επίχωμα.

 

2.3. Πολυσωλήνιες εγκαταστάσεις στραγγιστηρίων

 

Πολυσωλήνια συστήματα στραγγιστηρίων μπορεί να χρησιμοποιούνται σε σχήμα ψαροκόκαλου ή σε άλλα αποτελεσματικά σχήματα σε περιπτώσεις όπως είναι:

 

Κάτω από την κατασκευή της οδού όταν απαιτείται στρώση στράγγισης.
Η σταθεροποίηση περιοχών έδρασης των επιχωμάτων.

 

Το βάθος και τα διαστήματα τοποθέτησης πολυσωλήνιων στραγγιστηρίων επιλέγονται από τον Πίνακα 8.2.3-1.

 

Πίνακας 8.2.3-1: Συνιστώμενα βάθη και αποστάσεις σωλήνων στραγγιστηρίων.

#

Κατηγορία εδάφους

Σύνθεση εδάφους

Αποστάσεις σωλήνων (m)

Ποσοστό %

Βάθος (m)

άμμος

ιλύς

Άργιλος

1,00

1,25

1,50

1,75

1

Καθαρή άμμος

80-100

0-20

0-20

35-45

45-60

-

-

2

Αμμώδες έδαφος

50-80

0-50

0-20

15-30

30-45

-

-

3

Γαιώδη οργανικά

30-50

30-50

0-20

9-18

12-24

15-30

18-36

4

Αργιλώδες έδαφος

20-50

20-50

20-30

6-12

8-15

9-18

12-24

5

Αμμοάργιλοι

50-70

0-20

30-50

4-9

6-12

8-15

9-18

6

Αργιλοιλυώδη

0-20

50-70

30-50

3-8

4-9

6-12

8-15

7

Άργιλοι

0-50

0-50

30-100

4 (max)

6 (max)

8 (max)

12 (max)

 

2.4. Κριτήρια σχεδιασμού

 

Μέγεθος και μήκος. Για μήκος σωλήνων 150 m ή λιγότερο χρησιμοποιούνται σωλήνες διαμέτρου 150 mm. Στα περισσότερα εδάφη, ως κανόνας εφαρμόζεται αυτή η διάμετρος για συλλεκτήριες και πλευρικά στραγγιστήρια. Για μήκη μεγαλύτερα από 150 m εφαρμόζεται ως ελάχιστη διάμετρος 200 mm.
Επιφανειακή απορροή. Θα πρέπει να εμποδίζεται η επιβάρυνση των υπογείων συστημάτων στραγγιστηρίων με την επιφανειακή απορροή.
Έξοδοι. Οι έξοδοι των στραγγιστηρίων θα πρέπει να τοποθετούνται ανά αποστάσεις ≤300 m. Τα συστήματα στραγγιστηρίων θα πρέπει να σχεδιάζονται ώστε να εκτονώνονται κατευθείαν σε υπονόμους ή οχετούς εφόσον το στόμιο εξόδου δεν υπόκειται σε υδροστατικές πιέσεις που θα μπορούσαν να προκαλέσουν ζημία από την ανάστροφη ροή.
Σημεία καθαρισμού. Στόμια καθαρισμού είναι τμήματα σωλήνων που φθάνουν έξω από την επιφάνεια του εδάφους και θα πρέπει να τοποθετούνται στο ανάντη άκρο του σωλήνα στραγγιστηρίων. Ενδιάμεσα στόμια καθαρισμού μπορεί να τοποθετούνται ανά διαστήματα των 150 m και σε θέσεις αλλαγής κατεύθυνσης με γωνία μεγαλύτερη από 10°. Η διάμετρος των στομίων καθαρισμού θα πρέπει να είναι ίδια με του στραγγιστηρίου.
Κλίση. Οι σωλήνες στραγγιστηρίων, κατά το δυνατόν πρέπει να τοποθετούνται σε κλίσεις μεγαλύτερες από 0,5%. Ως ελάχιστη κλίση για τα πλευρικά στραγγιστήρια είναι αποδεκτή η τιμή 0,2%, ενώ αντιστοίχως για τους κύριους αγωγούς στραγγιστηρίων η τιμή 0,25%.
Βάθος και Αποστάσεις. Το βάθος των στραγγιστηρίων εξαρτάται από την υδροπερατότητα του εδάφους, τη στάθμη του υδροφόρου ορίζοντα, καθώς και το μέγεθος της ταπείνωσης του ορίζοντα που απαιτείται για τη διασφάλιση της ευστάθειας. Όπου είναι πρακτικό, ο σωλήνας στραγγιστηρίου θα πρέπει να τοποθετείται απάνω στην αδιάβροχη ζώνη κάτω από τον υδροφόρο ορίζοντα. Επιπροσθέτως θα πρέπει να λαμβάνεται υπόψη το βάθος και η εγγύτητα με το σύστημα υπονόμων. Τυπικά, το σύστημα στραγγιστηρίων θα πρέπει να τοποθετείται σε επαρκές βάθος ώστε να διατηρείται το σύστημα υπονόμων πάνω από τον υπόγειο ορίζοντα. Τα συνιστώμενα βάθη και αποστάσεις μεταξύ των στραγγιστηρίων σωλήνων δίνονται στον επόμενο Πίνακα 8.2.3-1. Αυτός ο Πίνακας πρέπει να εκλαμβάνεται μόνο ως οδηγός και όχι ότι μπορεί να υποκαταστήσει τις παρατηρήσεις που γίνονται στο πεδίο ή την τοπική εμπειρία.

 

2.5. Είδη σωλήνων στραγγιστηρίων

 

Ο σκοπός κάθε εγκατάστασης στραγγιστηρίων είναι η μακροχρόνια αποτελεσματικότητα. Αυτός ο σκοπός συνδέεται με την ικανότητα του φίλτρου, τη στερεότητα, τη αντοχή, καθώς και το κόστος του αγωγού, κυρίως με αυτή τη σειρά τάξης. Κατά την επιλογή μεταξύ των διαφορετικών ειδών σωλήνων, το κύριο μέλημα είναι η ικανότητα της διηθητικότητας και η στερεότητα. Το κόστος του σωλήνα υποτίθεται ως δευτερεύουσας σημασίας επειδή αυτό είναι ένα ελάσσων μέρος της συνολικής επένδυσης.

 

Οι σωλήνες στραγγιστηρίων είναι διάτρητοι και μπορεί να είναι από χάλυβα, αλουμίνιο, PVC, ή πολυαιθυλένιο, όλοι με αυλακωτή ή λεία επιφάνεια τοιχωμάτων. Όλα τα είδη είναι αποδεκτά για συνθήκες είτε μικρού είτε μεγάλου βάθους.

 

2.6. Χρόνος ζωής σχεδιασμού

 

Η πείρα με τα στραγγιστήρια έχει δείξει ότι αυτά δεν υπόκεινται σε οξειδωτική διάβρωση μέσα σε ένα περιβάλλον όπου ελλείπει επαρκής ποσότητα αέρος και οξυγόνου εντός του νερού. Τα επιφανειακά νερά που τείνουν να γίνονται χημικώς οξειδωτικά συμπεριφέρονται αντιθέτως όσο αυτά δεν εκτίθενται στο οξυγόνο. Εντούτοις, το υπόγειο νερό μπορεί να γίνει οξειδωτικό μετά από την έκθεση του στην επιφάνεια και στο οξυγόνο. Ακόμη, είναι αποδεδειγμένο ότι υπάρχει πολύ λίγο οξυγόνο στα μεγάλα μήκη σωλήνων μικρής διαμέτρου που συνήθως χρησιμοποιούνται στα υπόγεια συστήματα στραγγιστηρίων.

 

Αν και οι δοκιμές μπορεί να υποδεικνύουν την παρουσία οξειδωτικών αλάτων σε εδαφικά διαλύματα, η οξείδωση δε θα προχωρήσει χωρίς την παρουσία οξυγόνου. Ως εκ τούτου, όταν αναμένεται ότι τα στραγγιστήρια θα τοποθετούνται για να διακόπτουν τον υπόγειο ορίζοντα, κάτω από τις προαναφερόμενες συνθήκες, δεν είναι απαραίτητο να προβλέπεται επιτρέπεται η οξείδωση των μεταλλικών σωλήνων.

 

Όταν οι προαναφερόμενες συνθήκες δεν επικρατούν, ο χρόνος ζωής λειτουργίας ενός μεταλλικού σωλήνα προσδιορίζεται από το pH.

 

2.7. Επιλογή σχεδιασμού

 

Στις περιπτώσεις που περισσότερα του ενός υλικού καλύπτουν τις προβλεπόμενες απαιτήσεις οι εναλλακτικές λύσεις θα πρέπει να προδιαγράφονται με δυνατότητα επιλογής του κατασκευαστή. Η επιλογή ενός μόνο είδους στραγγιστηρίου μπορεί να είναι καταλληλότερη λόγω άλλων σχετικών παραγόντων. Η επιλογή του υλικού θα πρέπει να υποστηρίζεται από πλήρη ανάλυση όλων των παραγόντων.

 

3. Αποστράγγιση Καταστρώματος Οδών

 

Η προστασία του οδοστρώματος (ασφαλτικά, βάση, υπόβαση), έναντι της κατείσδυσης εντός αυτού ομβρίων από την επιφάνεια του ή της ανάδυσης εντός αυτού νερών του υψηλού υπόγειου υδροφόρου ορίζοντα, επιβάλλει την κατασκευή στρώσης στράγγισης. Αυτή η στρώση συντίθεται από καταλλήλως διαβαθμισμένο κοκκώδες υλικό, που εξυπηρετεί είτε την απαγωγή των στραγγισμάτων προς τα άκρα του καταστρώματος και την εκροή αυτών ελεύθερα στα πρανή επιχωμάτων, ή την παραλαβή τους με αγωγούς στραγγιστηρίων. Αγωγοί στραγγιστηρίων τοποθετούνται σε οδούς με διαχωρισμένα οδοστρώματα:

 

α. σε όλες τις χωμάτινες κεντρικές νησίδες μικρού πλάτους (≤6 m),

β. στα ερείσματα στην πλευρά ορυγμάτων στην οποία (και γενικώς στις θέσεις που) καταλήγουν στραγγίσματα από τη ζώνη στράγγισης, όταν δεν υπάρχει ελεύθερη διέξοδος γι' αυτά προς το εξωτερικό του σώματος της οδού.

 

Σε άλλες κατηγορίες οδών και κλάδους κόμβων (με πλάτος <12 m), η στρώση στράγγισης κατασκευάζεται μόνο στην περίπτωση που διαπιστώνεται υψηλός υπόγειος υδροφόρος ορίζοντας.

 

Η κάτω επιφάνεια της στρώσης στράγγισης, εφόσον δεν υπάρχει υπόγειος ορίζοντας κατασκευάζεται με ελάχιστη εγκάρσια κλίση 2,5% (ή όταν τέτοιος υπάρχει με 4%) ή την όποια μεγαλύτερη κλίση έχει η επίκλιση του οδοστρώματος. Στην πλευρά της κεντρικής νησίδας ή στις εξωτερικές πλευρές της οδού σε θέσεις, είτε ορυγμάτων, είτε επιχωμάτων και σε απόσταση 1,00 m (προς την πλευρά της νησίδας), από την ακμή του πέρατος της τελικής ασφαλτικής στρώσης του οδοστρώματος, η στρώση στράγγισης κατασκευάζεται με εγκάρσια κλίση 4% και καταλήγει είτε στα διαμήκη στραγγιστήρια της οδού, είτε στη φυτική επένδυση των πρανών των επιχωμάτων. (βλέπε σχέδια τυπικών διατομών στο Κεφάλαιο 12)

 

Η ανώτερη επιφάνεια του σκάμματος του στραγγιστηρίου τοποθετείται κάτω από την κατώτερη επιφάνεια της στρώσης στράγγισης του οδοστρώματος, έτσι ώστε να εξασφαλίζεται η λειτουργία της στράγγισης.

 

Σε θέσεις ορυγμάτων το ελάχιστο πάχος της στρώσης στράγγισης σε οποιοδήποτε σημείο της είναι 0,20 m (ή μέχρι 0,10 m με την έγκριση της Υπηρεσίας). Σε περίπτωση υψηλού υπόγειου υδροφόρου ορίζοντα λαμβάνονται πρόσθετα μέτρα (αύξηση του πάχους της στρώσης στράγγισης, ταπείνωση της στάθμης των στραγγιστηρίων κ.τ.λ. συμφώνως με τους Γερμανικούς Κανονισμούς (Entwasserung RAS - EW, 1987).

 

Υπολογισμός πάχους στραγγιστικής στρώσης σε θέσεις επιχωμάτων

 

Η ποσότητα νερών που διηθείται σε επιφάνεια 1 m ασφαλτικών στρώσεων υπολογίζεται με την εξίσωση:

 

Eqn620 (8.3-1)

 

όπου:

 

q (m/24 h/m): η τιμή της διηθητικότητας ανά τετραγωνικό μέτρο επιφάνειας

c (-): o συντελεστής διηθητικότητας (εξαρτάται από τον τύπο του ασφαλτικού) ο οποίος κυμαίνεται μεταξύ 1/3 και 1/2, συνήθως λαμβάνεται η μέση τιμή δηλαδή 5/6

i (mm/h): η ένταση της βροχόπτωσης για περίοδο επαναφοράς διετή για διάστημα 1-ώρα

 

Η διηθητικότητα των στρώσεων βάσης της οδοστρωσίας χαρακτηρίζεται από το ποσοστό P200 του αδρανούς υλικού που διέρχεται από το κόσκινο #200, τη διάσταση των αδρανών D10 και το πορώδες N του υλικού της βάσης και υπολογίζεται με την εμπειρική εξίσωση:

 

Eqn621 (8.3-2)

όπου:

 

D (mm): η διάσταση των κόκκων των αδρανών

N (-): το πορώδες της στρώσης που υπολογίζεται ως Ν = 1 - (φαινόμενο βάρος) / (ειδικό βάρος)

Ρ200 (-): το ποσοστό των αδρανών που διέρχεται από το κόσκινο #200

 

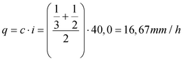
Παράδειγμα εφαρμογής των προηγούμενων εξισώσεων:

 

Διηθητικότητα σε ασφαλτικές στρώσεις

 

με i = 40 mm/h

Eqn622 (8.3-3)

 

Διηθητικότητα σε βάση οδοστρωσίας

 

Eqn621 (8.3-4)

 

με μέγεθος αδρανών D10 = 0,075 mm,

φαινόμενο βάρους = 2355 kg/m3

ειδικό βάρος αδρανών =2680 kg/m3

υπολογίζεται ο συντελεστής υδροπερατότητας (πορώδες) Ν

N = 1-2355 / 2680=0,12

Χρησιμοποιώντας τις προηγούμενες τιμές στην εξίσωση 8.3-4 προκύπτει

k = 8,2 x 10-4 m/ημέρα

 

Το πάχος της στρώσης στράγγισης μπορεί πρακτικά να υπολογίζεται από την εξίσωση:

 

Eqn623(8.3-5)

 

όπου:

d (cm): το πάχος της στρώσης

Q (m3/s): η ποσότητα διηθούμενου νερού

k (m/s): η διηθητικότητα του υλικού της στρώσης στράγγισης, δηλαδή η ταχύτητα κατείσδυσης όπως υπολογίζεται από τις προηγούμενες εξισώσεις

SX (m/m): η επίκλιση της κατώτερης επιφάνειας της στρώσης στράγγισης

 

Το υπολογιζόμενο πάχος προσαυξάνεται κατά 2,5 cm για την αντιστάθμιση της πιθανής εισβολής άλλων υλικών κατά την κατασκευή και τελικά αυτό στρογγυλεύεται στα πλησιέστερα 1,5 cm.

 

Η κατασκευή της στρώσης στράγγισης γίνεται με την τεχνική των φίλτρων ώστε να εξασφαλίζεται έναντι της έμφραξης από λεπτόκοκκα υλικά που προέρχονται τόσο από τις υποκείμενες όσο και από τις υπερκείμενες φυσικές ή τεχνητές στρώσεις.

 

Τυπική διατομή του στραγγιστηρίου

 

Αποτελείται από γαιοΰφασμα, πληρούμενο με χάλικες (μέγιστης διάστασης D = 19 mm), μέσα στο οποίο εγκιβωτίζεται διάτρητος τσιμεντοσωλήνας ή πλαστικός σωλήνας διαμέτρου 0,20 m.

 

Η χρήση αγωγών μικρότερης διαμέτρου της Φ200 δε συνιστάται. Σε περιπτώσεις όπου διασφαλίζεται ότι δεν υπάρχει υπόγειος ορίζοντας σε βάθος λιγότερο από 1,00 m και ότι η εκτόνωση του στραγγιστηρίου σωλήνα επιτυγχάνεται σε μήκος λιγότερο από 50 m τότε επιτρέπεται η χρήση διάτρητου σωλήνα διαμέτρου D = 10 cm και ειδικά στην κεντρική νησίδα σε θέσεις επιχωμάτων. Τέτοια περίπτωση συμβαίνει όταν παράλληλα με το σωλήνα στραγγιστηρίου τοποθετείται και υπόνομος οπότε η εκτόνωση γίνεται περίπου κάθε 50 m όπου υπάρχουν τα φρεάτια επίσκεψης του υπονόμου. Μεγαλύτερες διάμετροι στραγγιστηρίων απαιτείται να χρησιμοποιηθούν μόνο μετά από ειδική μελέτη η οποία τεκμηριώνει την επιλεγόμενη διάμετρο του σωλήνα.

 

Για το υπόγειο δίκτυο των στραγγιστηρίων αγωγών, προβλέπεται κατασκευή προκατασκευασμένων φρεατίων επίσκεψης σε αποστάσεις 100 m χωρίς λεκάνη αμμοσυλλογής.

 

Σε θέσεις όπου κατά μήκος της οδού, κατασκευάζεται υπόνομος και στραγγιστήριο, οι δυο αγωγοί τοποθετούνται στο ίδιο σκάμμα με κοινά φρεάτια επίσκεψης. Στις περιπτώσεις αυτές, το γαιοΰφασμα του στραγγιστηρίου καλύπτει όλο το πλάτος του σκάμματος του υπονόμου, και ο διάτρητος σωλήνας εδράζεται στο σκυρόδεμα εγκιβωτισμού του υπονόμου (βλέπε τυπικά σχέδια, Κεφάλαιο 12).

 



Copyright © 2017 TechnoLogismiki. Με την επιφύλαξη παντός δικαιώματος.